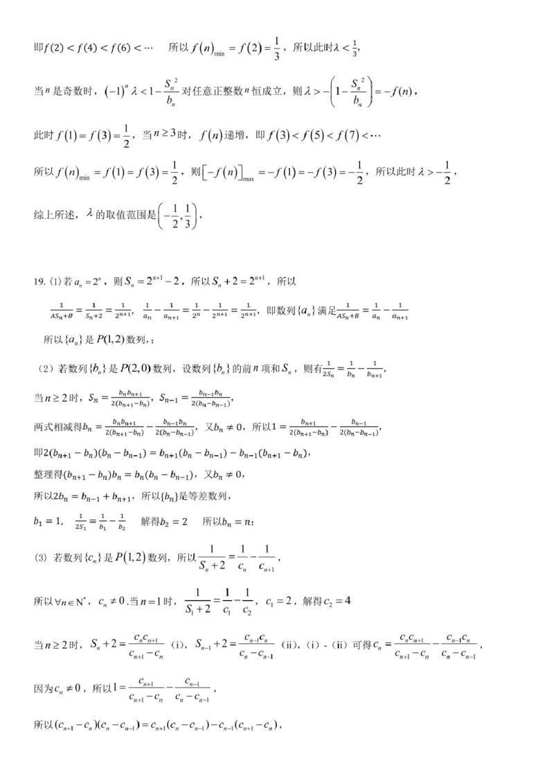
当前位置:首页>文档>黑龙江省哈尔滨师范大学附属中学2024-2025学年高二下学期4月考试数学试题(图片版,含答案)_2024-2025高二(7-7月题库)_2025年04月试卷(1)

黑龙江省哈尔滨师范大学附属中学2024-2025学年高二下学期4月考试数学试题(图片版,含答案)_2024-2025高二(7-7月题库)_2025年04月试卷(1)

  • 2026-03-22 00:36:45 2026-02-19 13:13:44

文档预览

黑龙江省哈尔滨师范大学附属中学2024-2025学年高二下学期4月考试数学试题(图片版,含答案)_2024-2025高二(7-7月题库)_2025年04月试卷(1)
黑龙江省哈尔滨师范大学附属中学2024-2025学年高二下学期4月考试数学试题(图片版,含答案)_2024-2025高二(7-7月题库)_2025年04月试卷(1)
黑龙江省哈尔滨师范大学附属中学2024-2025学年高二下学期4月考试数学试题(图片版,含答案)_2024-2025高二(7-7月题库)_2025年04月试卷(1)
黑龙江省哈尔滨师范大学附属中学2024-2025学年高二下学期4月考试数学试题(图片版,含答案)_2024-2025高二(7-7月题库)_2025年04月试卷(1)
黑龙江省哈尔滨师范大学附属中学2024-2025学年高二下学期4月考试数学试题(图片版,含答案)_2024-2025高二(7-7月题库)_2025年04月试卷(1)
黑龙江省哈尔滨师范大学附属中学2024-2025学年高二下学期4月考试数学试题(图片版,含答案)_2024-2025高二(7-7月题库)_2025年04月试卷(1)
黑龙江省哈尔滨师范大学附属中学2024-2025学年高二下学期4月考试数学试题(图片版,含答案)_2024-2025高二(7-7月题库)_2025年04月试卷(1)
黑龙江省哈尔滨师范大学附属中学2024-2025学年高二下学期4月考试数学试题(图片版,含答案)_2024-2025高二(7-7月题库)_2025年04月试卷(1)
黑龙江省哈尔滨师范大学附属中学2024-2025学年高二下学期4月考试数学试题(图片版,含答案)_2024-2025高二(7-7月题库)_2025年04月试卷(1)
黑龙江省哈尔滨师范大学附属中学2024-2025学年高二下学期4月考试数学试题(图片版,含答案)_2024-2025高二(7-7月题库)_2025年04月试卷(1)

文档信息

文档格式
pdf
文档大小
1.284 MB
文档页数
10 页
上传时间
2026-02-19 13:13:44