当前位置:首页>文档>2014年高考数学试卷(文)(广东)(解析卷)_历年高考真题合集_数学历年高考真题_新·Word版2008-2025·高考数学真题_数学(按年份分类)2008-2025_2014·高考数学真题

2014年高考数学试卷(文)(广东)(解析卷)_历年高考真题合集_数学历年高考真题_新·Word版2008-2025·高考数学真题_数学(按年份分类)2008-2025_2014·高考数学真题

  • 2026-03-22 07:52:55 2026-01-26 17:15:18

文档预览

2014年高考数学试卷(文)(广东)(解析卷)_历年高考真题合集_数学历年高考真题_新·Word版2008-2025·高考数学真题_数学(按年份分类)2008-2025_2014·高考数学真题
2014年高考数学试卷(文)(广东)(解析卷)_历年高考真题合集_数学历年高考真题_新·Word版2008-2025·高考数学真题_数学(按年份分类)2008-2025_2014·高考数学真题
2014年高考数学试卷(文)(广东)(解析卷)_历年高考真题合集_数学历年高考真题_新·Word版2008-2025·高考数学真题_数学(按年份分类)2008-2025_2014·高考数学真题
2014年高考数学试卷(文)(广东)(解析卷)_历年高考真题合集_数学历年高考真题_新·Word版2008-2025·高考数学真题_数学(按年份分类)2008-2025_2014·高考数学真题
2014年高考数学试卷(文)(广东)(解析卷)_历年高考真题合集_数学历年高考真题_新·Word版2008-2025·高考数学真题_数学(按年份分类)2008-2025_2014·高考数学真题
2014年高考数学试卷(文)(广东)(解析卷)_历年高考真题合集_数学历年高考真题_新·Word版2008-2025·高考数学真题_数学(按年份分类)2008-2025_2014·高考数学真题
2014年高考数学试卷(文)(广东)(解析卷)_历年高考真题合集_数学历年高考真题_新·Word版2008-2025·高考数学真题_数学(按年份分类)2008-2025_2014·高考数学真题
2014年高考数学试卷(文)(广东)(解析卷)_历年高考真题合集_数学历年高考真题_新·Word版2008-2025·高考数学真题_数学(按年份分类)2008-2025_2014·高考数学真题
2014年高考数学试卷(文)(广东)(解析卷)_历年高考真题合集_数学历年高考真题_新·Word版2008-2025·高考数学真题_数学(按年份分类)2008-2025_2014·高考数学真题
2014年高考数学试卷(文)(广东)(解析卷)_历年高考真题合集_数学历年高考真题_新·Word版2008-2025·高考数学真题_数学(按年份分类)2008-2025_2014·高考数学真题
2014年高考数学试卷(文)(广东)(解析卷)_历年高考真题合集_数学历年高考真题_新·Word版2008-2025·高考数学真题_数学(按年份分类)2008-2025_2014·高考数学真题
2014年高考数学试卷(文)(广东)(解析卷)_历年高考真题合集_数学历年高考真题_新·Word版2008-2025·高考数学真题_数学(按年份分类)2008-2025_2014·高考数学真题

文档信息

文档格式
doc
文档大小
0.539 MB
文档页数
8 页
上传时间
2026-01-26 17:15:18

文档内容

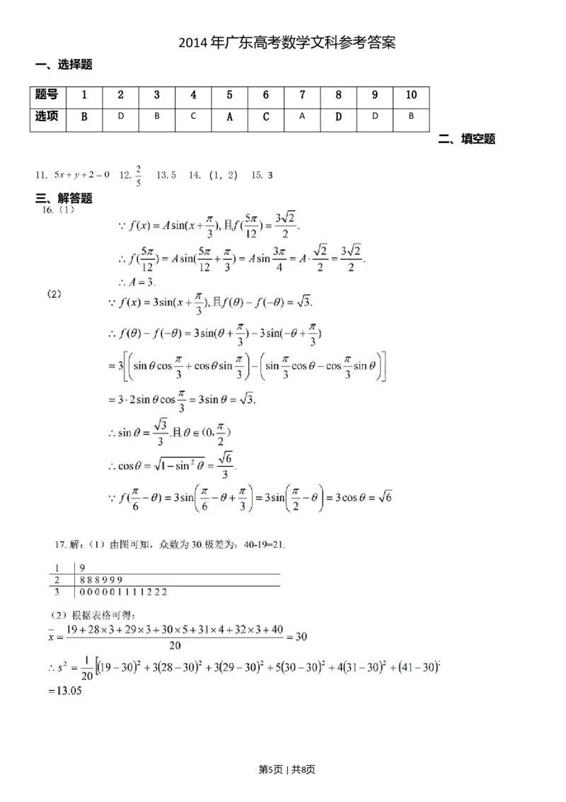
试卷类型:A 2014 年普通高等学校招生全国统一考试(广东卷) 数学(文科)试题及答案 本试卷共4页,21题,满分150分。考试用时120分钟。 注意事项: 1.答卷前,考生务必用黑色字迹的钢笔或签字笔将自己的姓名和考生号、试室号、座位号填写在答题卡上。用 2B铅笔将试卷类型(A)填涂在答题卡相应位置上。将条形码横贴在答题卡右上角“条形码粘贴处”。 2.选择题每小题选出答案后,用2B铅笔把答题卡对应题目选项的答案信息点涂黑,如需改动,用橡皮擦干净后, 再选涂其他答案,答案不能答在试卷上。 3.非选择题必须用黑色字迹钢笔或签字笔作答,答案必须写在答题卡各题目指定区域相应位置上;如需改动, 先划掉原来的答案,然后再写上新的答案;不准使用铅笔盒涂改液。不按以上要求作答的答案无效。 4.作答选做题时,请先用2B铅笔填涂选做题的题号对应的信息点,再作答。漏涂、错涂、多涂的,答案无效。 5.考生必须保持答题卡的整洁。考试结束后,将试卷和答题卡一并交回。 参考公式:锥体的体积公式 ,其中 为锥体的底面积, 为锥体的高。 一组数据 , ,…, 的方差 ,其中 表示这组数据的平均数 一、选择题:本大题共10小题,每小题5分,满分50分,在每小题给出的四个选项中,只有一项是符合题目要求 的。 1 . 已知集合 {2,3,4}, {0,2,3,5},则 ( ) A.{0,2} B.{2,3} C.{3,4} D.{3,5} 2 .已知复数 满足 ,则 ( ) A. B. C. D. 3. 已知向量 (1,2), (3,1)则 ( ) A.(-2,1) B.(2,-1) C.(2,0) D.(4,3) 4.若变量 , 满足约束条件 ,则 的最大值等于( ) A.7 B.8 C.10 D.11 5.下列函数为奇函数的是( ) 1 A.2x  B.x3sinx C.2cosx1 D.x2 2x 2x 6.为了解1000名学生的学习情况,采用系统抽样的方法,从中抽取容量为40的样本,则分段的间隔为( ) A.50 B.40 C.25 D.20 7.在 中,角A,B,C所对应的边分别为 则“ ”是“ ”的( ) ABC a,b,c, ab sinAsinB 第1页 | 共8页A.充分必要条件 B.充分非必要条件 C.必要非充分条件 D.非充分非必要条件 8.若实数 满足 ,则曲线 x2 y2 与曲线 x2 y2 的( ) k 0k 5  1  1 16 5k 16k 5 A.实半轴长相等 B.虚半轴长相等 C.离心率相等 D.焦距相等 9.若空间中四条两两不同的直线 ,满足 则下列结论一定正确的是( ) l ,l ,l ,l l l ,l ∥l ,l l , 1 2 3 4 1 2 2 3 3 4 A. B. C. 与 既不垂直也不平行 D. 与 的位置关系不确定 l l l∥l l l l l 1 4 1 4 1 4 1 4 10.对任意复数 定义 其中 是 的共轭复数,对任意复数 有如下四个命题: w,w ,  ,   z ,z ,z 1 2 1 2 1 2 2 2 1 2 3 ① ② ; (z z )z (z z )(z z ); z (z z )(z z )(z z ) 1 2 3 1 3 2 3 1 2 3 1 2 1 3 ③ ④ ; (z z )z  z (z z ); z z  z z 1 2 3 1 2 3 1 2 2 1 则真命题的个数是( ) A.1 B.2 C.3 D.4 二、填空题:本大题共5小题,考生作答4小题,每小题5分,满分20分。 (一)必做题(11-13题) 11.曲线 在点(0,-2)处的切线方程为 . 12.从字母 中任取两个不同字母,则取字母 的概率为________. a,b,c,d,e a 13.等比数列a 的各项均为正数,且 aa 4 ,则 log a +log a +log a +log a +log a = ________. n 1 5 2 1 2 2 2 3 2 4 2 5 (二)选做题(14 - 15题,考生只能从中选做一题) 14,(坐标系与参数方程选做题)在极坐标系中,曲线C 和C 的方程分别为 和 ,以极 1 2 点为平面直角坐标系的原点,极轴为 轴的正半轴,建立直角坐标系,则曲线C 与C 交点的直角坐标为_____ __。 1 2 15.(几何证明选讲选做题)如图1,在平行四边形 中,点 在 上, D C 且 , 与 交于点 ,则 _____________。 F 三.解答题。本大题共6小题,满分80分。解答需写出文字说明、证明过程 A E B 图1 和演算步骤。 16.(本小题满分12分) 已知函数 , ,且 。 (1)求 的值; (2)若 , (0, ),求 。 17. (本小题满分13分) 某车间20名工人年龄数据如下表: 第2页 | 共8页年龄(岁) 工人数(人) 19 1 28 3 29 3 30 5 31 4 32 3 40 1 合计 20 (1)求这20名工人年龄的众数与极差; (1)以十位数为茎,个位数为叶,作出这20名工人年龄的茎叶图; (2)求这20名工人年龄的方差. 学科网 18.(本小题满分13分) 如图2,四边形ABCD为矩形,PD⊥平面ABCD,AB=1,BC=PC=2,作如图3折叠,折痕EF∥DC.其中点E,F分别在线段 PD,PC上,沿EF折叠后点P在线段AD上的点记为M,并且MF⊥CF. (1)证明:CF⊥平面MDF (1)求三棱锥M-CDE的体积. A B A B M E D C F D C 图2 图3 P P 19. (本小题满分14分) 设各项均为正数的数列 a 的前 n 项和为 S ,且 S 满足 S2   n2 n3  S 3  n2 n  0,nN. n n n n n (1)求 的值; a 1 第3页 | 共8页(2)求数列 的通项公式; a n 1 1 1 1 (3)证明:对一切正整数 n ,有    . a a 1 a a 1 a a 1 3 1 1 2 2 n n 20.(本小题满分14分) 已知椭圆C: x2 y2 的一个焦点为( ,0),离心率e= ,且椭圆C上的点到Q(0,2)的距离  1(ab0) a2 b2 的最大值为3. (1)求椭圆C的标准方程; (2)若动点 , )为椭圆C外一点,且点 到椭圆C的两条切线相互垂直,求点 的轨迹方程。 21.(本小题满分14分) 1 已知函数 f(x) x3x2 ax1(aR) 3 (1) 求函数 的单调区间; f(x) 1 1 1 (2) 当a0时,试讨论是否存在x (0, )( ,1),学科网使得 f(x ) f( ) 0 2 2 0 2 第4页 | 共8页2014 年广东高考数学文科参考答案 一、选择题 题号 1 2 3 4 5 6 7 8 9 10 选项 B D B C A C A D D B 二、填空题 11. 12. 13.5 14.(1,2) 15. 3 三、解答题 第5页 | 共8页第6页 | 共8页第7页 | 共8页第8页 | 共8页