当前位置:首页>文档>精品第6单元第1课时折线统计图(练习及解析)西师大版-五年级数学下册(喜子的商铺)_小学1-6年级全部试卷_数学_五年级_3-10-4、小学五年级数学下册_苏教版_课时练

精品第6单元第1课时折线统计图(练习及解析)西师大版-五年级数学下册(喜子的商铺)_小学1-6年级全部试卷_数学_五年级_3-10-4、小学五年级数学下册_苏教版_课时练

  • 2026-04-01 08:50:33 2026-02-21 00:19:14

文档预览

精品第6单元第1课时折线统计图(练习及解析)西师大版-五年级数学下册(喜子的商铺)_小学1-6年级全部试卷_数学_五年级_3-10-4、小学五年级数学下册_苏教版_课时练
精品第6单元第1课时折线统计图(练习及解析)西师大版-五年级数学下册(喜子的商铺)_小学1-6年级全部试卷_数学_五年级_3-10-4、小学五年级数学下册_苏教版_课时练
精品第6单元第1课时折线统计图(练习及解析)西师大版-五年级数学下册(喜子的商铺)_小学1-6年级全部试卷_数学_五年级_3-10-4、小学五年级数学下册_苏教版_课时练
精品第6单元第1课时折线统计图(练习及解析)西师大版-五年级数学下册(喜子的商铺)_小学1-6年级全部试卷_数学_五年级_3-10-4、小学五年级数学下册_苏教版_课时练

文档信息

文档格式
doc
文档大小
0.190 MB
文档页数
4 页
上传时间
2026-02-21 00:19:14

文档内容

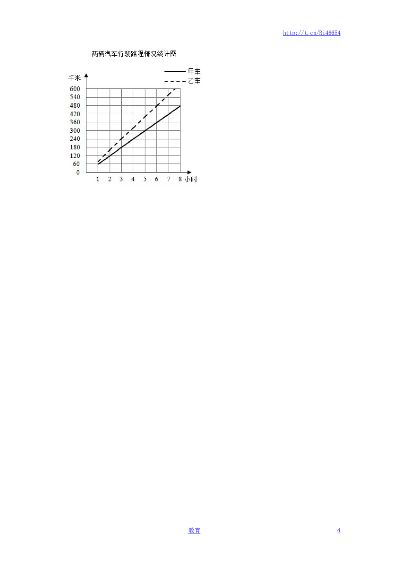
http://t.cn/Ri466E4 【精品】第 6 单元第 1 课时 折线统计图 (练习及解析)西师大版(秋)-五年级数学下册 一、填空。 1. 我们学过的统计图有( )和( )。 【解析】:我们学过的统计图有条形统计图和折线统计图,根据此填空即可。 【答案】:故答案为:条形统计图;折线统计图 2. 条形统计图的特点是( ),折线统计图的特点是( ) 【解析】:条形统计图可以清楚的看出数量的多少,折线统计图可以清楚的看出数据的增减变化趋 势,根据此填空即可。 【答案】:故答案为:可以清楚地看出数量的多少;可以清楚地看出数据的增减变化趋势。 3. 根据图中信息回答问题: (1)售出图书最多的一天比最少的一天多( )册; (2)周四比周三少售出( )册。 【解析】:根据统计图可以得知,售出图书最多的是990册,最少的是390册,用990-390=600 册。用周三售书的数量减去周四售书的数量,即可求出。即:522-400=122册。 【答案】:故答案为:600;122 4. 下面是一辆汽车与一列火车的行程图表,根据图示回答问题。 教育 1http://t.cn/Ri466E4 (1)汽车的速度是每分钟( )千米; (2)火车停站时间是( )分钟; 绿色圃中小学教育网http://www.Lspjy.com 绿色圃中学资源网http://cz.Lspjy.com (3)火车停站后时速比汽车每分钟快( )千米; (4)汽车比火车早到( )分钟。 【解析】:解答时仔细观察折线统计图,分析得到问题的答案。第(1)题根据统计图可知:汽 车出发的时刻是7:55,行驶到15千米时对应时刻是8:20,所以用路程(15千米)除以时间 (25分钟)即可;第(2)题从图中可知火车在8:00到8:10之间停站,也就是停站时间是10分 钟;第(3)题可先求出火车停站后的时速,再减去汽车的时速即可;第(4)题,由图中得出信 息可知汽车到达时刻为8:20,火车到达时刻为8:25,汽车比火车早到5分钟。 【答案】:故答案为: (1) ;(2)10;(3) ;(4)5 二、选择。 1.如果要比较两个城市一周气温变化的情况,采用( )比较合适。 A.复式条形统计图 B.单式折线统计图 C.复式折线统计图 【解析】:题目是比较两个城市一周的气温变化情况,因此要采用复式折线统计图。根据此选 择即可。 【答案】:C 2.证券公司要统计两只股票上个月走势变化情况,应选用( ) 。 A.单式条形统计图 B.单式折线统计图 C.复式折线统计图 D. 复式条形统计图 【解析】:折线统计图可以清楚的看出数量的增减变化,因此比较股票的走势变化情况要采用 折线统计图,而题目是统计两只股票的走势情况,因此要选择复式折线统计图,根据此选择。 【答案】:C 3.以下不是复式折线统计图的特点( )。 A.清楚 B.简单 C.直观 【解析】:复式折线统计图的特点是清楚、直观的描述数据的增减变化趋势,根据此选择。 【答案】:B 三、判断 1.折线统计图可以清楚地看出数据变化的趋势。( )。 【解析】:条形统计图可以清楚的看出数量的多少,折线统计图可以清楚的看出数据的增减变 化趋势,因此本题正确。 【答案】:√ 2. 要表示甲、乙同学几次数学成绩的对比变化情况,最好用复式折线统计图。( ) 【解析】:成绩的变化是增减的变化,因此选择折线统计图,而题目比较的是两个同学的成绩变化 教育 2http://t.cn/Ri466E4 情况,因此选择复式折线统计图比较好。因此本题正确。 【答案】:√ 四、列方程解决实际问题。 1. 两辆汽车行驶时间与路程的关系如下表,观察其中的规律,填下表。 根据上表的数据,在下图中绘制复式折线统计图。 【解析】:两车的速度不变,因此先求出行驶3小时,6小时和8小时的路程,然后按照描点和 连线的方法,画出折线统计图即可。 【答案】:甲的速度:60÷1=60(千米/小时) 3小时行驶的路程:60×3=180(千米) 6小时行驶的路程:60×6=360(千米) 8小时行驶的路程:60×8=480(千米) 乙的速度:80÷1=80(千米/小时) 3小时行驶的路程:80×3=240(千米) 6小时行驶的路程:80×6=480(千米) 8小时行驶的路程:80×8=640(千米) 时间(小时) 1 2 3 4 5 6 7 8 甲车路程(千米) 60 120 180 240 300 360 420 480 乙车路程(千米) 80 160 240 320 400 480 560 640 教育 3http://t.cn/Ri466E4 教育 4