当前位置:首页>文档>第三章第三节盐类的水解测试题2022-2023学年高二上学期化学人教版(2019)选择性必修1_E015高中全科试卷_化学试题_选修1_3.新版人教版高中化学试卷选择性必修1_1.同步练习

第三章第三节盐类的水解测试题2022-2023学年高二上学期化学人教版(2019)选择性必修1_E015高中全科试卷_化学试题_选修1_3.新版人教版高中化学试卷选择性必修1_1.同步练习

  • 2026-03-01 18:43:33 2026-02-16 05:39:54

文档预览

第三章第三节盐类的水解测试题2022-2023学年高二上学期化学人教版(2019)选择性必修1_E015高中全科试卷_化学试题_选修1_3.新版人教版高中化学试卷选择性必修1_1.同步练习
第三章第三节盐类的水解测试题2022-2023学年高二上学期化学人教版(2019)选择性必修1_E015高中全科试卷_化学试题_选修1_3.新版人教版高中化学试卷选择性必修1_1.同步练习
第三章第三节盐类的水解测试题2022-2023学年高二上学期化学人教版(2019)选择性必修1_E015高中全科试卷_化学试题_选修1_3.新版人教版高中化学试卷选择性必修1_1.同步练习
第三章第三节盐类的水解测试题2022-2023学年高二上学期化学人教版(2019)选择性必修1_E015高中全科试卷_化学试题_选修1_3.新版人教版高中化学试卷选择性必修1_1.同步练习
第三章第三节盐类的水解测试题2022-2023学年高二上学期化学人教版(2019)选择性必修1_E015高中全科试卷_化学试题_选修1_3.新版人教版高中化学试卷选择性必修1_1.同步练习
第三章第三节盐类的水解测试题2022-2023学年高二上学期化学人教版(2019)选择性必修1_E015高中全科试卷_化学试题_选修1_3.新版人教版高中化学试卷选择性必修1_1.同步练习
第三章第三节盐类的水解测试题2022-2023学年高二上学期化学人教版(2019)选择性必修1_E015高中全科试卷_化学试题_选修1_3.新版人教版高中化学试卷选择性必修1_1.同步练习
第三章第三节盐类的水解测试题2022-2023学年高二上学期化学人教版(2019)选择性必修1_E015高中全科试卷_化学试题_选修1_3.新版人教版高中化学试卷选择性必修1_1.同步练习
第三章第三节盐类的水解测试题2022-2023学年高二上学期化学人教版(2019)选择性必修1_E015高中全科试卷_化学试题_选修1_3.新版人教版高中化学试卷选择性必修1_1.同步练习

文档信息

文档格式
docx
文档大小
0.304 MB
文档页数
9 页
上传时间
2026-02-16 05:39:54

文档内容

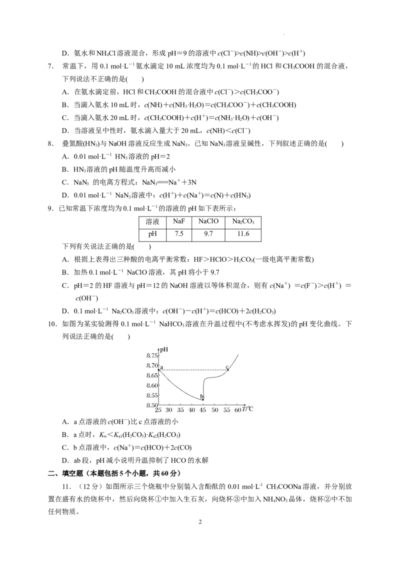
选择性必修1 第三章 第三节 盐类的水解 测试题 榆次一中 李金虎 一、选择题(每小题只有一个正确选项,每小题4分,共40分) 1. 《本草纲目》中对白矾之用有如下叙述:“吐利风热之痰涎,取其酸苦涌泄也;治诸血痛,脱 肛……取其酸涩而收也……”下列说法正确的是( ) A.治血痛的原因是利用了胶体的吸附作用 B.白矾溶于水后微粒浓度排序:c(H O)>c(SO)>c(Al3+)>c(K+)>c(H+)>c(OH-) 2 C.白矾和氯化铁均可用作水处理剂,均可以杀菌消毒 D.白矾常用于油条中作膨化剂的原理是:Al3++3HCO===Al(OH) ↓+3CO↑ 3 2 2. 下列有关说法正确的是( ) A.0.1 mol·L-1(NH )Fe(SO ) 溶液中:c(SO)>c(NH)>c(Fe2+)>c(H+) 4 2 4 2 B.pH=2的盐酸和pH=2的醋酸溶液等体积混合后,溶液的pH>2 C.向稀氨水中滴加稀盐酸至恰好完全反应:c(NH)=c(Cl-) D.25 ℃时,将pH=11的NaOH溶液与pH=3的CHCOOH溶液等体积混合后,溶液中: 3 c(Na+)>c(CHCOO-)>c(OH-)>c(H+) 3 3. 常温下,0.2 mol·L-1的一元酸HA与等浓度的NaOH溶液等体积混合后,所得溶液中部分微粒 组分及浓度如图所示。下列说法正确的是( ) A.HA为强酸 B.该混合溶液pH=7.0 C.该混合溶液中:c(A-)+c(Y)=c(Na+) D.图中X表示HA,Y表示OH-,Z表示H+ 4. 25 ℃时,下列说法正确的是( ) A.NaHA溶液呈酸性,可以推测HA为强酸 2 B.可溶性正盐BA溶液呈中性,可以推测BA为强酸强碱盐 C.0.010 mol·L-1、0.10 mol·L-1的醋酸溶液的电离度分别为α、α,则α<α 1 2 1 2 D.100 mL pH=10.00的NaCO 溶液中水电离出的H+的物质的量为1.0×10-5 mol 2 3 5. 鸟嘌呤(G)是一种有机弱碱,可与盐酸反应生成盐酸盐(用GHCl表示)。已知GHCl水溶液呈酸 性,下列叙述正确的是( ) A.0.001 mol·L-1 GHCl水溶液的pH=3 B.0.001 mol·L-1 GHCl水溶液加水稀释,pH升高 C.GHCl在水中的电离方程式为GHCl===G+HCl D.GHCl水溶液中:c(OH-)+c(Cl-)=c(GH+)+c(G) 6. 常温下,下列有关电解质溶液的叙述正确的是( ) A.在0.1 mol·L-1 HPO 溶液中c(H PO )>c(H PO)>c(HPO)>c(PO) 3 4 3 4 2 B.在0.1 mol·L-1 Na C O 溶液中c(Na+)+c(H+)=c(OH-)+c(HC O)+c(C O) 2 2 4 2 2 C.在0.1 mol·L-1 NaHCO 溶液中c(H CO)+c(HCO)=0.1 mol·L-1 3 2 3 1 学科网(北京)股份有限公司D.氨水和NH Cl溶液混合,形成pH=9的溶液中c(Cl-)>c(NH)>c(OH-)>c(H+) 4 7. 常温下,用0.1 mol·L-1氨水滴定10 mL浓度均为0.1 mol·L-1的HCl和CHCOOH的混合液, 3 下列说法不正确的是( ) A.在氨水滴定前,HCl和CHCOOH的混合液中c(Cl-)>c(CHCOO-) 3 3 B.当滴入氨水10 mL时,c(NH)+c(NH ·H O)=c(CHCOO-)+c(CHCOOH) 3 2 3 3 C.当滴入氨水20 mL时,c(CHCOOH)+c(H+)=c(NH ·H O)+c(OH-) 3 3 2 D.当溶液呈中性时,氨水滴入量大于20 mL,c(NH)<c(Cl-) 8. 叠氮酸(HN )与NaOH溶液反应生成NaN 。已知NaN 溶液呈碱性,下列叙述正确的是( ) 3 3 3 A.0.01 mol·L-1 HN 溶液的pH=2 3 B.HN 溶液的pH随温度升高而减小 3 C.NaN 的电离方程式:NaN ===Na++3N 3 3 D.0.01 mol·L-1 NaN 溶液中:c(H+)+c(Na+)=c(N)+c(HN ) 3 3 9.已知常温下浓度均为0.1 mol·L-1的溶液的pH如下表所示: 溶液 NaF NaClO NaCO 2 3 pH 7.5 9.7 11.6 下列有关说法正确的是( ) A.根据上表得出三种酸的电离平衡常数:HF>HClO>HCO(一级电离平衡常数) 2 3 B.加热0.1 mol·L-1 NaClO溶液,其pH将小于9.7 C.pH=2的HF溶液与pH=12的NaOH溶液以等体积混合,则有c(Na+) =c(F-)>c(H+) = c(OH-) D.0.1 mol·L-1 Na CO 溶液中:c(OH-)-c(H+)=c(HCO)+2c(H CO) 2 3 2 3 10.如图为某实验测得0.1 mol·L-1 NaHCO 溶液在升温过程中(不考虑水挥发)的pH变化曲线。下 3 列说法正确的是( ) A.a点溶液的c(OH-)比c点溶液的小 B.a点时,K <K (H CO)·K (H CO) w a1 2 3 a2 2 3 C.b点溶液中,c(Na+)=c(HCO)+2c(CO) D.ab段,pH减小说明升温抑制了HCO的水解 二、填空题(本题包括5个小题,共60分) 11.(12分)如图所示三个烧瓶中分别装入含酚酞的0.01 mol·L-1 CHCOONa溶液,并分别放 3 置在盛有水的烧杯中,然后向烧杯①中加入生石灰,向烧杯③中加入NH NO 晶体,烧杯②中不加 4 3 任何物质。 2 学科网(北京)股份有限公司(1)含酚酞的0.01 mol·L-1 CHCOONa溶液显浅红色的原因为_______________。 3 (2)实验过程中发现烧杯①中溶液红色变深,烧瓶③中溶液红色变浅,则下列叙述正确的是 ________。 A.水解反应为放热反应 B.水解反应为吸热反应 C.NH NO 溶于水时放出热量 D.NH NO 溶于水时吸收热量 4 3 4 3 (3)0.01 mol·L-1 CHCOONa溶液中分别加入少量浓盐酸、NaOH固体、NaCO 固体、FeSO 固 3 2 3 4 体,使CHCOO-水解平衡移动的方向分别为________、________、________、________(填“左” 3 “右”或“不移动”)。 12.(12分)某二元酸(化学式用HB表示)在水中的电离方程式是HB===H++HB-;HB- 2 2 H++ B2-。回答下列问题。 (1)Na B溶液显________(填“酸性”“中性”或“碱性”),理由是_______________(用离子方 2 程式表示)。 (2)在0.1 mol·L-1的NaB溶液中,下列粒子浓度关系式正确的是________(填字母)。 2 A.c(B2-)+c(HB-)+c(H B)=0.1 mol·L-1 2 B.c(Na+)+c(OH-)=c(H+)+c(HB-) C.c(Na+)+c(H+)=c(OH-)+c(HB-)+2c(B2-) D.c(Na+)=2c(B2-)+2c(HB-) (3)已知0.1 mol·L-1 NaHB溶液的pH=2,则0.1 mol·L-1 HB溶液中的氢离子的物质的量浓度可能 2 ________0.11 mol·L-1(填“<”“>”或“=”),理由是 ________________________________________________________________________。 (4)0.1 mol·L-1 NaHB溶液中各种离子浓度由大到小的顺序是___________________。 13.(12分)现有0.175 mol·L-1醋酸钠溶液500 mL(已知醋酸的电离常数K=1.75×10-5)。 a (1)写出醋酸钠水解反应的化学方程式:____________________________________。 (2)下列图像能说明醋酸钠的水解反应达到平衡的是______。 B.CH COO-的水解 3 A.溶液中c(Na+)与反 C.溶液的pH与反应 D.K 与反应时间t W 速率与反应时间t的 应时间t的关系 时间t的关系 的关系 关系 (3)在醋酸钠溶液中加入下列少量物质,能使水解平衡右移的有________。 3 学科网(北京)股份有限公司A.冰醋酸 B.纯碱固体 C.醋酸钙固体 D.氯化铵固体 (4)欲配制0.175 mol·L-1醋酸钠溶液500 mL,可采用以下两种方案。 方案一:用托盘天平称取____g无水醋酸钠,溶于适量水中,配成500 mL溶液。 方案二:用体积均为250 mL且浓度均为________ mol·L-1的醋酸与氢氧化钠两溶液混合而成 (设混合后的体积等于混合前两者体积之和)。 (5)在室温下,0.175 mol·L-1醋酸钠溶液的pH约为____[已知醋酸根离子水解反应的平衡常数 K =]。 h 14.(12分)常温下,如果取0.1 mol·L-1HA溶液与0.1 mol·L-1NaOH溶液等体积混合(忽略混 合后溶液体积的变化),测得混合溶液的pH=8。试回答以下问题: (1)混合溶液的pH=8的原因:___________________________________ (用离子方程式表示)。 (2)混合溶液中由水电离出的c(OH-)________(填“>”“<”或“=”))0.1 mol·L-1NaOH溶液 中由水电离出的c(OH-)。 (3)求出混合溶液中下列算式的精确计算结果(填具体数字): c(Na+)-c(A-)=________mol·L-1,c(OH-)-c(HA)=________mol·L-1。 (4)已知NH A溶液为中性,又知HA溶液加到NaCO 溶液中有气体放出,试推断(NH )CO 溶 4 2 3 4 2 3 液的pH________7(填“>”“<”或“=”);将同温度下等浓度的四种盐溶液按pH由大到小的顺 序排列是________(填字母)。 A.NH HCO B.NH A C.(NH )SO D.NH Cl 4 3 4 4 2 4 4 15.(12分)NH Al(SO ) 是食品加工中最为快捷的食品添加剂,用于焙烤食品;NH HSO 在 4 4 2 4 4 分析试剂、医药、电子工业中用途广泛。请回答下列问题: (1)NH Al(SO ) 可作净水剂,其理由是 4 4 2 (用必要的化学用语和相关文字说明)。 (2)相同条件下,0.1 mol·L-1NH Al(SO ) 溶液中c(NH)________(填“等于”“大于”或“小 4 4 2 于”)0.1 mol·L-1NH HSO 溶液中c(NH)。 4 4 (3)如图1所示是0.1 mol·L-1电解质溶液的pH随温度变化的图像。 ①其中符合0.1 mol·L-1 NH Al(SO ) 溶液的pH随温度变化的曲线是________(填字母),导致 4 4 2 pH随温度变化的原因是__________________________________________________。 ②20 ℃时,0.1 mol·L-1 NH Al(SO ) 溶液中2c(SO)-c(NH)-3c(Al3+)=________。 4 4 2 (4)室温时,向100 mL 0.1 mol·L-1NH HSO 溶液中滴加0.1 mol·L-1NaOH溶液,所得溶液pH与 4 4 NaOH溶液体积的关系曲线如图2所示。试分析图中a、b、c、d四个点,水的电离程度最大的是 4 学科网(北京)股份有限公司______点;在b点,溶液中各离子浓度由大到小的排列顺序是 。 1.答案 D 解析:Al3+水解生成氢氧化铝胶体,治血痛的原因是利用了胶体的聚沉,不是吸附作用,故A错误; 白矾是硫酸铝钾晶体:KAl(SO )·12H O,其水溶液因铝离子水解而显酸性,铝离子减少,微粒浓 4 2 2 度排序:c(H O)>c(SO)>c(K+)>c(Al3+)>c(H+)>c(OH-),故B错误。 2 2.答案 A 解析: (NH )Fe(SO ) 溶液中亚铁离子及铵根离子都发生水解,但是水解程度较小,根据物料守恒 4 2 4 2 得c(SO)>c(NH)>c(Fe2+)>c(H+),故A正确;由于盐酸和醋酸溶液中氢离子浓度相等,混合后醋酸 的电离平衡不受影响,即电离平衡不移动,溶液中氢离子浓度不变,混合溶液的pH=2,故B错误; 向稀氨水中滴加稀盐酸至恰好完全反应生成氯化铵,铵根离子因发生水解而使溶液显酸性,即 c(H +)>c(OH-),根据电荷守恒有c(NH)+c(H+)=c(Cl-)+c(OH-),故c(NH)c(OH-),结合电荷守恒知c(Na+)c(A-)>c(OH-)>c(HA)>c(H+),可以判断X表示OH-,Y表示HA,Z表示H+,则A、 B、D错误,C项满足物料守恒,正确。 4.答案 D 解析: NaHA溶液呈酸性,可能是强酸的酸式盐,也可能是弱酸的酸式盐,A错误;25 ℃时,正 盐BA溶液呈中性,BA可能为强酸强碱盐,也可能是弱酸弱碱盐(HA和BOH的电离程度相同,如 NH ·H O与CHCOOH),故B错误;在醋酸溶液中存在电离平衡:CHCOOH CHCOO-+H 3 2 3 3 3 +,加水稀释,电离平衡会向电离方向移动,CHCOOH 的电离度增大,溶液浓度减小,即 3 CHCOOH溶液的浓度越大,CHCOOH电离度越小,即α>α ,C错误;由于NaCO 溶液中CO水 3 3 1 2 2 3 解,OH-全部由水电离产生,水电离的H+与水电离的OH-的物质的量相等,即由水电离出的H+ 的物质的量为0.1 L×10-4 mol·L-1=1.0×10-5 mol,D正确。 5.答案 B 解析: GHCl为强酸弱碱盐,电离出的 GH+会发生水解,但水解较为微弱,因此 0.001 mol·L-1 GHCl水溶液的pH>3,故A错误;稀释GHCl溶液时,GH+的水解程度将增大,根据勒夏特列原理 可知溶液中c(H+)将减小,溶液pH将升高,故B正确;GHCl为强酸弱碱盐,在水中的电离方程式 5 学科网(北京)股份有限公司为GHCl===GH++Cl-,故C错误;根据电荷守恒可知,GHCl溶液中c(OH-)+c(Cl-)=c(H+)+ c(GH+),故D错误。 6.答案 A 解析: 磷酸分步电离且电离程度逐渐减小,所以在0.1 mol·L-1 HPO 溶液中,离子浓度大小顺序 3 4 为c(H PO )>c(H PO)>c(HPO)>c(PO),故A项正确;在0.1 mol·L-1 Na C O 溶液中,根据电荷守 3 4 2 2 2 4 恒得c(Na+)+c(H+)=c(OH-)+c(HC O)+2c(C O),故B项错误;在0.1 mol·L-1 NaHCO 溶液中,根 2 2 3 据元素质量守恒得c(CO)+c(HCO)+c(H CO)=0.1 mol·L-1,故C项错误;氨水和NH Cl溶液混合, 2 3 4 形成pH=9的溶液,则c(Cl-)<c(NH),故D项错误。 7.答案 D 解析: HCl是强酸,CHCOOH是弱酸,浓度均为0.1 mol·L-1时,c(Cl-)>c(CHCOO-),A正确; 3 3 滴入 10 mL 氨水时,NH ·H O 和 CHCOOH 的物质的量相等,据元素质量守恒可得 c(NH)+ 3 2 3 c(NH ·H O)=c(CHCOO-)+c(CHCOOH),B正确;滴入20 mL氨水时,恰好完全反应,所得溶液 3 2 3 3 为等浓度的 NH Cl 和 CHCOONH 的混合溶液,据电荷守恒可知 c(NH)+c(H+)=c(Cl-)+ 4 3 4 c(CHCOO-)+c(OH-),据元素质量守恒可得c(NH)+c(NH ·H O)=c(CHCOOH)+c(CHCOO-)+ 3 3 2 3 3 c(Cl-),联立两式可得c(CHCOOH)+c(H+)=c(NH ·H O)+c(OH-),C正确;滴入20 mL氨水时, 3 3 2 所得混合溶液呈酸性,若溶液呈中性,氨水滴入量要大于20 mL,结合电荷守恒关系c(NH)+c(H+) =c(Cl-)+c(CHCOO-)+c(OH-),溶液呈中性时,c(H+)=c(OH-),得c(NH)=c(Cl-)+c(CHCOO 3 3 -),则有c(NH)>c(Cl-),D错误。 8.答案 B 解析:由题意,NaN 溶液呈碱性,则叠氮酸根(N)会发生水解,说明HN 为弱酸,在水溶液中不能 3 3 完全电离,故0.01 mol·L-1 HN 溶液的pH>2,A错误;HN 为弱酸,电离方程式为HN H++ 3 3 3 N,电离是吸热过程,升高温度促进HN 的电离,c(H+)增大, pH减小,B正确;NaN 是强电解 3 3 质,完全电离出Na+和N,电离方程式为 NaN ===Na++N,C错误;0.01 mol·L-1 NaN 溶液中: 3 3 由物料守恒得c(Na+ )=c(N)+c(HN ),故D错误。 3 9.答案 D 解析: 相同温度下,相同浓度的钠盐溶液中,弱酸酸根离子水解程度越大其溶液pH越大,根据表 中数据可知,离子水解程度:F-<ClO-<CO,则酸的电离平衡常数:HF>HClO>HCO,A项错 误 ; 盐 类 水 解 是 吸 热 反 应 , 升 高 温 度 促 进 盐 类 水 解 , 故 加 热 NaClO 溶 液 , ClO-水解程度增大,溶液的碱性增强,pH增大,B项错误;常温下,NaF溶液的pH=7.5>7,说 明NaF是强碱弱酸盐,则HF是弱酸,pH=2的HF浓度大于pH=12的NaOH溶液浓度,二者等体 积混合,HF有剩余,溶液呈酸性,则c(H+)>c(OH-),结合电荷守恒得c(Na+)<c(F-),酸的电离 程度较小,则有 c(F-)>c(Na+)>c(H+)>c(OH-),C项错误;根据元素质量守恒得 2[c(CO)+ c(HCO)+c(H CO)]=c(Na+),根据电荷守恒得c(H+)+c(Na+)=c(OH-)+c(HCO)+2c(CO),故 2 3 c(OH-)-c(H+)=c(HCO)+2c(H CO),D项正确。 2 3 10.答案 A 解析: a点、c点的pH相同,即c(H+)相同,但是c点的温度高,K 大,所以a点溶液的c(OH-)比 w c点溶液的小,A正确;NaHCO 溶液中存在电离平衡和水解平衡,根据图示可知,NaHCO 溶液显 3 3 6 学科网(北京)股份有限公司碱性,水解过程大于电离过程,K =>K ,所以K >K (H CO)·K (H CO),B错误;b点溶液显 h a2 w a1 2 3 a2 2 3 碱性,溶液中存在电荷守恒:c(Na+)+c(H+)=c(HCO)+2c(CO)+c(OH-),由于c(H+) (3)9.9×10-7 10-8 (4)> ABDC 解析:(2)混合溶液由于A-水解,促进水的电离,而NaOH抑制水的电离。(3)由电荷守恒c(Na+)+ c(H+)=c(A-)+c(OH-),可得c(Na+)-c(A-)=c(OH-)-c(H+)=9.9×10-7mol·L-1。由质子守恒 c(OH-)=c(HA)+c(H+),可得c(OH-)-c(HA)=c(H+)=10-8mol·L-1。(4)NH A溶液为中性,说明 4 NH与A-的水解程度相当。HA加到NaCO 中有气体放出,说明HA酸性强于HCO ,HCO、CO 2 3 2 3 水解程度大于A-,因而(NH )CO 溶液pH>7,NH HCO 溶液的pH大于7。Cl-和SO不水解, 4 2 3 4 3 (NH )SO 和 NH Cl 溶液显酸性,但(NH )SO 中 c(NH)多,水解生成的 c(H+)也多,因而 4 2 4 4 4 2 4 pH[(NH)SO ]
基本 文件 流程 错误 SQL 调试
  1. 请求信息 : 2026-03-03 02:42:38 HTTP/1.1 GET : https://www.yeyulingfeng.com/wendang/247722.html
  2. 运行时间 : 0.092686s [ 吞吐率:10.79req/s ] 内存消耗:5,601.02kb 文件加载:144
  3. 缓存信息 : 0 reads,0 writes
  4. 会话信息 : SESSION_ID=6fda9496ae201ca429b6e0a3271fa725
  1. /yingpanguazai/ssd/ssd1/www/wwww.yeyulingfeng.com/public/index.php ( 0.79 KB )
  2. /yingpanguazai/ssd/ssd1/www/wwww.yeyulingfeng.com/vendor/autoload.php ( 0.17 KB )
  3. /yingpanguazai/ssd/ssd1/www/wwww.yeyulingfeng.com/vendor/composer/autoload_real.php ( 2.49 KB )
  4. /yingpanguazai/ssd/ssd1/www/wwww.yeyulingfeng.com/vendor/composer/platform_check.php ( 0.90 KB )
  5. /yingpanguazai/ssd/ssd1/www/wwww.yeyulingfeng.com/vendor/composer/ClassLoader.php ( 14.03 KB )
  6. /yingpanguazai/ssd/ssd1/www/wwww.yeyulingfeng.com/vendor/composer/autoload_static.php ( 6.05 KB )
  7. /yingpanguazai/ssd/ssd1/www/wwww.yeyulingfeng.com/vendor/topthink/think-helper/src/helper.php ( 8.34 KB )
  8. /yingpanguazai/ssd/ssd1/www/wwww.yeyulingfeng.com/vendor/topthink/think-validate/src/helper.php ( 2.19 KB )
  9. /yingpanguazai/ssd/ssd1/www/wwww.yeyulingfeng.com/vendor/ralouphie/getallheaders/src/getallheaders.php ( 1.60 KB )
  10. /yingpanguazai/ssd/ssd1/www/wwww.yeyulingfeng.com/vendor/topthink/think-orm/src/helper.php ( 1.47 KB )
  11. /yingpanguazai/ssd/ssd1/www/wwww.yeyulingfeng.com/vendor/topthink/think-orm/stubs/load_stubs.php ( 0.16 KB )
  12. /yingpanguazai/ssd/ssd1/www/wwww.yeyulingfeng.com/vendor/topthink/framework/src/think/Exception.php ( 1.69 KB )
  13. /yingpanguazai/ssd/ssd1/www/wwww.yeyulingfeng.com/vendor/topthink/think-container/src/Facade.php ( 2.71 KB )
  14. /yingpanguazai/ssd/ssd1/www/wwww.yeyulingfeng.com/vendor/symfony/deprecation-contracts/function.php ( 0.99 KB )
  15. /yingpanguazai/ssd/ssd1/www/wwww.yeyulingfeng.com/vendor/symfony/polyfill-mbstring/bootstrap.php ( 8.26 KB )
  16. /yingpanguazai/ssd/ssd1/www/wwww.yeyulingfeng.com/vendor/symfony/polyfill-mbstring/bootstrap80.php ( 9.78 KB )
  17. /yingpanguazai/ssd/ssd1/www/wwww.yeyulingfeng.com/vendor/symfony/var-dumper/Resources/functions/dump.php ( 1.49 KB )
  18. /yingpanguazai/ssd/ssd1/www/wwww.yeyulingfeng.com/vendor/topthink/think-dumper/src/helper.php ( 0.18 KB )
  19. /yingpanguazai/ssd/ssd1/www/wwww.yeyulingfeng.com/vendor/symfony/var-dumper/VarDumper.php ( 4.30 KB )
  20. /yingpanguazai/ssd/ssd1/www/wwww.yeyulingfeng.com/vendor/guzzlehttp/guzzle/src/functions_include.php ( 0.16 KB )
  21. /yingpanguazai/ssd/ssd1/www/wwww.yeyulingfeng.com/vendor/guzzlehttp/guzzle/src/functions.php ( 5.54 KB )
  22. /yingpanguazai/ssd/ssd1/www/wwww.yeyulingfeng.com/vendor/topthink/framework/src/think/App.php ( 15.30 KB )
  23. /yingpanguazai/ssd/ssd1/www/wwww.yeyulingfeng.com/vendor/topthink/think-container/src/Container.php ( 15.76 KB )
  24. /yingpanguazai/ssd/ssd1/www/wwww.yeyulingfeng.com/vendor/psr/container/src/ContainerInterface.php ( 1.02 KB )
  25. /yingpanguazai/ssd/ssd1/www/wwww.yeyulingfeng.com/app/provider.php ( 0.19 KB )
  26. /yingpanguazai/ssd/ssd1/www/wwww.yeyulingfeng.com/vendor/topthink/framework/src/think/Http.php ( 6.04 KB )
  27. /yingpanguazai/ssd/ssd1/www/wwww.yeyulingfeng.com/vendor/topthink/think-helper/src/helper/Str.php ( 7.29 KB )
  28. /yingpanguazai/ssd/ssd1/www/wwww.yeyulingfeng.com/vendor/topthink/framework/src/think/Env.php ( 4.68 KB )
  29. /yingpanguazai/ssd/ssd1/www/wwww.yeyulingfeng.com/app/common.php ( 0.03 KB )
  30. /yingpanguazai/ssd/ssd1/www/wwww.yeyulingfeng.com/vendor/topthink/framework/src/helper.php ( 18.78 KB )
  31. /yingpanguazai/ssd/ssd1/www/wwww.yeyulingfeng.com/vendor/topthink/framework/src/think/Config.php ( 5.54 KB )
  32. /yingpanguazai/ssd/ssd1/www/wwww.yeyulingfeng.com/config/alipay.php ( 3.59 KB )
  33. /yingpanguazai/ssd/ssd1/www/wwww.yeyulingfeng.com/vendor/topthink/framework/src/think/facade/Env.php ( 1.67 KB )
  34. /yingpanguazai/ssd/ssd1/www/wwww.yeyulingfeng.com/config/app.php ( 0.95 KB )
  35. /yingpanguazai/ssd/ssd1/www/wwww.yeyulingfeng.com/config/cache.php ( 0.78 KB )
  36. /yingpanguazai/ssd/ssd1/www/wwww.yeyulingfeng.com/config/console.php ( 0.23 KB )
  37. /yingpanguazai/ssd/ssd1/www/wwww.yeyulingfeng.com/config/cookie.php ( 0.56 KB )
  38. /yingpanguazai/ssd/ssd1/www/wwww.yeyulingfeng.com/config/database.php ( 2.48 KB )
  39. /yingpanguazai/ssd/ssd1/www/wwww.yeyulingfeng.com/config/filesystem.php ( 0.61 KB )
  40. /yingpanguazai/ssd/ssd1/www/wwww.yeyulingfeng.com/config/lang.php ( 0.91 KB )
  41. /yingpanguazai/ssd/ssd1/www/wwww.yeyulingfeng.com/config/log.php ( 1.35 KB )
  42. /yingpanguazai/ssd/ssd1/www/wwww.yeyulingfeng.com/config/middleware.php ( 0.19 KB )
  43. /yingpanguazai/ssd/ssd1/www/wwww.yeyulingfeng.com/config/route.php ( 1.89 KB )
  44. /yingpanguazai/ssd/ssd1/www/wwww.yeyulingfeng.com/config/session.php ( 0.57 KB )
  45. /yingpanguazai/ssd/ssd1/www/wwww.yeyulingfeng.com/config/trace.php ( 0.34 KB )
  46. /yingpanguazai/ssd/ssd1/www/wwww.yeyulingfeng.com/config/view.php ( 0.82 KB )
  47. /yingpanguazai/ssd/ssd1/www/wwww.yeyulingfeng.com/app/event.php ( 0.25 KB )
  48. /yingpanguazai/ssd/ssd1/www/wwww.yeyulingfeng.com/vendor/topthink/framework/src/think/Event.php ( 7.67 KB )
  49. /yingpanguazai/ssd/ssd1/www/wwww.yeyulingfeng.com/app/service.php ( 0.13 KB )
  50. /yingpanguazai/ssd/ssd1/www/wwww.yeyulingfeng.com/app/AppService.php ( 0.26 KB )
  51. /yingpanguazai/ssd/ssd1/www/wwww.yeyulingfeng.com/vendor/topthink/framework/src/think/Service.php ( 1.64 KB )
  52. /yingpanguazai/ssd/ssd1/www/wwww.yeyulingfeng.com/vendor/topthink/framework/src/think/Lang.php ( 7.35 KB )
  53. /yingpanguazai/ssd/ssd1/www/wwww.yeyulingfeng.com/vendor/topthink/framework/src/lang/zh-cn.php ( 13.70 KB )
  54. /yingpanguazai/ssd/ssd1/www/wwww.yeyulingfeng.com/vendor/topthink/framework/src/think/initializer/Error.php ( 3.31 KB )
  55. /yingpanguazai/ssd/ssd1/www/wwww.yeyulingfeng.com/vendor/topthink/framework/src/think/initializer/RegisterService.php ( 1.33 KB )
  56. /yingpanguazai/ssd/ssd1/www/wwww.yeyulingfeng.com/vendor/services.php ( 0.14 KB )
  57. /yingpanguazai/ssd/ssd1/www/wwww.yeyulingfeng.com/vendor/topthink/framework/src/think/service/PaginatorService.php ( 1.52 KB )
  58. /yingpanguazai/ssd/ssd1/www/wwww.yeyulingfeng.com/vendor/topthink/framework/src/think/service/ValidateService.php ( 0.99 KB )
  59. /yingpanguazai/ssd/ssd1/www/wwww.yeyulingfeng.com/vendor/topthink/framework/src/think/service/ModelService.php ( 2.04 KB )
  60. /yingpanguazai/ssd/ssd1/www/wwww.yeyulingfeng.com/vendor/topthink/think-trace/src/Service.php ( 0.77 KB )
  61. /yingpanguazai/ssd/ssd1/www/wwww.yeyulingfeng.com/vendor/topthink/framework/src/think/Middleware.php ( 6.72 KB )
  62. /yingpanguazai/ssd/ssd1/www/wwww.yeyulingfeng.com/vendor/topthink/framework/src/think/initializer/BootService.php ( 0.77 KB )
  63. /yingpanguazai/ssd/ssd1/www/wwww.yeyulingfeng.com/vendor/topthink/think-orm/src/Paginator.php ( 11.86 KB )
  64. /yingpanguazai/ssd/ssd1/www/wwww.yeyulingfeng.com/vendor/topthink/think-validate/src/Validate.php ( 63.20 KB )
  65. /yingpanguazai/ssd/ssd1/www/wwww.yeyulingfeng.com/vendor/topthink/think-orm/src/Model.php ( 23.55 KB )
  66. /yingpanguazai/ssd/ssd1/www/wwww.yeyulingfeng.com/vendor/topthink/think-orm/src/model/concern/Attribute.php ( 21.05 KB )
  67. /yingpanguazai/ssd/ssd1/www/wwww.yeyulingfeng.com/vendor/topthink/think-orm/src/model/concern/AutoWriteData.php ( 4.21 KB )
  68. /yingpanguazai/ssd/ssd1/www/wwww.yeyulingfeng.com/vendor/topthink/think-orm/src/model/concern/Conversion.php ( 6.44 KB )
  69. /yingpanguazai/ssd/ssd1/www/wwww.yeyulingfeng.com/vendor/topthink/think-orm/src/model/concern/DbConnect.php ( 5.16 KB )
  70. /yingpanguazai/ssd/ssd1/www/wwww.yeyulingfeng.com/vendor/topthink/think-orm/src/model/concern/ModelEvent.php ( 2.33 KB )
  71. /yingpanguazai/ssd/ssd1/www/wwww.yeyulingfeng.com/vendor/topthink/think-orm/src/model/concern/RelationShip.php ( 28.29 KB )
  72. /yingpanguazai/ssd/ssd1/www/wwww.yeyulingfeng.com/vendor/topthink/think-helper/src/contract/Arrayable.php ( 0.09 KB )
  73. /yingpanguazai/ssd/ssd1/www/wwww.yeyulingfeng.com/vendor/topthink/think-helper/src/contract/Jsonable.php ( 0.13 KB )
  74. /yingpanguazai/ssd/ssd1/www/wwww.yeyulingfeng.com/vendor/topthink/think-orm/src/model/contract/Modelable.php ( 0.09 KB )
  75. /yingpanguazai/ssd/ssd1/www/wwww.yeyulingfeng.com/vendor/topthink/framework/src/think/Db.php ( 2.88 KB )
  76. /yingpanguazai/ssd/ssd1/www/wwww.yeyulingfeng.com/vendor/topthink/think-orm/src/DbManager.php ( 8.52 KB )
  77. /yingpanguazai/ssd/ssd1/www/wwww.yeyulingfeng.com/vendor/topthink/framework/src/think/Log.php ( 6.28 KB )
  78. /yingpanguazai/ssd/ssd1/www/wwww.yeyulingfeng.com/vendor/topthink/framework/src/think/Manager.php ( 3.92 KB )
  79. /yingpanguazai/ssd/ssd1/www/wwww.yeyulingfeng.com/vendor/psr/log/src/LoggerTrait.php ( 2.69 KB )
  80. /yingpanguazai/ssd/ssd1/www/wwww.yeyulingfeng.com/vendor/psr/log/src/LoggerInterface.php ( 2.71 KB )
  81. /yingpanguazai/ssd/ssd1/www/wwww.yeyulingfeng.com/vendor/topthink/framework/src/think/Cache.php ( 4.92 KB )
  82. /yingpanguazai/ssd/ssd1/www/wwww.yeyulingfeng.com/vendor/psr/simple-cache/src/CacheInterface.php ( 4.71 KB )
  83. /yingpanguazai/ssd/ssd1/www/wwww.yeyulingfeng.com/vendor/topthink/think-helper/src/helper/Arr.php ( 16.63 KB )
  84. /yingpanguazai/ssd/ssd1/www/wwww.yeyulingfeng.com/vendor/topthink/framework/src/think/cache/driver/File.php ( 7.84 KB )
  85. /yingpanguazai/ssd/ssd1/www/wwww.yeyulingfeng.com/vendor/topthink/framework/src/think/cache/Driver.php ( 9.03 KB )
  86. /yingpanguazai/ssd/ssd1/www/wwww.yeyulingfeng.com/vendor/topthink/framework/src/think/contract/CacheHandlerInterface.php ( 1.99 KB )
  87. /yingpanguazai/ssd/ssd1/www/wwww.yeyulingfeng.com/app/Request.php ( 0.09 KB )
  88. /yingpanguazai/ssd/ssd1/www/wwww.yeyulingfeng.com/vendor/topthink/framework/src/think/Request.php ( 55.78 KB )
  89. /yingpanguazai/ssd/ssd1/www/wwww.yeyulingfeng.com/app/middleware.php ( 0.25 KB )
  90. /yingpanguazai/ssd/ssd1/www/wwww.yeyulingfeng.com/vendor/topthink/framework/src/think/Pipeline.php ( 2.61 KB )
  91. /yingpanguazai/ssd/ssd1/www/wwww.yeyulingfeng.com/vendor/topthink/think-trace/src/TraceDebug.php ( 3.40 KB )
  92. /yingpanguazai/ssd/ssd1/www/wwww.yeyulingfeng.com/vendor/topthink/framework/src/think/middleware/SessionInit.php ( 1.94 KB )
  93. /yingpanguazai/ssd/ssd1/www/wwww.yeyulingfeng.com/vendor/topthink/framework/src/think/Session.php ( 1.80 KB )
  94. /yingpanguazai/ssd/ssd1/www/wwww.yeyulingfeng.com/vendor/topthink/framework/src/think/session/driver/File.php ( 6.27 KB )
  95. /yingpanguazai/ssd/ssd1/www/wwww.yeyulingfeng.com/vendor/topthink/framework/src/think/contract/SessionHandlerInterface.php ( 0.87 KB )
  96. /yingpanguazai/ssd/ssd1/www/wwww.yeyulingfeng.com/vendor/topthink/framework/src/think/session/Store.php ( 7.12 KB )
  97. /yingpanguazai/ssd/ssd1/www/wwww.yeyulingfeng.com/vendor/topthink/framework/src/think/Route.php ( 23.73 KB )
  98. /yingpanguazai/ssd/ssd1/www/wwww.yeyulingfeng.com/vendor/topthink/framework/src/think/route/RuleName.php ( 5.75 KB )
  99. /yingpanguazai/ssd/ssd1/www/wwww.yeyulingfeng.com/vendor/topthink/framework/src/think/route/Domain.php ( 2.53 KB )
  100. /yingpanguazai/ssd/ssd1/www/wwww.yeyulingfeng.com/vendor/topthink/framework/src/think/route/RuleGroup.php ( 22.43 KB )
  101. /yingpanguazai/ssd/ssd1/www/wwww.yeyulingfeng.com/vendor/topthink/framework/src/think/route/Rule.php ( 26.95 KB )
  102. /yingpanguazai/ssd/ssd1/www/wwww.yeyulingfeng.com/vendor/topthink/framework/src/think/route/RuleItem.php ( 9.78 KB )
  103. /yingpanguazai/ssd/ssd1/www/wwww.yeyulingfeng.com/route/app.php ( 3.63 KB )
  104. /yingpanguazai/ssd/ssd1/www/wwww.yeyulingfeng.com/vendor/topthink/framework/src/think/facade/Route.php ( 4.70 KB )
  105. /yingpanguazai/ssd/ssd1/www/wwww.yeyulingfeng.com/vendor/topthink/framework/src/think/route/dispatch/Controller.php ( 4.74 KB )
  106. /yingpanguazai/ssd/ssd1/www/wwww.yeyulingfeng.com/vendor/topthink/framework/src/think/route/Dispatch.php ( 10.44 KB )
  107. /yingpanguazai/ssd/ssd1/www/wwww.yeyulingfeng.com/app/controller/Index.php ( 9.50 KB )
  108. /yingpanguazai/ssd/ssd1/www/wwww.yeyulingfeng.com/app/BaseController.php ( 2.05 KB )
  109. /yingpanguazai/ssd/ssd1/www/wwww.yeyulingfeng.com/vendor/topthink/think-orm/src/facade/Db.php ( 0.93 KB )
  110. /yingpanguazai/ssd/ssd1/www/wwww.yeyulingfeng.com/vendor/topthink/think-orm/src/db/connector/Mysql.php ( 5.44 KB )
  111. /yingpanguazai/ssd/ssd1/www/wwww.yeyulingfeng.com/vendor/topthink/think-orm/src/db/PDOConnection.php ( 52.47 KB )
  112. /yingpanguazai/ssd/ssd1/www/wwww.yeyulingfeng.com/vendor/topthink/think-orm/src/db/Connection.php ( 8.39 KB )
  113. /yingpanguazai/ssd/ssd1/www/wwww.yeyulingfeng.com/vendor/topthink/think-orm/src/db/ConnectionInterface.php ( 4.57 KB )
  114. /yingpanguazai/ssd/ssd1/www/wwww.yeyulingfeng.com/vendor/topthink/think-orm/src/db/builder/Mysql.php ( 16.58 KB )
  115. /yingpanguazai/ssd/ssd1/www/wwww.yeyulingfeng.com/vendor/topthink/think-orm/src/db/Builder.php ( 24.06 KB )
  116. /yingpanguazai/ssd/ssd1/www/wwww.yeyulingfeng.com/vendor/topthink/think-orm/src/db/BaseBuilder.php ( 27.50 KB )
  117. /yingpanguazai/ssd/ssd1/www/wwww.yeyulingfeng.com/vendor/topthink/think-orm/src/db/Query.php ( 15.71 KB )
  118. /yingpanguazai/ssd/ssd1/www/wwww.yeyulingfeng.com/vendor/topthink/think-orm/src/db/BaseQuery.php ( 45.13 KB )
  119. /yingpanguazai/ssd/ssd1/www/wwww.yeyulingfeng.com/vendor/topthink/think-orm/src/db/concern/TimeFieldQuery.php ( 7.43 KB )
  120. /yingpanguazai/ssd/ssd1/www/wwww.yeyulingfeng.com/vendor/topthink/think-orm/src/db/concern/AggregateQuery.php ( 3.26 KB )
  121. /yingpanguazai/ssd/ssd1/www/wwww.yeyulingfeng.com/vendor/topthink/think-orm/src/db/concern/ModelRelationQuery.php ( 20.07 KB )
  122. /yingpanguazai/ssd/ssd1/www/wwww.yeyulingfeng.com/vendor/topthink/think-orm/src/db/concern/ParamsBind.php ( 3.66 KB )
  123. /yingpanguazai/ssd/ssd1/www/wwww.yeyulingfeng.com/vendor/topthink/think-orm/src/db/concern/ResultOperation.php ( 7.01 KB )
  124. /yingpanguazai/ssd/ssd1/www/wwww.yeyulingfeng.com/vendor/topthink/think-orm/src/db/concern/WhereQuery.php ( 19.37 KB )
  125. /yingpanguazai/ssd/ssd1/www/wwww.yeyulingfeng.com/vendor/topthink/think-orm/src/db/concern/JoinAndViewQuery.php ( 7.11 KB )
  126. /yingpanguazai/ssd/ssd1/www/wwww.yeyulingfeng.com/vendor/topthink/think-orm/src/db/concern/TableFieldInfo.php ( 2.63 KB )
  127. /yingpanguazai/ssd/ssd1/www/wwww.yeyulingfeng.com/vendor/topthink/think-orm/src/db/concern/Transaction.php ( 2.77 KB )
  128. /yingpanguazai/ssd/ssd1/www/wwww.yeyulingfeng.com/vendor/topthink/framework/src/think/log/driver/File.php ( 5.96 KB )
  129. /yingpanguazai/ssd/ssd1/www/wwww.yeyulingfeng.com/vendor/topthink/framework/src/think/contract/LogHandlerInterface.php ( 0.86 KB )
  130. /yingpanguazai/ssd/ssd1/www/wwww.yeyulingfeng.com/vendor/topthink/framework/src/think/log/Channel.php ( 3.89 KB )
  131. /yingpanguazai/ssd/ssd1/www/wwww.yeyulingfeng.com/vendor/topthink/framework/src/think/event/LogRecord.php ( 1.02 KB )
  132. /yingpanguazai/ssd/ssd1/www/wwww.yeyulingfeng.com/vendor/topthink/think-helper/src/Collection.php ( 16.47 KB )
  133. /yingpanguazai/ssd/ssd1/www/wwww.yeyulingfeng.com/vendor/topthink/framework/src/think/facade/View.php ( 1.70 KB )
  134. /yingpanguazai/ssd/ssd1/www/wwww.yeyulingfeng.com/vendor/topthink/framework/src/think/View.php ( 4.39 KB )
  135. /yingpanguazai/ssd/ssd1/www/wwww.yeyulingfeng.com/vendor/topthink/framework/src/think/Response.php ( 8.81 KB )
  136. /yingpanguazai/ssd/ssd1/www/wwww.yeyulingfeng.com/vendor/topthink/framework/src/think/response/View.php ( 3.29 KB )
  137. /yingpanguazai/ssd/ssd1/www/wwww.yeyulingfeng.com/vendor/topthink/framework/src/think/Cookie.php ( 6.06 KB )
  138. /yingpanguazai/ssd/ssd1/www/wwww.yeyulingfeng.com/vendor/topthink/think-view/src/Think.php ( 8.38 KB )
  139. /yingpanguazai/ssd/ssd1/www/wwww.yeyulingfeng.com/vendor/topthink/framework/src/think/contract/TemplateHandlerInterface.php ( 1.60 KB )
  140. /yingpanguazai/ssd/ssd1/www/wwww.yeyulingfeng.com/vendor/topthink/think-template/src/Template.php ( 46.61 KB )
  141. /yingpanguazai/ssd/ssd1/www/wwww.yeyulingfeng.com/vendor/topthink/think-template/src/template/driver/File.php ( 2.41 KB )
  142. /yingpanguazai/ssd/ssd1/www/wwww.yeyulingfeng.com/vendor/topthink/think-template/src/template/contract/DriverInterface.php ( 0.86 KB )
  143. /yingpanguazai/ssd/ssd1/www/wwww.yeyulingfeng.com/runtime/temp/10a0c909b6afa23b5a52a2e2d58c3c0f.php ( 21.72 KB )
  144. /yingpanguazai/ssd/ssd1/www/wwww.yeyulingfeng.com/vendor/topthink/think-trace/src/Html.php ( 4.42 KB )
  1. CONNECT:[ UseTime:0.000528s ] mysql:host=127.0.0.1;port=3306;dbname=wenku;charset=utf8mb4
  2. SHOW FULL COLUMNS FROM `fenlei` [ RunTime:0.000598s ]
  3. SELECT * FROM `fenlei` WHERE `fid` = 0 [ RunTime:0.000283s ]
  4. SELECT * FROM `fenlei` WHERE `fid` = 63 [ RunTime:0.000303s ]
  5. SHOW FULL COLUMNS FROM `set` [ RunTime:0.000461s ]
  6. SELECT * FROM `set` [ RunTime:0.000215s ]
  7. SHOW FULL COLUMNS FROM `wendang` [ RunTime:0.000498s ]
  8. SELECT * FROM `wendang` WHERE `id` = 247722 LIMIT 1 [ RunTime:0.000435s ]
  9. UPDATE `wendang` SET `liulancishu` = 9 WHERE `id` = 247722 [ RunTime:0.006534s ]
  10. UPDATE `wendang` SET `lasttime` = 1772476959 WHERE `id` = 247722 [ RunTime:0.000539s ]
  11. SELECT * FROM `wendang` WHERE `id` < 247722 ORDER BY `id` DESC LIMIT 1 [ RunTime:0.000487s ]
  12. SELECT * FROM `wendang` WHERE `id` > 247722 ORDER BY `id` ASC LIMIT 1 [ RunTime:0.000438s ]
  13. SELECT * FROM `wendang` WHERE `id` <> 247722 ORDER BY `id` DESC LIMIT 10 [ RunTime:0.001507s ]
  14. SELECT * FROM `wendang` WHERE `id` <> 247722 ORDER BY `id` DESC LIMIT 10,10 [ RunTime:0.004061s ]
  15. SELECT * FROM `wendang` WHERE `id` <> 247722 ORDER BY `id` DESC LIMIT 20,10 [ RunTime:0.002167s ]
0.095893s