当前位置:首页>文档>山东省淄博市2023-2024学年度第二学期高二教学质量检测+数学答案_2024-2025高二(7-7月题库)_2024年07月试卷_0712山东省淄博市2023-2024学年度第二学期高二期末质量检测

山东省淄博市2023-2024学年度第二学期高二教学质量检测+数学答案_2024-2025高二(7-7月题库)_2024年07月试卷_0712山东省淄博市2023-2024学年度第二学期高二期末质量检测

  • 2026-03-30 14:27:50 2026-02-18 05:42:27

文档预览

山东省淄博市2023-2024学年度第二学期高二教学质量检测+数学答案_2024-2025高二(7-7月题库)_2024年07月试卷_0712山东省淄博市2023-2024学年度第二学期高二期末质量检测
山东省淄博市2023-2024学年度第二学期高二教学质量检测+数学答案_2024-2025高二(7-7月题库)_2024年07月试卷_0712山东省淄博市2023-2024学年度第二学期高二期末质量检测
山东省淄博市2023-2024学年度第二学期高二教学质量检测+数学答案_2024-2025高二(7-7月题库)_2024年07月试卷_0712山东省淄博市2023-2024学年度第二学期高二期末质量检测
山东省淄博市2023-2024学年度第二学期高二教学质量检测+数学答案_2024-2025高二(7-7月题库)_2024年07月试卷_0712山东省淄博市2023-2024学年度第二学期高二期末质量检测
山东省淄博市2023-2024学年度第二学期高二教学质量检测+数学答案_2024-2025高二(7-7月题库)_2024年07月试卷_0712山东省淄博市2023-2024学年度第二学期高二期末质量检测
山东省淄博市2023-2024学年度第二学期高二教学质量检测+数学答案_2024-2025高二(7-7月题库)_2024年07月试卷_0712山东省淄博市2023-2024学年度第二学期高二期末质量检测

文档信息

文档格式
docx
文档大小
0.277 MB
文档页数
6 页
上传时间
2026-02-18 05:42:27

文档内容

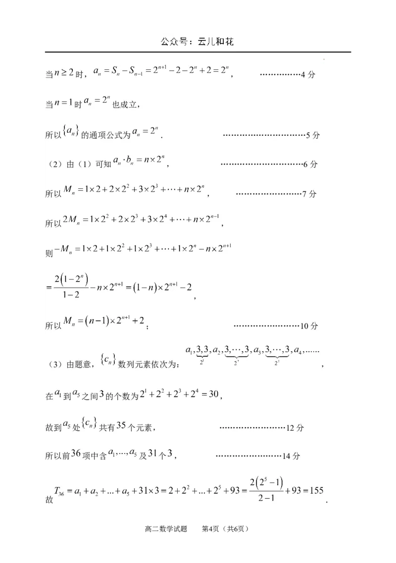
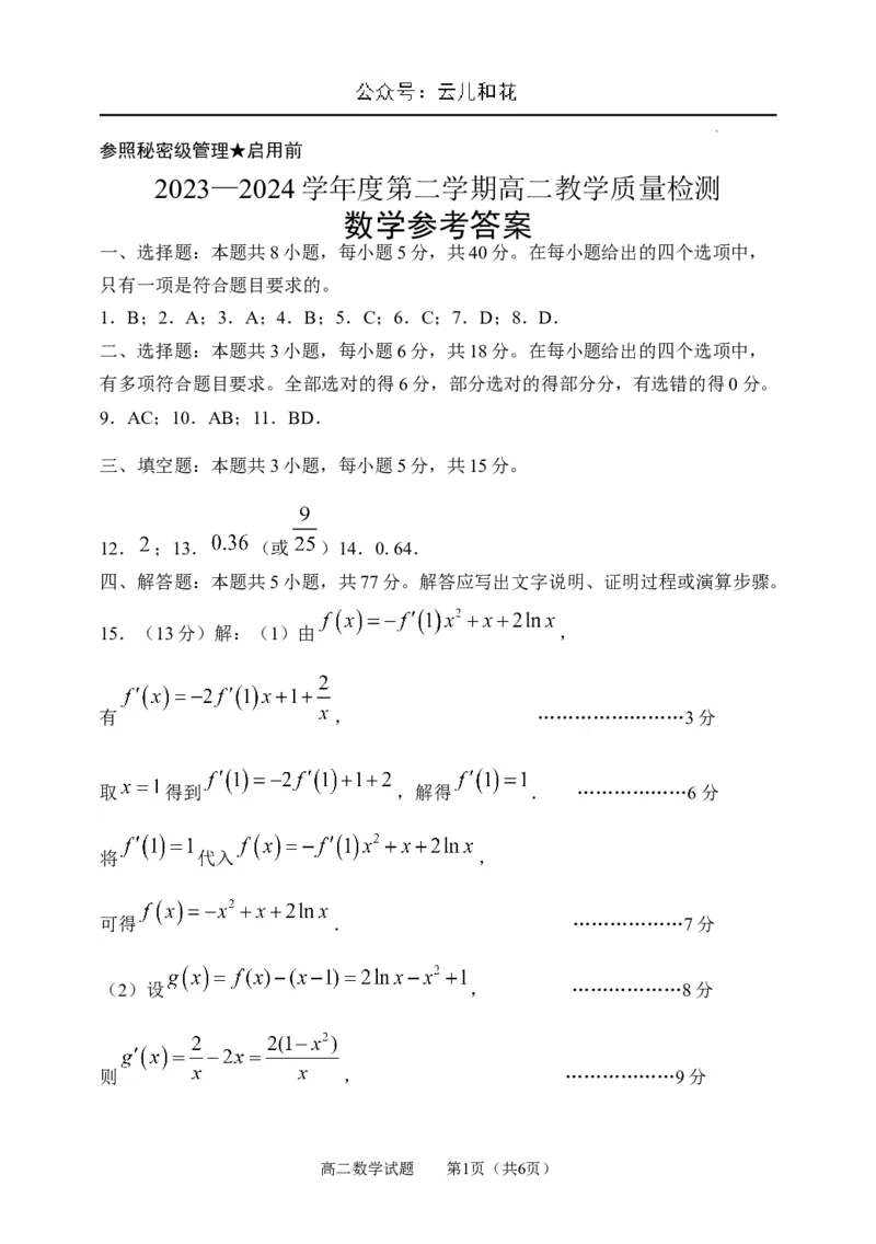
参照秘密级管理★启用前 2023—2024 学年度第二学期高二教学质量检测 数学参考答案 一、选择题:本题共8小题,每小题5分,共40分。在每小题给出的四个选项中, 只有一项是符合题目要求的。 1.B;2.A;3.A;4.B;5.C;6.C;7.D;8.D. 二、选择题:本题共3小题,每小题6分,共18分。在每小题给出的四个选项中, 有多项符合题目要求。全部选对的得6分,部分选对的得部分分,有选错的得0分。 9.AC;10.AB;11.BD. 三、填空题:本题共3小题,每小题5分,共15分。 12. ;13. (或 )14.0.64. 四、解答题:本题共5小题,共77分。解答应写出文字说明、证明过程或演算步骤。 15.(13分)解:(1)由 , 有 , ……………………3分 取 得到 ,解得 . ………………6分 将 代入 , 可得 . ………………7分 (2)设 , ………………8分 则 , ………………9分 高二数学试题 第1页(共6页) 学科网(北京)股份有限公司故当 时, ,当 时, . 所以 在 上单调递增,在 上单调递减, 故 . ………………11分 从而 成立. ………………13分 16.(15分)解:(1)因为 , …………………………3分 依据小概率值 的独立性检验,可以认为是否养宠物与性别有关联. …………………………5分 (2)由x的取值依次为1,2,3,4,5,6, 得 , , …………………………7分(每个数值1分) 因为回归方程为 , 所以 ,…………………8分 所以 , …………………10分 所以 . ………13分 高二数学试题 第2页(共6页) 学科网(北京)股份有限公司因为 , …………14分 所以y与x有较强的相关性,该同归方程有价值. ………15分 17.(15分)解:(1)由小张每次从纸箱中随机摸出一个小球观察其颜色, 连续摸4次,且每次从纸箱中随机摸出一个小球后放回纸箱, 所以随机变量 , …………3分 所以 , …………5分 ; …………7分 (2)由小张每次从纸箱中随机摸出一个小球观察其颜色,连续摸4次, 且每次从纸箱中随机摸出一个小球后不放回纸箱, 随机变量 服从超几何分布,则 ,……9分 可得 , …………12分(每个数值正确得1分) 所以 的分布列为: 2 3 4 ; …………15分 18.(17分)解:(1)因为 , 所以 ,则 , …………………………2分 当 时, , …………………………3分 高二数学试题 第3页(共6页) 学科网(北京)股份有限公司当 时, , ……………4分 当 时 也成立, 所以 的通项公式为 . …………………………5分 (2)由(1)可知 , …………………………6分 所以 , ……………………7分 所以 , 则 , 所以 ; ……………………10分 (3)由题意, 数列元素依次为: , 在 到 之间 的个数为 , 故到 处 共有 个元素, ……………………12分 所以前 项中含 及 个 , ……………………14分 故 . 高二数学试题 第4页(共6页) 学科网(北京)股份有限公司……………………17分 19.(17分)解:(1)函数 的定义域为 ,且 , …………2分 当 时, 恒成立,所以 在 单调递减;…………3分 当 时,令 ,即 ,解得 , , 因为 ,所以 ,则 , 所以当 时, , …………4分 当 时, , …………5分 当 时, , 所以 在 上单调递减, 在 上单调递增, 在 上单调递减; …………6分 当 时,此时 , 所以 时 ,当 时 , 所以 在 上单调递增,在 上单调递减. …………8分 综上可得:当 时 在 单调递减; 当 时 在 上单调递减, 高二数学试题 第5页(共6页) 学科网(北京)股份有限公司在 上单调递增,在 上单调递减; 当 时 在 上单调递增,在 上单调递减. (2)(ⅰ)由(1)可知 . …………10分 (ⅱ)由(1) 在 上单调递减, 在 上单调递增,在 上单调递减, 所以 在 处取得极大值,在 处取得极小值, …………12分 又 ,所以 ,则 , 又 , 又 , 所以 在 上没有零点, …………14分 又 ,则 ,则 , , 则 , …………15分 所以 , …………16分 所以 在 上存在一个零点, 综上可得函数 有且只有一个零点. …………17分 高二数学试题 第6页(共6页) 学科网(北京)股份有限公司