当前位置:首页>文档>精品解析:辽宁省锦州市北镇市第三中学2023-2024学年高三上学期第二次月考物理试题(解析版)(1)_2023年10月_0210月合集_2024届辽宁省北镇市第三高级中学高三上学期第二次月考

精品解析:辽宁省锦州市北镇市第三中学2023-2024学年高三上学期第二次月考物理试题(解析版)(1)_2023年10月_0210月合集_2024届辽宁省北镇市第三高级中学高三上学期第二次月考

  • 2026-03-20 21:50:52 2026-02-13 13:34:08

文档预览

精品解析:辽宁省锦州市北镇市第三中学2023-2024学年高三上学期第二次月考物理试题(解析版)(1)_2023年10月_0210月合集_2024届辽宁省北镇市第三高级中学高三上学期第二次月考
精品解析:辽宁省锦州市北镇市第三中学2023-2024学年高三上学期第二次月考物理试题(解析版)(1)_2023年10月_0210月合集_2024届辽宁省北镇市第三高级中学高三上学期第二次月考
精品解析:辽宁省锦州市北镇市第三中学2023-2024学年高三上学期第二次月考物理试题(解析版)(1)_2023年10月_0210月合集_2024届辽宁省北镇市第三高级中学高三上学期第二次月考
精品解析:辽宁省锦州市北镇市第三中学2023-2024学年高三上学期第二次月考物理试题(解析版)(1)_2023年10月_0210月合集_2024届辽宁省北镇市第三高级中学高三上学期第二次月考
精品解析:辽宁省锦州市北镇市第三中学2023-2024学年高三上学期第二次月考物理试题(解析版)(1)_2023年10月_0210月合集_2024届辽宁省北镇市第三高级中学高三上学期第二次月考
精品解析:辽宁省锦州市北镇市第三中学2023-2024学年高三上学期第二次月考物理试题(解析版)(1)_2023年10月_0210月合集_2024届辽宁省北镇市第三高级中学高三上学期第二次月考
精品解析:辽宁省锦州市北镇市第三中学2023-2024学年高三上学期第二次月考物理试题(解析版)(1)_2023年10月_0210月合集_2024届辽宁省北镇市第三高级中学高三上学期第二次月考
精品解析:辽宁省锦州市北镇市第三中学2023-2024学年高三上学期第二次月考物理试题(解析版)(1)_2023年10月_0210月合集_2024届辽宁省北镇市第三高级中学高三上学期第二次月考
精品解析:辽宁省锦州市北镇市第三中学2023-2024学年高三上学期第二次月考物理试题(解析版)(1)_2023年10月_0210月合集_2024届辽宁省北镇市第三高级中学高三上学期第二次月考
精品解析:辽宁省锦州市北镇市第三中学2023-2024学年高三上学期第二次月考物理试题(解析版)(1)_2023年10月_0210月合集_2024届辽宁省北镇市第三高级中学高三上学期第二次月考
精品解析:辽宁省锦州市北镇市第三中学2023-2024学年高三上学期第二次月考物理试题(解析版)(1)_2023年10月_0210月合集_2024届辽宁省北镇市第三高级中学高三上学期第二次月考
精品解析:辽宁省锦州市北镇市第三中学2023-2024学年高三上学期第二次月考物理试题(解析版)(1)_2023年10月_0210月合集_2024届辽宁省北镇市第三高级中学高三上学期第二次月考
精品解析:辽宁省锦州市北镇市第三中学2023-2024学年高三上学期第二次月考物理试题(解析版)(1)_2023年10月_0210月合集_2024届辽宁省北镇市第三高级中学高三上学期第二次月考
精品解析:辽宁省锦州市北镇市第三中学2023-2024学年高三上学期第二次月考物理试题(解析版)(1)_2023年10月_0210月合集_2024届辽宁省北镇市第三高级中学高三上学期第二次月考
精品解析:辽宁省锦州市北镇市第三中学2023-2024学年高三上学期第二次月考物理试题(解析版)(1)_2023年10月_0210月合集_2024届辽宁省北镇市第三高级中学高三上学期第二次月考
精品解析:辽宁省锦州市北镇市第三中学2023-2024学年高三上学期第二次月考物理试题(解析版)(1)_2023年10月_0210月合集_2024届辽宁省北镇市第三高级中学高三上学期第二次月考
精品解析:辽宁省锦州市北镇市第三中学2023-2024学年高三上学期第二次月考物理试题(解析版)(1)_2023年10月_0210月合集_2024届辽宁省北镇市第三高级中学高三上学期第二次月考
精品解析:辽宁省锦州市北镇市第三中学2023-2024学年高三上学期第二次月考物理试题(解析版)(1)_2023年10月_0210月合集_2024届辽宁省北镇市第三高级中学高三上学期第二次月考
精品解析:辽宁省锦州市北镇市第三中学2023-2024学年高三上学期第二次月考物理试题(解析版)(1)_2023年10月_0210月合集_2024届辽宁省北镇市第三高级中学高三上学期第二次月考
精品解析:辽宁省锦州市北镇市第三中学2023-2024学年高三上学期第二次月考物理试题(解析版)(1)_2023年10月_0210月合集_2024届辽宁省北镇市第三高级中学高三上学期第二次月考

文档信息

文档格式
docx
文档大小
0.837 MB
文档页数
16 页
上传时间
2026-02-13 13:34:08

文档内容

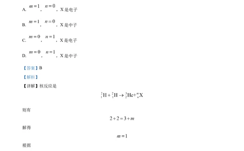
北镇三高 2023~2024 学年度第一学期第二次月考 高三物理试卷 考试时间75分钟 试卷满分100分 ※考生注意:请在答题卡各题目规定的区域内作答,答在本试卷上无效。 一、本题共10小题,共46分。在每小题给出的四个选项中,第1~7题只有一项符合题目要 求,每小题4分;第8~10题有多项符合题目要求,每小题6分,全部选对的得6分,选对但 不全的得3分,有选错的得0分。 1. 甲、乙两质点同时沿同一直线运动,速度随时间变化的 图象如图所示,关于两质点的运动情况, 下列说法正确的是( ) A. 在 时,甲、乙的运动方向相同 B. 在 内乙的加速度先增大后减小 C. 在 内,乙的平均速度等于甲的平均速度 D. 若甲、乙从同一位置出发,则 时刻相距最远 【答案】D 【解析】 【详解】A.在 时,甲的速度为正,乙的速度为负,说明甲、乙的运动方向相反,故A错误; B.根据斜率表示加速度,可知在 内,乙的加速度逐渐减小,故B错误; C.根据图象与坐标轴围成的面积表示位移,在时间轴上方的位移为正,下方的面积表示位移为负,则知 在 内,乙的位移小于甲的位移,则乙的平均速度小于甲的平均速度,故C错误; 第1页/共16页 学科网(北京)股份有限公司D.若甲、乙从同一位置出发,甲一直沿正向运动,乙先沿负向运动,两者距离增大,后沿正向,在 时 刻前甲的速度大于乙的速度,两者间距增大, 时刻后乙的速度大于甲的速度,两者间距减小,所以 时 刻相距最远,故D正确。 故选D。 2. 大科学工程“人造太阳”主要是将氘核聚变反应释放的能量用来发电,氘核聚变反应方程是 ,则( ) A. , ,X是电子 B. , ,X是中子 C. , ,X是电子 D. , ,X是中子 【答案】B 【解析】 【详解】核反应是 则有 解得 根据 解得 所以,X是中子。 故选B。 的 3. 如图所示,斜面体放置在粗糙 水平地面上,在水平向右的推力F作用下,物体A和斜面体B均保持静 止。若减小推力F,物体A仍然静止在斜面上,则( ) 第2页/共16页 学科网(北京)股份有限公司A. 物体A所受合力一定减小 B. 斜面对物体A的支持力一定减小 C. 斜面对物体A的摩擦力一定减小 D. 斜面对物体A的摩擦力一定为零 【答案】B 【解析】 【详解】A.由于物体A始终保持静止状态,因此物体A所受合外力始终为零,A错误; B.对A进行受力分析可知道,斜面对A的支持力 F =mgcos +Fsin N F减小,F 随之减小,B正确; N CD.若开始时 mgsin >Fcos A有向下的运动趋势,静摩擦力沿斜面向上,有 mgsin =Fcos +f 随着F减小,静摩擦力f增大,斜面对物体A的摩擦力f不一定为零,选项CD错误; 故选B。 4. 如图所示,半径为R的金属环竖直放置,环上套有一质量为m的小球,小球开始时静止于最低点,现 使小球以初速度 沿环上滑,小环运动到环的最高点时与环恰无作用力,则小球从最低点运动到 最高点的过程中( ) A. 小球机械能守恒 B. 小球在最低点时对金属环的压力是6mg C. 小球在最高点时,重力的功率是 D. 小球机械能不守恒,且克服摩擦力所做的功是0.5mgR 第3页/共16页 学科网(北京)股份有限公司【答案】D 【解析】 【详解】AD.小球在最高点与环作用力恰为0时,设速度为v,则 解得 从最低点到最高点,由动能定理得 -mg•2R-W = mv2- mv2 克 0 又 v= 0 解得 W =0.5mgR 克 所以机械能不守恒,且克服摩擦力所做的功是0.5mgR,故A错误,D正确; B.在最低点,根据向心力公式得 解得 N=7mg 则由牛顿第三定律知,小球在最低点时对金属环的压力是7mg,故B错误; C.小球在最高点时,重力方向与速度方向垂直,重力的功率为零,故C错误。 故选D。 5. 如图所示,一块上、下表面平行的玻璃砖的厚度为 L,玻璃砖的折射率 ,若光从上表面AB射入 的入射角 ,光在真空中的光速为c,则( ) 第4页/共16页 学科网(北京)股份有限公司A. 折射角 B. 光在玻璃中传播的时间为 C. 改变入射角 ,光在下表面CD可能发生全反射 D. 光不能从CD面射出 【答案】A 【解析】 【详解】A.根据题意,由折射定律有 解得 即折射角 故A正确; B.由公式 可得,光在玻璃中传播的速度为 由几何关系可得,光在玻璃中的传播距离为 则光在玻璃中传播的时间为 第5页/共16页 学科网(北京)股份有限公司故B错误; CD.由于光在 面上的入射角等于光在 面上的折射角,根据光路可逆性原理得知,光一定能从 面射出,不可能在下表面 发生全反射,故CD错误。 故选A。 6. 一定质量的理想气体从状态A经过状态B变化到状态C,其 图像如图所示。下列说法正确的有( ) 的 A. A→B 过程中,气体对外界做功 B. A→B的过程中,气体放出热量 C. B→C的过程中,气体压强变小 D. A→B→C的过程中,气体内能增加 【答案】B 【解析】 【详解】AB.由图可知,A→B的过程中,气体的温度不变,内能不变,体积减小,外界对气体做功,由 热力学第一定律可知,气体放出热量,故A错误,B正确; C.由图可知,B→C的过程中, 图像过原点,则为等压变化,气体压强不变,故C错误; D.由图可知,A→B→C的过程中,气体温度降低,气体内能减小,故D错误。 故选B。 7. 如图所示,在静电场中有A、B两点,则下列说法中正确的是( ) 第6页/共16页 学科网(北京)股份有限公司A. 场强E >E ,电势φ >φ A B A B B. 将电荷+q从A点移到B点,电场力做负功 C. 将重力可忽略的电荷+q从A点移到B点,加速度变小 D. 将电荷–q分别放在A、B两点,具有的电势能E