当前位置:首页>文档>2014年高考数学试卷(文)(广东)(解析卷)_历年高考真题合集_数学历年高考真题_新·PDF版2008-2025·高考数学真题_数学(按年份分类)2008-2025_2014·高考数学真题

2014年高考数学试卷(文)(广东)(解析卷)_历年高考真题合集_数学历年高考真题_新·PDF版2008-2025·高考数学真题_数学(按年份分类)2008-2025_2014·高考数学真题

  • 2026-03-19 06:34:31 2026-01-26 17:14:36

文档预览

2014年高考数学试卷(文)(广东)(解析卷)_历年高考真题合集_数学历年高考真题_新·PDF版2008-2025·高考数学真题_数学(按年份分类)2008-2025_2014·高考数学真题
2014年高考数学试卷(文)(广东)(解析卷)_历年高考真题合集_数学历年高考真题_新·PDF版2008-2025·高考数学真题_数学(按年份分类)2008-2025_2014·高考数学真题
2014年高考数学试卷(文)(广东)(解析卷)_历年高考真题合集_数学历年高考真题_新·PDF版2008-2025·高考数学真题_数学(按年份分类)2008-2025_2014·高考数学真题
2014年高考数学试卷(文)(广东)(解析卷)_历年高考真题合集_数学历年高考真题_新·PDF版2008-2025·高考数学真题_数学(按年份分类)2008-2025_2014·高考数学真题
2014年高考数学试卷(文)(广东)(解析卷)_历年高考真题合集_数学历年高考真题_新·PDF版2008-2025·高考数学真题_数学(按年份分类)2008-2025_2014·高考数学真题
2014年高考数学试卷(文)(广东)(解析卷)_历年高考真题合集_数学历年高考真题_新·PDF版2008-2025·高考数学真题_数学(按年份分类)2008-2025_2014·高考数学真题
2014年高考数学试卷(文)(广东)(解析卷)_历年高考真题合集_数学历年高考真题_新·PDF版2008-2025·高考数学真题_数学(按年份分类)2008-2025_2014·高考数学真题
2014年高考数学试卷(文)(广东)(解析卷)_历年高考真题合集_数学历年高考真题_新·PDF版2008-2025·高考数学真题_数学(按年份分类)2008-2025_2014·高考数学真题
2014年高考数学试卷(文)(广东)(解析卷)_历年高考真题合集_数学历年高考真题_新·PDF版2008-2025·高考数学真题_数学(按年份分类)2008-2025_2014·高考数学真题
2014年高考数学试卷(文)(广东)(解析卷)_历年高考真题合集_数学历年高考真题_新·PDF版2008-2025·高考数学真题_数学(按年份分类)2008-2025_2014·高考数学真题
2014年高考数学试卷(文)(广东)(解析卷)_历年高考真题合集_数学历年高考真题_新·PDF版2008-2025·高考数学真题_数学(按年份分类)2008-2025_2014·高考数学真题
2014年高考数学试卷(文)(广东)(解析卷)_历年高考真题合集_数学历年高考真题_新·PDF版2008-2025·高考数学真题_数学(按年份分类)2008-2025_2014·高考数学真题

文档信息

文档格式
pdf
文档大小
0.487 MB
文档页数
8 页
上传时间
2026-01-26 17:14:36

文档内容

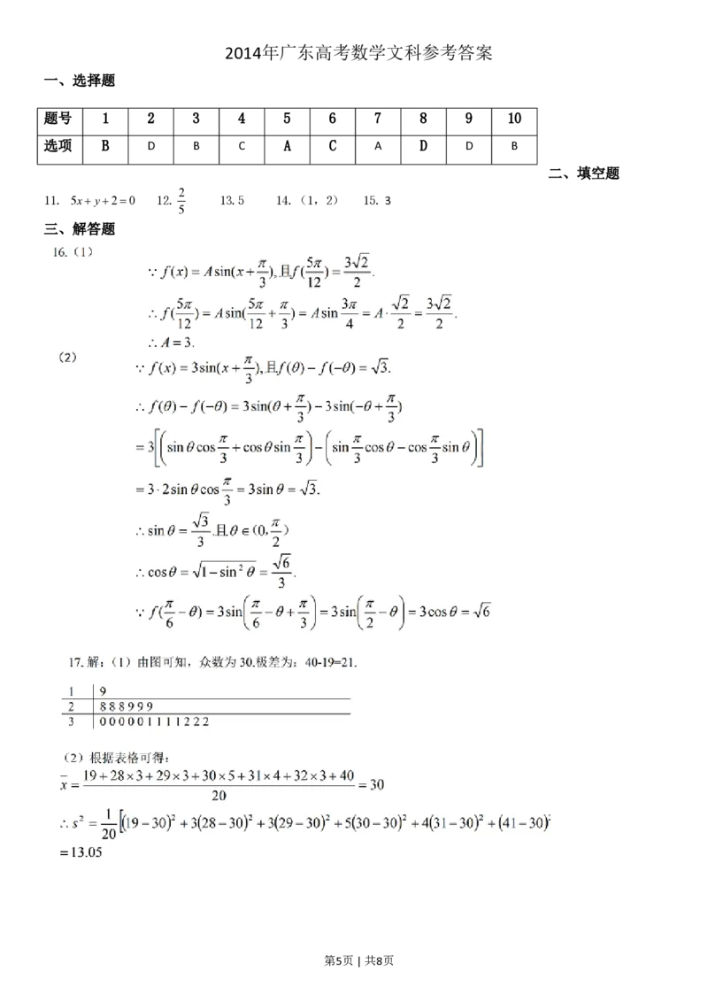
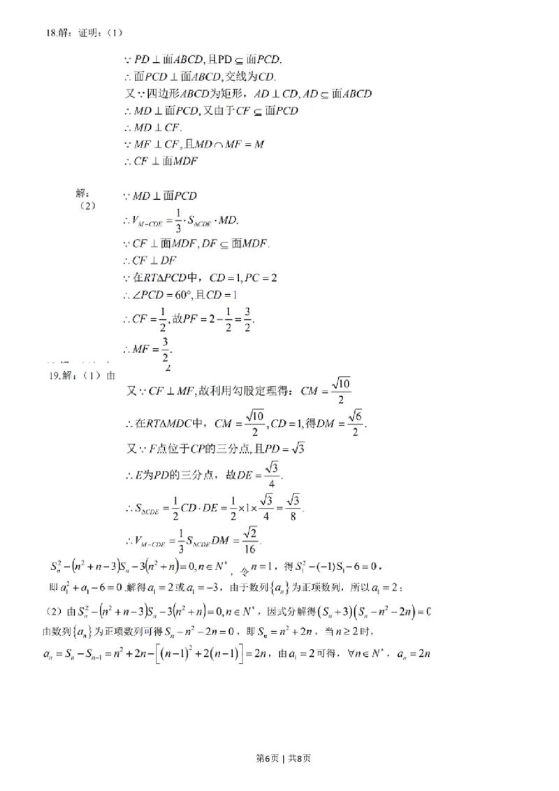
试卷类型:A 2014年普通高等学校招生全国统一考试(广东卷) 数学(文科)试题及答案 本试卷共4页,21题,满分150分。考试用时120分钟。 注意事项: 1.答卷前,考生务必用黑色字迹的钢笔或签字笔将自己的姓名和考生号、试室号、座位号填写在答题卡上。用 2B铅笔将试卷类型(A)填涂在答题卡相应位置上。将条形码横贴在答题卡右上角“条形码粘贴处”。 2.选择题每小题选出答案后,用2B铅笔把答题卡对应题目选项的答案信息点涂黑,如需改动,用橡皮擦干净后 ,再选涂其他答案,答案不能答在试卷上。 3.非选择题必须用黑色字迹钢笔或签字笔作答,答案必须写在答题卡各题目指定区域相应位置上;如需改动, 先划掉原来的答案,然后再写上新的答案;不准使用铅笔盒涂改液。不按以上要求作答的答案无效。 4.作答选做题时,请先用2B铅笔填涂选做题的题号对应的信息点,再作答。漏涂、错涂、多涂的,答案无效。 5.考生必须保持答题卡的整洁。考试结束后,将试卷和答题卡一并交回。 1 参考公式:锥体的体积公式V  Sh,其中S为锥体的底面积,h为锥体的高。 3 一组数据x 1 , x 2 ,…,x n 的方差s2  1 [(x 1 x)2 (x 2 x)2   (x n x)2],其中x表示这组数据的平均数 n 一、选择题:本大题共10小题,每小题5分,满分50分,在每小题给出的四个选项中,只有一项是符合题目要求的 。 1 . 已知集合M {2,3,4},N {0,2,3,5},则M N ( )  A.{0,2} B.{2,3} C.{3,4} D.{3,5} 2 .已知复数z 满足(34i)z  25,则z  ( ) A. 34i B. 3 4i C. 34i D. 3 4i 3. 已知向量a(1,2),b(3,1)则ba( ) A.(-2,1) B.(2,-1) C.(2,0) D.(4,3) x2y8  4.若变量 x , y 满足约束条件 0x4 ,则z  2x y的最大值等于( )  0 y3  A.7 B.8 C.10 D.11 5.下列函数为奇函数的是( ) 1 A.2x  B.x3sinx C.2cosx1 D.x2 2x 2x 6.为了解1000名学生的学习情况,采用系统抽样的方法,从中抽取容量为40的样本,则分段的间隔为( ) A.50 B.40 C.25 D.20 第1页 | 共8页7.在ABC中,角A,B,C所对应的边分别为a,b,c,则“ab”是“sinAsinB”的( ) A.充分必要条件 B.充分非必要条件 C.必要非充分条件 D.非充分非必要条件 x2 y2 x2 y2 8.若实数k满足0b>0)的一个焦点为( 5,0),离心率e= ,且椭圆C上的点到Q(0,2)的距离 a2 b2 3 的最大值为3. (1)求椭圆C的标准方程; (2)若动点P( x ,y )为椭圆C外一点,且点P到椭圆C的两条切线相互垂直,求点P的轨迹方程。 0 0 21.(本小题满分14分) 1 已知函数 f(x) x3 x2 ax1(aR) 3 (1) 求函数 f(x)的单调区间; 1 1 1 (2) 当a<0时,试讨论是否存在x 0 (0, 2 ) U ( 2 ,1),学科网使得 f(x 0 ) f( 2 ) 第4页 | 共8页2014年广东高考数学文科参考答案 一、选择题 题号 1 2 3 4 5 6 7 8 9 10 选项 B D B C A C A D D B 二、填空题 2 11. 5xy20 12. 13.5 14.(1,2) 15. 3 5 三、解答题 第5页 | 共8页第6页 | 共8页第7页 | 共8页第8页 | 共8页