当前位置:首页>文档>新课标Ⅱ数学-答案-p_近10年高考真题汇编(必刷)_2024年高考真题_高考真题(截止6.29)_新课标全国Ⅱ卷(语数英)

新课标Ⅱ数学-答案-p_近10年高考真题汇编(必刷)_2024年高考真题_高考真题(截止6.29)_新课标全国Ⅱ卷(语数英)

  • 2026-04-02 02:53:07 2026-02-12 01:29:41

文档预览

新课标Ⅱ数学-答案-p_近10年高考真题汇编(必刷)_2024年高考真题_高考真题(截止6.29)_新课标全国Ⅱ卷(语数英)
新课标Ⅱ数学-答案-p_近10年高考真题汇编(必刷)_2024年高考真题_高考真题(截止6.29)_新课标全国Ⅱ卷(语数英)
新课标Ⅱ数学-答案-p_近10年高考真题汇编(必刷)_2024年高考真题_高考真题(截止6.29)_新课标全国Ⅱ卷(语数英)
新课标Ⅱ数学-答案-p_近10年高考真题汇编(必刷)_2024年高考真题_高考真题(截止6.29)_新课标全国Ⅱ卷(语数英)
新课标Ⅱ数学-答案-p_近10年高考真题汇编(必刷)_2024年高考真题_高考真题(截止6.29)_新课标全国Ⅱ卷(语数英)
新课标Ⅱ数学-答案-p_近10年高考真题汇编(必刷)_2024年高考真题_高考真题(截止6.29)_新课标全国Ⅱ卷(语数英)
新课标Ⅱ数学-答案-p_近10年高考真题汇编(必刷)_2024年高考真题_高考真题(截止6.29)_新课标全国Ⅱ卷(语数英)
新课标Ⅱ数学-答案-p_近10年高考真题汇编(必刷)_2024年高考真题_高考真题(截止6.29)_新课标全国Ⅱ卷(语数英)
新课标Ⅱ数学-答案-p_近10年高考真题汇编(必刷)_2024年高考真题_高考真题(截止6.29)_新课标全国Ⅱ卷(语数英)
新课标Ⅱ数学-答案-p_近10年高考真题汇编(必刷)_2024年高考真题_高考真题(截止6.29)_新课标全国Ⅱ卷(语数英)
新课标Ⅱ数学-答案-p_近10年高考真题汇编(必刷)_2024年高考真题_高考真题(截止6.29)_新课标全国Ⅱ卷(语数英)
新课标Ⅱ数学-答案-p_近10年高考真题汇编(必刷)_2024年高考真题_高考真题(截止6.29)_新课标全国Ⅱ卷(语数英)
新课标Ⅱ数学-答案-p_近10年高考真题汇编(必刷)_2024年高考真题_高考真题(截止6.29)_新课标全国Ⅱ卷(语数英)
新课标Ⅱ数学-答案-p_近10年高考真题汇编(必刷)_2024年高考真题_高考真题(截止6.29)_新课标全国Ⅱ卷(语数英)
新课标Ⅱ数学-答案-p_近10年高考真题汇编(必刷)_2024年高考真题_高考真题(截止6.29)_新课标全国Ⅱ卷(语数英)
新课标Ⅱ数学-答案-p_近10年高考真题汇编(必刷)_2024年高考真题_高考真题(截止6.29)_新课标全国Ⅱ卷(语数英)
新课标Ⅱ数学-答案-p_近10年高考真题汇编(必刷)_2024年高考真题_高考真题(截止6.29)_新课标全国Ⅱ卷(语数英)
新课标Ⅱ数学-答案-p_近10年高考真题汇编(必刷)_2024年高考真题_高考真题(截止6.29)_新课标全国Ⅱ卷(语数英)
新课标Ⅱ数学-答案-p_近10年高考真题汇编(必刷)_2024年高考真题_高考真题(截止6.29)_新课标全国Ⅱ卷(语数英)
新课标Ⅱ数学-答案-p_近10年高考真题汇编(必刷)_2024年高考真题_高考真题(截止6.29)_新课标全国Ⅱ卷(语数英)
新课标Ⅱ数学-答案-p_近10年高考真题汇编(必刷)_2024年高考真题_高考真题(截止6.29)_新课标全国Ⅱ卷(语数英)
新课标Ⅱ数学-答案-p_近10年高考真题汇编(必刷)_2024年高考真题_高考真题(截止6.29)_新课标全国Ⅱ卷(语数英)

文档信息

文档格式
docx
文档大小
1.278 MB
文档页数
18 页
上传时间
2026-02-12 01:29:41

文档内容

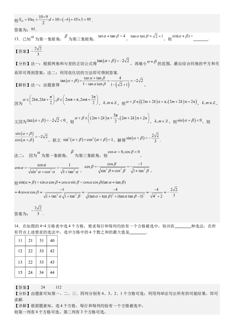
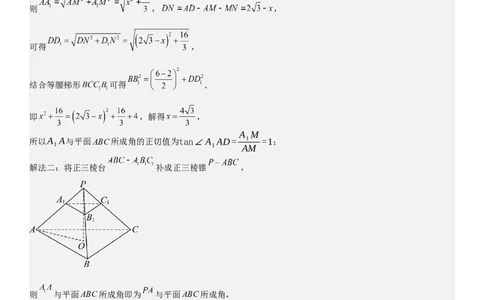
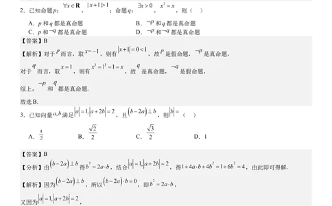
2024年新课标全国Ⅱ卷数学真题 一、单选题 1.已知 ,则 ( ) A.0 B.1 C. D.2 【答案】C 【解析】若 ,则 . 故选C. 2.已知命题p: , ;命题q: , ,则( ) A.p和q都是真命题 B. 和q都是真命题 C.p和 都是真命题 D. 和 都是真命题 【答案】B 【解析】对于 而言,取 ,则有 ,故 是假命题, 是真命题, 对于 而言,取 ,则有 ,故 是真命题, 是假命题, 综上, 和 都是真命题. 故选B. 3.已知向量 满足 ,且 ,则 ( ) A. B. C. D.1 【答案】B 【分析】由 得 ,结合 ,得 ,由此即可得解. 【解析】因为 ,所以 ,即 , 又因为 , 所以 , 从而 . 故选B. 4.某农业研究部门在面积相等的100块稻田上种植一种新型水稻,得到各块稻田的亩产量(均在 之间, 单位:kg)并部分整理下表 亩产量 [900,950) [950,1000) [1000,1050) [1100,1150) [1150,1200) 频数 6 12 18 24 10据表中数据,结论中正确的是( ) A.100块稻田亩产量的中位数小于1050kg B.100块稻田中亩产量低于1100kg的稻田所占比例超过80% C.100块稻田亩产量的极差介于200kg至300kg之间 D.100块稻田亩产量的平均值介于900kg至1000kg之间 【答案】C 【分析】计算出前三段频数即可判断A;计算出低于1100kg的频数,再计算比例即可判断B;根据极差计算方法 即可判断C;根据平均值计算公式即可判断D. 【解析】 A, 根据频数分布表可知, ,所以亩产量的中位数不小于 , A 错误; B,亩产量不低于 的频数为 ,因此低于 的稻田占比为 ,B错误; C,稻田亩产量的极差最大为 ,最小为 ,C正确; D,根据频数分布表可得,亩产量在 的频数为 , 所以平均值为 ,D错误. 故选C. 5.已知曲线C: ( ),从C上任意一点P向x轴作垂线段 , 为垂足,则线段 的中点M 的轨迹方程为( ) A. ( ) B. ( ) C. ( ) D. ( ) 【答案】A 【分析】设点 ,由题意,根据中点的坐标表示可得 ,代入圆的方程即可求解. 【解析】设点 ,则 , 因为 为 的中点,所以 ,即 ,又 在圆 上 所以 ,即 ,即点 的轨迹方程为 . 故选A. 6.设函数 , ,当 时,曲线 与 恰有一个交点,则 ( ) A. B. C.1 D.2 【答案】D 【分析】解法一:令 ,分析可知曲线 与 恰有一个交点,结合偶函数 的对称性可知该交点只能在y轴上,即可得 ,并代入检验即可;解法二:令 , 可知 为偶函数,根据偶函数的对称性可知 的零点只能为0,即可得 ,并代入检验即可. 【解析】解法一:令 ,即 ,可得 ,令 , 原题意等价于当 时,曲线 与 恰有一个交点, 注意到 均为偶函数,可知该交点只能在y轴上, 可得 ,即 ,解得 , 若 ,令 ,可得 因为 ,则 ,当且仅当 时,等号成立, 可得 ,当且仅当 时,等号成立, 则方程 有且仅有一个实根0,即曲线 与 恰有一个交点, 所以 正确; 综上所述: . 解法二:令 , 原题意等价于 有且仅有一个零点, 因为 , 则 为偶函数,由偶函数的对称性可知 的零点只能为0, 即 ,解得 , 若 ,则 ,又因为 当且仅当 时,等号成立, 可得 ,当且仅当 时,等号成立,即 有且仅有一个零点0,所以 正确; 故选D. 7.已知正三棱台 的体积为 , , ,则 与平面ABC所成角的正切值为( ) A. B.1 C.2 D.3 【答案】B 【分析】解法一:根据台体的体积公式可得三棱台的高 ,做辅助线,结合正三棱台的结构特征求得 ,进而根据线面夹角的定义分析求解;解法二:将正三棱台 补成正三棱锥 , 与平面ABC所成角即为 与平面ABC所成角,根据比例关系可得 ,进而可求正三棱锥 的高, 即可得结果. 【解析】解法一:分别取 的中点 ,则 , 可知 ,设正三棱台 的为 , 则 ,解得 , 如图,分别过 作底面垂线,垂足为 ,设 , 则 , , 可得 , 结合等腰梯形 可得 , 即 ,解得 , A M 所以A A与平面ABC所成角的正切值为tan∠A AD= 1 =1; 1 1 AM 解法二:将正三棱台 补成正三棱锥 , 则 与平面ABC所成角即为 与平面ABC所成角, 因为 ,则 ,可知 ,则 , 设正三棱锥 的高为 ,则 ,得 , 取底面ABC的中心为 ,则PO⊥底面ABC,且 , 所以 与平面ABC所成角的正切值 . 故选B.8.设函数 ,若 ,则 的最小值为( ) A. B. C. D.1 【答案】C 【分析】解法一:根据题意可知: 的定义域为 ,分类讨论 与 的大小关系,结合符号分析判 断,即可得 ,代入可得最值;解法二:根据对数函数的性质分析 的符号,进而可得 的符号, 即可得 ,代入可得最值. 【详解】解法一:根据题意可知: 的定义域为 , 令 解得 ;令 解得 ; 若 ,当 时,可知 ,此时 ,错误; 若 ,当 时,可知 ,此时 ,错误; 若 ,当 时,可知 ,此时 ; 当 时,可知 ,此时 ;可知若 ,正确; 若 ,当 时,可知 ,此时 ,错误; 综上所述: ,即 , 则 ,当且仅当 时,等号成立, 所以 的最小值为 ; 解法二:根据题意可知: 的定义域为 , 令 解得 ;令 解得 ; 则当 时, ,故 ,所以 ; 时, ,故 ,所以 ; 故 , 则 , 当且仅当 时,等号成立, 所以 的最小值为 . 故选C. 二、多选题9.对于函数 和 ,下列说法正确的有( ) A. 与 有相同的零点 B. 与 有相同的最大值 C. 与 有相同的最小正周期 D. 与 的图像有相同的对称轴 【答案】BC 【分析】由正弦函数的零点,最值,周期公式,对称轴方程逐一分析每个选项即可. 【解析】A令 ,解得 ,即为 零点,令 ,解得 ,即为 零点,显然 零点不同,A错误; B显然 ,B正确; C由周期公式, 的周期均为 ,C正确; D由正弦函数的性质 的对称轴满足 , 的对称轴满足 ,显然 图像的对称轴不同,D错误. 故选BC。 10.抛物线C: 的准线为l,P为C上的动点,过P作 的一条切线,Q为切点,过P作l 的垂线,垂足为B,则( ) A.l与 相切 B.当P,A,B三点共线时, C.当 时, D.满足 的点 有且仅有2个 【答案】ABD 【分析】A、抛物线准线为 ,根据圆心到准线的距离来判断;B、 三点共线时,先求出 的坐标,进 而得出切线长;C、根据 先算出 的坐标,然后验证 是否成立;D、根据抛物线的定义, ,于是问题转化成 的 点的存在性问题,此时考察 的中垂线和抛物线的交点个数即可,亦 可直接设 点坐标进行求解. 【解析】A抛物线 的准线为 , 的圆心 到直线 的距离显然是 ,等于圆的半径,故准线 和 相切,A正确; B 三点共线时,即 ,则 的纵坐标 ,由 ,得到 ,故 , 此时切线长 ,B正确; C当 时, ,此时 ,故 或 ,当 时, , , ,不满足 ;当 时, , , ,不满足 ;于是 不成立,C错误; D方法一:利用抛物线定义转化 由抛物线的定义, ,这里 ,于是 时 点的存在性问题转化成 时 点的存在性 问题, , 中点 , 中垂线的斜率为 ,于是 的中垂线方程为: ,与 抛物线 联立可得 , ,即 的中垂线和抛物线有两个交点,即存在两个 点,使得 ,D正确. 方法二:(设点直接求解) 设 ,由 可得 ,又 ,又 , 根据两点间的距离公式, ,整理得 , ,则关于 的方程有两个解, 即存在两个这样的 点,D正确. 故选ABD。 11.设函数 ,则( ) A.当 时, 有三个零点 B.当 时, 是 的极大值点 C.存在a,b,使得 为曲线 的对称轴 D.存在a,使得点 为曲线 的对称中心 【答案】AD 【分析】A、先分析出函数的极值点为 ,根据零点存在定理和极值的符号判断出 在 上各有一个零点;B、根据极值和导函数符号的关系进行分析;C、假设存在这样的 ,使得 为 的对称轴,则 为恒等式,据此计算判断;D、若存在这样的 ,使得 为 的 对称中心,则 ,据此进行计算判断,亦可利用拐点结论直接求解. 【解析】A ,由于 ,故 时 ,故 在上单调递增, 时, , 单调递减,则 在 处取到极大值,在 处取到极小值,由 , ,则 , 根据零点存在定理 在 上有一个零点,又 , ,则 ,则 在 上各有一个零点,于是 时, 有三个零点,A正确; B , 时, , 单调递减, 时 , 单调递增,此时 在 处取到极小值,B错误; C假设存在这样的 ,使得 为 的对称轴,即存在这样的 使得 , 即 ,由二项式定理,等式右边 展开式含有 的项为 ,于是等式左右两边 的系数都不相等,原等式不可能恒成立, 于是不存在这样的 ,使得 为 的对称轴,C错误; D方法一:利用对称中心的表达式化简 ,若存在这样的 ,使得 为 的对称中心,则 ,事实 , 于是 即 ,解得 ,即存在 使得 是 的对称中心,D正确. 方法二:直接利用拐点结论 任何三次函数都有对称中心,对称中心的横坐标是二阶导数的零点, , , , 由 ,于是该三次函数的对称中心为 ,由题意 也是对称中心,故 , 即存在 使得 是 的对称中心,D正确. 故选:AD 三、填空题 12.记 为等差数列 的前n项和,若 , ,则 . 【答案】95 【解析】因为数列 为等差数列,由题意得 ,解得 ,则 . 答案为: . 13.已知 为第一象限角, 为第三象限角, , ,则 . 【答案】 【分析】法一:根据两角和与差的正切公式得 ,再缩小 的范围,最后结合同角的平方和关 系即可得到答案;法二:利用弦化切的方法即可得到答案. 【解析】法一:由题意得 , 因为 , ,则 , , 又因为 ,则 , ,则 ,则 ,联立 ,解得 . 法二: 因为 为第一象限角, 为第三象限角,则 , , , 则 答案为: . 14.在如图的4×4方格表中选4个方格,要求每行和每列均恰有一个方格被选中,则共有 种选法,在所 有符合上述要求的选法中,选中方格中的4个数之和的最大值是 . 【答案】 24 112 【分析】由题意可知第一、二、三、四列分别有4、3、2、1个方格可选;利用列举法写出所有的可能结果,即可 求解. 【详解】根据题意知,选4个方格,每行和每列均恰有一个方格被选中, 则第一列有4个方格可选,第二列有3个方格可选,第三列有2个方格可选,第四列有1个方格可选, 所以共有 种选法; 每种选法可标记为 , 分别表示第一、二、三、四列的数字, 则所有的可能结果为: , , , , 所以选中的方格中, 的4个数之和最大,为 . 答案为:24;112 四、解答题 15.记 的内角A,B,C的对边分别为a,b,c,已知 . (1)求A. (2)若 , ,求 的周长. 【答案】(1) (2) 【分析】(1)根据辅助角公式对条件 进行化简处理即可求解,常规方法还可利用同角三角函数 的关系解方程组,亦可利用导数,向量数量积公式,万能公式解决; (2)先根据正弦定理边角互化算出 ,然后根据正弦定理算出 即可得出周长. 【解析】(1)方法一:常规方法(辅助角公式) 由 可得 ,即 ,由于 ,故 , 解得 方法二:常规方法(同角三角函数的基本关系) 由 ,又 ,消去 得到: ,解得 ,又 ,故 方法三:利用极值点求解 设 ,则 , 显然 时, ,注意到 , ,在开区间 上取到最大值,于是 必定是极值点, 即 ,即 ,又 ,故 方法四:利用向量数量积公式(柯西不等式)设 ,根据题意, , 根据向量的数量积公式, , 则 ,此时 ,即 同向共线, 根据向量共线条件, ,又 ,故 方法五:利用万能公式求解 设 ,根据万能公式, , 整理可得, , 解得 ,根据二倍角公式, ,又 ,故 (2)由题设条件和正弦定理 , 又 ,则 ,进而 ,得到 ,于是 , , 根据正弦定理可得, ,即 , 解得 ,故 的周长为 16.已知函数 . (1)当 时,求曲线 在点 处的切线方程; (2)若 有极小值,且极小值小于0,求a的取值范围. 【答案】(1) (2) 【分析】(1)求导,结合导数的几何意义求切线方程; (2)解法一:求导,分析 和 两种情况,利用导数判断单调性和极值,分析可得 ,构建函 数解不等式即可;解法二:求导,可知 有零点,可得 ,进而利用导数求 的单调性和极值, 分析可得 ,构建函数解不等式即可.【解析】(1)当 时,则 , ,可得 , , 即切点坐标为 ,切线斜率 ,所以切线方程为 ,即 . (2)解法一:因为 的定义域为 ,且 ,若 ,则 对任意 恒成立,可知 在 上单调递增,无极值,错误;若 ,令 ,解得 ;令 ,解得 ;可知 在 内单调递减,在 内单调递增, 则 有极小值 ,无极大值,由题意可得: ,即 , 构建 ,则 ,可知 在 内单调递增,且 ,不等式 等价于 ,解得 ,所以a的取值范围为 ; 解法二:因为 的定义域为 ,且 , 若 有极小值,则 有零点,令 ,可得 , 可知 与 有交点,则 , 若 ,令 ,解得 ;令 ,解得 ;可知 在 内单调递减,在 内单调递增,则 有极小值 ,无极大值,正确,根据题意可得: ,即 ,构建 ,因为则 在 内 单调递增, 可知 在 内单调递增,且 ,不等式 等价于 ,解得 ,所以a的取值 范围为 . 17.如图,平面四边形ABCD中, , , , , ,点E,F满足 , ,将 沿EF对折至△PEF,使得 . (1)证明: ; (2)求面PCD与面PBF所成的二面角的正弦值. 【答案】(1)证明见解析(2) 【分析】(1)根据余弦定理求得 ,利用勾股定理的逆定理可证得 ,则 ,结合线 面垂直的判定定理与性质即可证明; (2)由(1),根据线面垂直的判定定理与性质可证明 ,建立如图空间直角坐标系 ,利用空间向 量法求解面面角即可. 【解析】(1)由 ,得 ,又 ,在 中,根据余弦 定理得 , 所以 ,则 ,即 ,所以 ,又 平面 ,所 以 平面 ,又 平面 , 故 ; (2)连接 ,由 ,则 , 在 中, ,得 , 所以 ,由(1)知 ,又 平面 , 所以 平面 ,又 平面 , 所以 ,则 两两垂直,建立如图空间直角坐标系 , 则 ,由 是 的中点,得 , 所以 , 设平面 和平面 的一个法向量分别为 , 则 , , 令 ,得 ,所以 ,所以 ,设 平面 和平面 所成角为 ,则 ,即平面 和平面 所成角的正弦值为 . 18.某投篮比赛分为两个阶段,每个参赛队由两名队员组成,比赛具体规则如下:第一阶段由参赛队中一名队员 投篮3次,若3次都未投中,则该队被淘汰,比赛成员为0分;若至少投中一次,则该队进入第二阶段,由该队的 另一名队员投篮3次,每次投中得5分,未投中得0分.该队的比赛成绩为第二阶段的得分总和.某参赛队由甲、 乙两名队员组成,设甲每次投中的概率为p,乙每次投中的概率为q,各次投中与否相互独立. (1)若 , ,甲参加第一阶段比赛,求甲、乙所在队的比赛成绩不少于5分的概率.(2)假设 , (i)为使得甲、乙所在队的比赛成绩为15分的概率最大,应该由谁参加第一阶段比赛? (ii)为使得甲、乙,所在队的比赛成绩的数学期望最大,应该由谁参加第一阶段比赛? 【答案】(1) (2)(i)由甲参加第一阶段比赛;(i)由甲参加第一阶段比赛; 【分析】(1)根据对立事件的求法和独立事件的乘法公式即可得到答案; (2)(i)首先各自计算出 , ,再作差因式分解即可判断;(ii)首先得到 和 的所有可能取值,再按步骤列出分布列,计算出各自期望,再次作差比较大小即可. 【解析】(1)甲、乙所在队的比赛成绩不少于5分,则甲第一阶段至少投中1次,乙第二阶段也至少投中1次, 比赛成绩不少于5分的概率 . (2)(i)若甲先参加第一阶段比赛,则甲、乙所在队的比赛成绩为15分的概率为 ,若乙先参 加第一阶段比赛,则甲、乙所在队的比赛成绩为15分的概率为 , , , ,应该由甲参加第一阶段比赛. (ii)若甲先参加第一阶段比赛,数学成绩 的所有可能取值为0,5,10,15, , , , , 记乙先参加第一阶段比赛,数学成绩 的所有可能取值为0,5,10,15, 同理 , 因为 ,则 , , 则 , 应该由甲参加第一阶段比赛. 19.已知双曲线 ,点 在 上, 为常数, .按照如下方式依次构造点 ,过 作斜率为 的直线与 的左支交于点 ,令 为 关于 轴的对称点,记 的坐标为 .(1)若 ,求 ; (2)证明:数列 是公比为 的等比数列; (3)设 为 的面积,证明:对任意的正整数 , . 【答案】(1) , (2)证明见解析 (3)证明见解析 【分析】(1)直接根据题目中的构造方式计算出 的坐标即可; (2)根据等比数列的定义即可验证结论; (3)思路一:使用平面向量数量积和等比数列工具,证明 的取值为与 无关的定值即可.思路二:使用等差数列 工具,证明 的取值为与 无关的定值即可. 【解析】(1) 根据已知有 ,故 的方程为 . 当 时,过 且斜率为 的直线为 ,与 联立得到 解得 或 , 所以该直线与 的不同于 的交点为 ,该点显然在 的左支上. 故 ,从而 , . (2)由于过 且斜率为 的直线为 ,与 联立,得到方程 .展开即得 ,由于 已经是直线 和 的公共点,故方程必有一根 . 从而根据韦达定理,另一根 ,相应的 . 所以该直线与 的不同于 的交点为 ,而注意到 的横坐标亦可通过韦达定 理表示为 ,故 一定在 的左支上.所以 . 这就得到 , . 所以 . 再由 ,就知道 ,所以数列 是公比为 的等比数列. (3)方法一:先证明一个结论:对平面上三个点 ,若 , ,则 .(若 在同一条直线上,约定 ) 证明: . 证毕,回到原题. 根据上一小问已经得到 , , 故 . 再由 ,就知道 ,所以数列 是公比为 的等比数列. 所以对任意的正整数 ,都有. 而又有 , , 因此利用前面已经证明的结论即得 . 这就表明 的取值是与 无关的定值,所以 . 方法二:由于上一小问已经得到 , , 故 . 再由 ,就知道 ,所以数列 是公比为 的等比数列. 所以对任意的正整数 ,都有 . 可得 , 以及 . 两式相减,即得 . 移项得到 .故 . 而 , .所以 和 平行,这就得到 ,即 .