文档
办公文件
生活文档
学习资料
当前位置:
首页
>
文档
>山东省菏泽市(一中系列)2025-2026学年高二上学期期中考试数学试题(A)(图片版,含答案)_251217山东省菏泽市2025-2026学年高二上学期期中联考
山东省菏泽市(一中系列)2025-2026学年高二上学期期中考试数学试题(A)(图片版,含答案)_251217山东省菏泽市2025-2026学年高二上学期期中联考
2026-03-27 08:51:12
2026-02-18 14:59:28
文档预览
文档信息
文档格式
pdf
文档大小
1.270 MB
文档页数
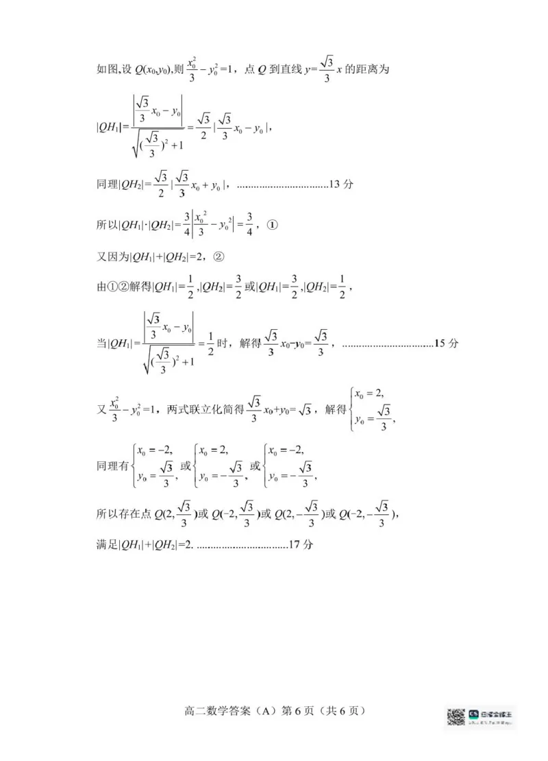
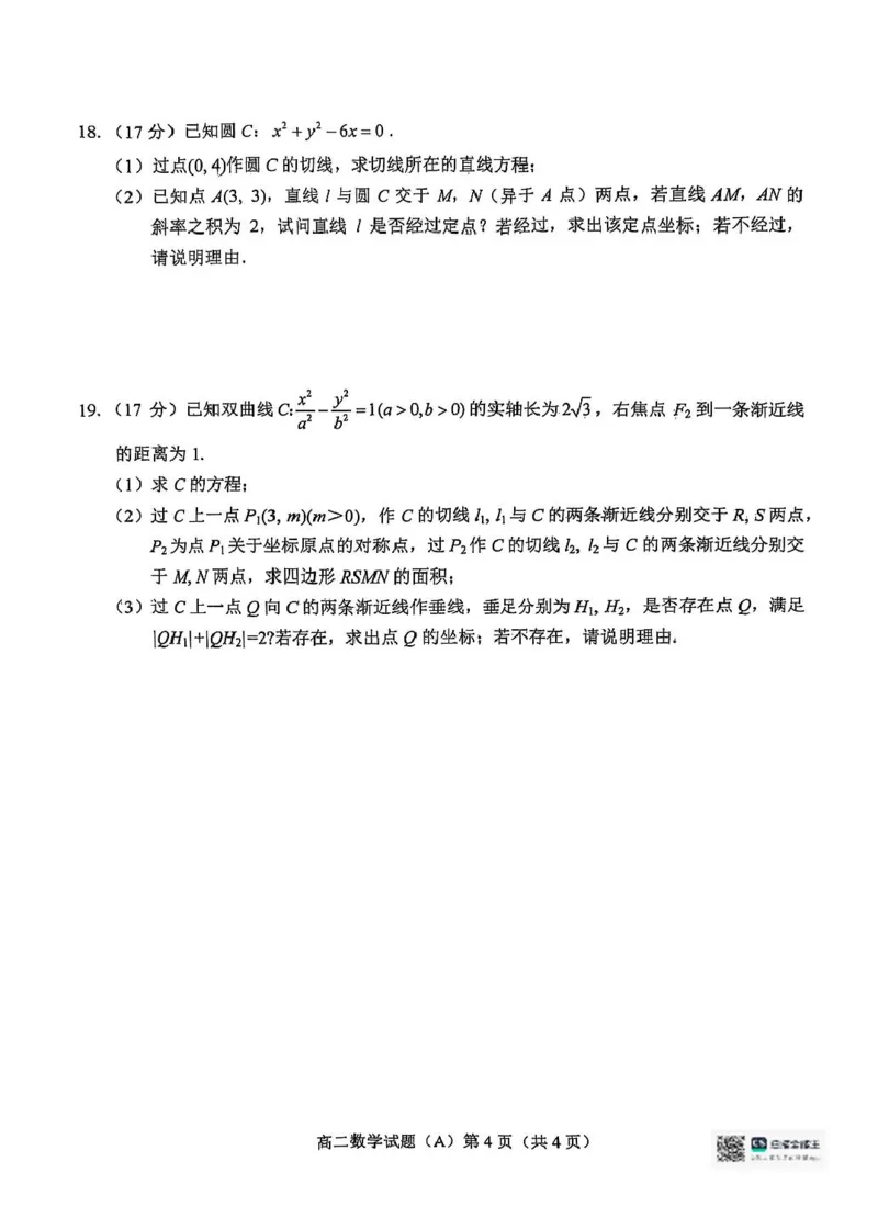
10 页
上传时间
2026-02-18 14:59:28
下载文档
本文档来自网络内容,如有侵犯您的权益请联系我们删除,联系邮箱:wyl860211@qq.com。
上一篇
常德市一中2025届高三第一次月水平检测地理参考答案_2024-2025高三(6-6月题库)_2024年10月试卷_1003湖南省常德市第一中学2024-2025学年高三上学期第一次月考
下一篇
河北省保定市部分高中2024-2025学年高二下学期开学考试政治PDF版含答案_2024-2025高二(7-7月题库)_2025年03月试卷_0318河北省保定市部分高中2024-2025学年高二下学期开学考试
最新文档
专题02告知信+道歉信+慰问信(测试)(解析版)_03高考英语_2025年新高考资料_二轮复习_上好课2025年高考英语二轮复习讲练测(新高考通用)3378522_第七部分写作_应用文写作
2011年高考语文试卷(新课标)(解析卷)_高考历年真题_08-24全国高考真题(无水印)_新·PDF版2008-2024·高考语文真题_版本2:语文(按省份分类)2008-2024_2008-2024·(广西)语文高考真题
2011年高考语文试卷(新课标)(解析卷)_高考历年真题_08-24全国高考真题(无水印)_新·PDF版2008-2024·高考语文真题_版本2:语文(按省份分类)2008-2024_2008-2024·(宁夏)语文高考真题
专题02告知信+道歉信+慰问信(测试)(解析版)_02高考数学_2025年新高考资料_二轮复习_01高考语文等多个文件_上好课2025年高考英语二轮复习讲练测(新高考通用)_第七部分写作
2011年高考语文试卷(新课标)(解析卷)_高考历年真题_08-24全国高考真题(无水印)_新·PDF版2008-2024·高考语文真题_版本2:语文(按省份分类)2008-2024_2008-2024·(吉林)语文高考真题
专题02告知信+道歉信+慰问信(测试)(原卷版)_02高考数学_2025年新高考资料_二轮复习_01高考语文等多个文件_上好课2025年高考英语二轮复习讲练测(新高考通用)_第七部分写作
专题02名词-2024年新高考英语一轮复习练小题刷大题提能力(解析版)_03高考英语_新高考复习资料_2024年新高考资料_一轮复习资料_完2024年新高考英语一轮复习练小题刷大题提能力
2011年高考语文试卷(新课标)(解析卷)_高考历年真题_08-24全国高考真题(无水印)_新·PDF版2008-2024·高考语文真题_版本2:语文(按省份分类)2008-2024
专题02名词-2024年新高考英语一轮复习练小题刷大题提能力(原卷版)_03高考英语_新高考复习资料_2024年新高考资料_一轮复习资料_完2024年新高考英语一轮复习练小题刷大题提能力
专题02古代中国的经济与社会生活(讲义)(解析版)_07高考历史_新高考复习资料_2024年新高考复习资料_二轮复习资料_2024年高考历史二轮复习讲练测(新教材新高考)_配套讲义
热门文档
2011年高考语文试卷(新课标)(解析卷)_高考历年真题_08-24全国高考真题(无水印)_新·PDF版2008-2024·高考语文真题_版本1:语文(按试卷类型分类)2008-2024_全国卷·语文(2008-2024)
2011年高考语文试卷(新课标)(空白卷)_高考历年真题_08-24全国高考真题(无水印)_新·PDF版2008-2024·高考语文真题_版本2:语文(按省份分类)2008-2024_2008-2024·(甘肃)语文高考真题
专题02古代中国的经济与社会生活(讲义)(解析版)_07高考历史_2024年新高考资料_2.2024二轮复习_2024年高考历史二轮复习讲练测(新教材新高考)
2011年高考语文试卷(新课标)(空白卷)_高考历年真题_08-24全国高考真题(无水印)_新·PDF版2008-2024·高考语文真题_版本2:语文(按省份分类)2008-2024_2008-2024·(海南)语文高考真题
2011年高考语文试卷(新课标)(空白卷)_高考历年真题_08-24全国高考真题(无水印)_新·PDF版2008-2024·高考语文真题_版本2:语文(按省份分类)2008-2024_2008-2024·(河南)语文高考真题
2011年高考语文试卷(新课标)(空白卷)_高考历年真题_08-24全国高考真题(无水印)_新·PDF版2008-2024·高考语文真题_版本2:语文(按省份分类)2008-2024_2008-2024·(广西)语文高考真题
2011年高考语文试卷(新课标)(空白卷)_高考历年真题_08-24全国高考真题(无水印)_新·PDF版2008-2024·高考语文真题_版本2:语文(按省份分类)2008-2024_2008-2024·(宁夏)语文高考真题
专题02古代中国的经济与社会生活(讲义)(原卷版)_07高考历史_新高考复习资料_2024年新高考复习资料_二轮复习资料_2024年高考历史二轮复习讲练测(新教材新高考)_配套讲义
2011年高考语文试卷(新课标)(空白卷)_高考历年真题_08-24全国高考真题(无水印)_新·PDF版2008-2024·高考语文真题_版本2:语文(按省份分类)2008-2024_2008-2024·(吉林)语文高考真题
2011年高考语文试卷(新课标)(空白卷)_高考历年真题_08-24全国高考真题(无水印)_新·PDF版2008-2024·高考语文真题_版本2:语文(按省份分类)2008-2024
随机文档
专题02古代中国的经济与社会生活(讲义)(原卷版)_07高考历史_2024年新高考资料_2.2024二轮复习_2024年高考历史二轮复习讲练测(新教材新高考)
2011年高考语文试卷(新课标)(空白卷)_高考历年真题_08-24全国高考真题(无水印)_新·PDF版2008-2024·高考语文真题_版本1:语文(按试卷类型分类)2008-2024_全国卷·语文(2008-2024)
2011年高考语文试卷(广东)(解析卷)_高考历年真题_08-24全国高考真题(无水印)_新·PDF版2008-2024·高考语文真题_版本2:语文(按省份分类)2008-2024_2008-2024·(广东)语文高考真题
专题02古代中国的经济与社会生活(练习)(解析版)_07高考历史_新高考复习资料_2024年新高考复习资料_二轮复习资料_2024年高考历史二轮复习讲练测(新教材新高考)_配套练习
2011年高考语文试卷(广东)(空白卷)_高考历年真题_08-24全国高考真题(无水印)_新·PDF版2008-2024·高考语文真题_版本2:语文(按省份分类)2008-2024_2008-2024·(广东)语文高考真题
2011年高考语文试卷(天津)(解析卷)_高考历年真题_08-24全国高考真题(无水印)_新·PDF版2008-2024·高考语文真题_版本2:语文(按省份分类)2008-2024_2008-2023·(天津)语文高考真题
专题02古代中国的经济与社会生活(练习)(解析版)_07高考历史_2024年新高考资料_2.2024二轮复习_2024年高考历史二轮复习讲练测(新教材新高考)
2011年高考语文试卷(天津)(空白卷)_高考历年真题_08-24全国高考真题(无水印)_新·PDF版2008-2024·高考语文真题_版本2:语文(按省份分类)2008-2024_2008-2023·(天津)语文高考真题
2011年高考语文试卷(大纲版,全国Ⅱ卷)(解析卷)_高考历年真题_08-24全国高考真题(无水印)_新·PDF版2008-2024·高考语文真题_版本2:语文(按省份分类)2008-2024_459
2011年高考语文试卷(大纲版,全国Ⅱ卷)(解析卷)_高考历年真题_08-24全国高考真题(无水印)_新·PDF版2008-2024·高考语文真题_版本2:语文(按省份分类)2008-2024_227