当前位置:首页>文档>2023年高考物理一轮复习(全国版)第9章实验10 测定电源的电动势和内阻_4.2025物理总复习_赠品通用版(老高考)复习资料_一轮复习_2023年高考物理一轮复习讲义+课件(全国版)

2023年高考物理一轮复习(全国版)第9章实验10 测定电源的电动势和内阻_4.2025物理总复习_赠品通用版(老高考)复习资料_一轮复习_2023年高考物理一轮复习讲义+课件(全国版)

  • 2026-04-03 09:05:30 2026-03-09 14:22:02

文档预览

2023年高考物理一轮复习(全国版)第9章实验10 测定电源的电动势和内阻_4.2025物理总复习_赠品通用版(老高考)复习资料_一轮复习_2023年高考物理一轮复习讲义+课件(全国版)
2023年高考物理一轮复习(全国版)第9章实验10 测定电源的电动势和内阻_4.2025物理总复习_赠品通用版(老高考)复习资料_一轮复习_2023年高考物理一轮复习讲义+课件(全国版)
2023年高考物理一轮复习(全国版)第9章实验10 测定电源的电动势和内阻_4.2025物理总复习_赠品通用版(老高考)复习资料_一轮复习_2023年高考物理一轮复习讲义+课件(全国版)
2023年高考物理一轮复习(全国版)第9章实验10 测定电源的电动势和内阻_4.2025物理总复习_赠品通用版(老高考)复习资料_一轮复习_2023年高考物理一轮复习讲义+课件(全国版)
2023年高考物理一轮复习(全国版)第9章实验10 测定电源的电动势和内阻_4.2025物理总复习_赠品通用版(老高考)复习资料_一轮复习_2023年高考物理一轮复习讲义+课件(全国版)
2023年高考物理一轮复习(全国版)第9章实验10 测定电源的电动势和内阻_4.2025物理总复习_赠品通用版(老高考)复习资料_一轮复习_2023年高考物理一轮复习讲义+课件(全国版)
2023年高考物理一轮复习(全国版)第9章实验10 测定电源的电动势和内阻_4.2025物理总复习_赠品通用版(老高考)复习资料_一轮复习_2023年高考物理一轮复习讲义+课件(全国版)
2023年高考物理一轮复习(全国版)第9章实验10 测定电源的电动势和内阻_4.2025物理总复习_赠品通用版(老高考)复习资料_一轮复习_2023年高考物理一轮复习讲义+课件(全国版)
2023年高考物理一轮复习(全国版)第9章实验10 测定电源的电动势和内阻_4.2025物理总复习_赠品通用版(老高考)复习资料_一轮复习_2023年高考物理一轮复习讲义+课件(全国版)
2023年高考物理一轮复习(全国版)第9章实验10 测定电源的电动势和内阻_4.2025物理总复习_赠品通用版(老高考)复习资料_一轮复习_2023年高考物理一轮复习讲义+课件(全国版)
2023年高考物理一轮复习(全国版)第9章实验10 测定电源的电动势和内阻_4.2025物理总复习_赠品通用版(老高考)复习资料_一轮复习_2023年高考物理一轮复习讲义+课件(全国版)
2023年高考物理一轮复习(全国版)第9章实验10 测定电源的电动势和内阻_4.2025物理总复习_赠品通用版(老高考)复习资料_一轮复习_2023年高考物理一轮复习讲义+课件(全国版)
2023年高考物理一轮复习(全国版)第9章实验10 测定电源的电动势和内阻_4.2025物理总复习_赠品通用版(老高考)复习资料_一轮复习_2023年高考物理一轮复习讲义+课件(全国版)
2023年高考物理一轮复习(全国版)第9章实验10 测定电源的电动势和内阻_4.2025物理总复习_赠品通用版(老高考)复习资料_一轮复习_2023年高考物理一轮复习讲义+课件(全国版)
2023年高考物理一轮复习(全国版)第9章实验10 测定电源的电动势和内阻_4.2025物理总复习_赠品通用版(老高考)复习资料_一轮复习_2023年高考物理一轮复习讲义+课件(全国版)

文档信息

文档格式
docx
文档大小
1.930 MB
文档页数
15 页
上传时间
2026-03-09 14:22:02

文档内容

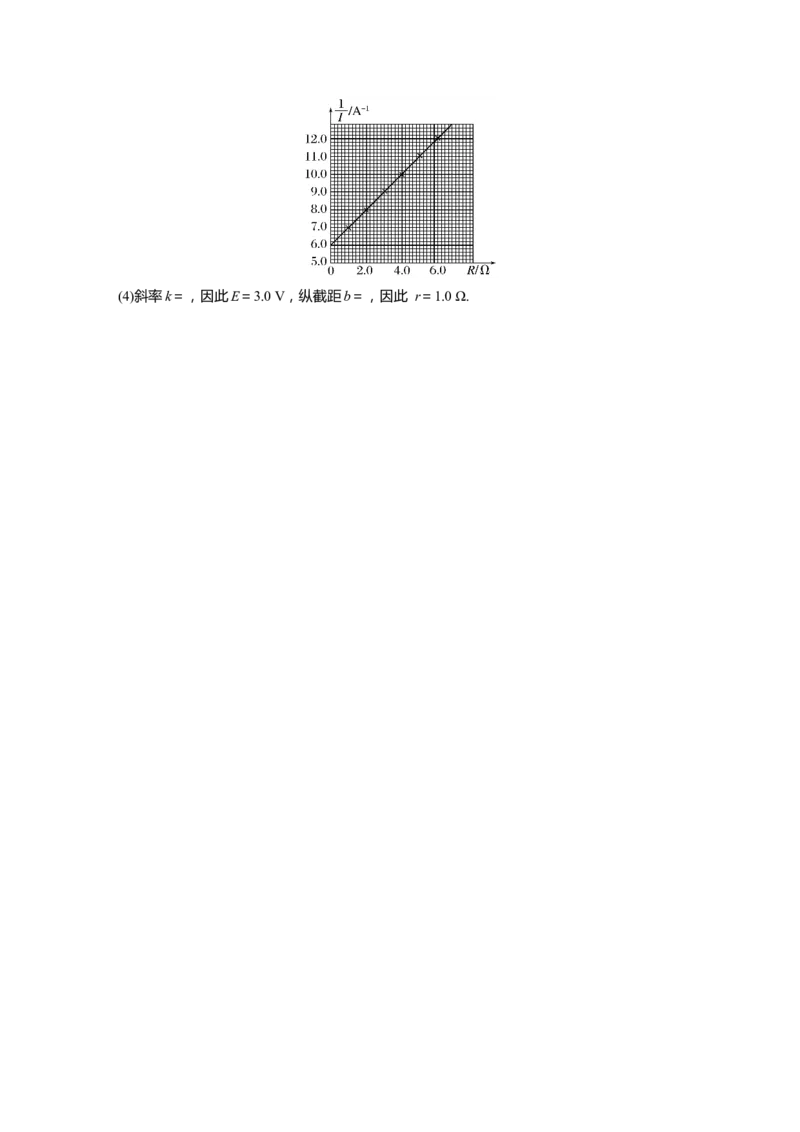
实验十 测定电源的电动势和内阻 目标要求 1.理解测定电源电动势和内阻的实验原理——闭合电路欧姆定律.2.掌握用电流 表和电压表测定电源的电动势和内阻的方法.3.掌握实物图连接的技巧.4.会用图象处理实验数 据. 考点一 伏安法测电源的电动势和内阻 1.实验原理 闭合电路欧姆定律. 2.实验器材 干电池、电压表、电流表、滑动变阻器、开关、导线、坐标纸和刻度尺. 3.实验步骤 (1)电流表用0.6 A的量程,电压表用3 V的量程,按图连接好电路. (2)把滑动变阻器的滑片移到接入电路阻值最大的一端. (3)闭合开关,调节滑动变阻器,使电流表有明显示数并记录一组数据(I ,U).用同样的方 1 1 法再测量几组I、U值,填入表格中. (4)断开开关,拆除电路,整理好器材. 4.实验数据处理 (1)列方程组,解出E、r,并多次测量求平均值. (2)用作图法处理数据,如图所示. ①图线与纵轴交点为 电源电动势 E ; ②图线斜率的绝对值为 内阻 r. 5.误差分析(1)偶然误差:主要来源于电压表和电流表的读数以及作U-I图象时描点不准确. (2)系统误差: ①方法a 若采用甲图电路,电压表的分流作用造成误差,电压值越大,电压表的分流越多, 对应的I 与I 的差越大,I =.其中U-I图象如图乙所示. 真 测 V 结论:E r 测 真 测 真. 方法b 等效电源法 如图丙所示,E =E ,r =r+R >r 测 真 测 A 真. (3)电路选择: ①电源内阻一般较小,选图甲电路误差较小. ②当 内阻已知时选图丙电路,此时r=k-R ,没有系统误差. A 6.注意事项 (1)为了使路端电压变化明显,可使用内阻较大的旧电池. (2)电流不要过大,应小于0.5 A,读数要快. (3)要测出不少于6组的(I,U)数据,变化范围要大些. (4)若U-I图线纵轴刻度不从零开始,则图线和横轴的交点不再是短路电流,内阻应根据 r =||确定. 例1 (2020·山东卷·14)实验方案对实验测量的精度有直接的影响,某学习小组对“测量电 源的电动势和内阻”的实验方案进行了探究.实验室提供的器材有: 干电池一节(电动势约1.5 V,内阻小于1 Ω); 电压表V(量程3 V,内阻约3 kΩ);电流表A(量程0.6 A,内阻约1 Ω); 滑动变阻器R(最大阻值为20 Ω); 定值电阻R(阻值2 Ω); 1 定值电阻R(阻值5 Ω); 2 开关一个,导线若干. (1)该小组按照图甲所示的电路进行实验,通过调节滑动变阻器阻值使电流表示数逐渐接近 满偏,记录此过程中电压表和电流表的示数,利用实验数据在U-I坐标纸上描点,如图乙 所示,结果发现电压表示数的变化范围比较小,出现该现象的主要原因是________.(单选, 填正确答案标号) A.电压表分流 B.干电池内阻较小 C.滑动变阻器最大阻值较小 D.电流表内阻较小 (2)针对电压表示数的变化范围比较小的问题,该小组利用实验室提供的器材改进了实验方 案,重新测量得到的数据如下表所示. 序号 1 2 3 4 5 6 7 I/A 0.08 0.14 0.20 0.26 0.32 0.36 0.40 U/V 1.35 1.20 1.05 0.88 0.73 0.71 0.52 请根据实验数据,回答以下问题: ①图丙中已标出后3组数据对应的坐标点,请标出前4组数据对应的坐标点并画出U-I图象. ②根据实验数据可知,所选的定值电阻为________(填“R”或“R”). 1 2 ③用笔画线代替导线,请按照改进后的方案,将图丁所示实物图连接成完整电路.答案 (1)B (2)①见解析图(a) ②R 1 ③见解析图(c) 解析 (1)电压表示数的变化范围小,原因是外电阻的阻值远大于电源内阻,选项B正确. (2)①根据数据描点并连成一条直线,如图(a)所示. ②由图象可知E=1.55 V,U=0时I=0.59 A,故r′=≈2.63 Ω, 由于2 Ωr . Ⅱ Ⅰ 题图甲中由于电流表的分压作用,所测电阻为电源内阻与电流表电阻的和,r >r;题图乙 甲测 中由于电压表的分流作用,所测电阻为电源内阻与电压表电阻的并联值,r 7.5 Ω 因此电阻箱接入电路的电阻值选15.0 Ω. (3)由闭合回路的欧姆定律可得 E=U+(R+r) 化简可得=·R++r (5)由上面公式可得=k=, +r=b=+ 由-R图象计算可得k≈0.034 V-1·Ω 延长图线,得到图线与纵轴的交点为0.85 V-1,则有0.85 V-1=++(V-1) 代入可得E≈1.55 V,r≈1.0 Ω. (6)如果电压表为理想电压表,则有 =++R 则此时E′= 因此误差为×100%=5%. 课时精练 1.小明同学在进行测定一节干电池的电动势和内阻的实验时,为防止电流过大而损坏器材, 电路中加了一个保护电阻R,根据如图所示电路图进行实验时, 0 (1)电流表量程应选择____(填“0.6 A”或“3 A”),保护电阻应选用____(填“A”或 “B”); A.定值电阻(阻值10.0 Ω,额定功率10 W) B.定值电阻(阻值2.0 Ω,额定功率5 W)(2)在一次测量中电压表的指针位置如图(a)所示,则此时电压为________ V; (3)根据实验测得的5组数据画出的U-I图线如图(b)所示,则干电池的电动势 E=______ V,内阻r=_______ Ω.(小数点后保留两位) 答案 (1)0.6 A B (2)1.20(1.19~1.21均可) (3)1.45(1.43~1.47均可) 0.50(0.40~0.60均可) 解析 (1)因一节干电池电动势只有1.5 V,而内阻也只有几欧姆左右,提供的保护电阻最小 为2 Ω,故电路中产生的电流较小,因此电流表量程应选择0.6 A;电流表的最大量程为0.6 A,若选用10欧姆的保护电阻,则电流不超过0.15 A,没过量程的一半,所以选择B较为 合适. (2)电压表应选择3 V量程的测量,故读数为1.20 V. (3)图线与纵轴的交点表示电源电动势,故E=1.45 V;图象的斜率表示R+r,故R+r= Ω 0 0 =2.5 Ω,故r=0.50 Ω. 2.(2021·天津卷·10)随着智能手机的广泛应用,充电宝成为手机及时充电的一种重要选择. 充电宝可以视为与电池一样的直流电源.一充电宝的电动势约为 5 V,内阻很小,最大放电 电流为2 A,某实验小组测定它的电动势和内阻.他们剥开充电宝连接线的外绝缘层,里面 有四根导线,红导线为充电宝的正极,黑导线为充电宝的负极,其余两根导线空置不用,另 有滑动变阻器R用于改变电路中的电流,定值电阻R =3 Ω,两只数字多用电表M、N,两 0 表均为理想电表,并与开关S连成如图所示电路. (1)图中测量电流的电表是________,测量电压的电表是________.(均填写字母“M”或“N”) (2)调节滑动变阻器,测得多组I、U数据,记录如下表,其中只有一个数据记录有误,审视 记录的数据,可以发现表中第________次的记录数据有误.(填测量次数的序号) 次数 1 2 3 4 5 6 7 电流 0.299 0.477 0.684 0.877 1.065 1.281 1.516 I/A 电压 4.970 4.952 4.932 4.942 4.894 4.872 4.848 U/V (3)电路中接入R 可以达到下列哪个效果______.(填选项前的字母) 0 A.使测电流的电表读数变化明显 B.为了更准确地测量充电宝内阻 C.避免使充电宝的放电电流过大 D.减小测量电压的电表分流作用 答案 (1)N M (2)4 (3)C 解析 (1)电表N串联在电路中,测量干路电流,所以N为电流表;电表M一端接在开关上, 另一端接在充电宝的负极,闭合开关后相当于并联在电源两端,所以 M为电压表,测量路 端电压; (2)题中表格中的电流I不断增大,根据闭合电路欧姆定律E=U+Ir可知路端电压U不断减 小,电压表的示数不断减小,所以第4次的记录数据有误; (3)因为充电宝的内阻很小,所以电阻R 串联在电路中,起保护电路的作用,避免使充电宝 0 的放电电流过大损坏电路中的器件.故选C. 3.某兴趣小组为了测量电动车上电池的电动势E(约为36 V)和内阻r(约为10 Ω),需要将一 个量程为15 V的电压表(内阻R 约为10 kΩ)改装成量程为45 V的电压表,然后再测量电池 g 的电动势和内阻.以下是该实验的操作过程. (1)由于不知道该电压表内阻的确切值,该小组将一个最大阻值为 50 kΩ的电位器R (可视为 P可变电阻)与电压表串联后,利用如图甲所示的电路进行改装,请完成③的填空. ①将总阻值较小的滑动变阻器的滑片P移至最右端,同时将电位器的阻值调为零; ②闭合开关S,将滑动变阻器的滑片P调到适当位置,使电压表的示数为9 V; ③保持滑动变阻器滑片P的位置不变,调节电位器,使电压表的示数为________ V; ④不再改变电位器的阻值,保持电压表和电位器串联,撤去其他电路,即可得到量程为 45 V的电压表. (2)该小组利用一个电阻箱R(阻值范围0~999.9 Ω)和改装后的电压表(电压表的表盘没有改变, 读数记为U)连接成如图乙所示的测量电路来测量该电池的电动势和内阻.该小组首先得出 了与的关系式为=________(用E、r和U表示),然后根据测得的电阻值R和电压表的读数 U作出-图象如图丙所示,则该电池的电动势E=______ V、内阻r=________ Ω; (3)不考虑电压表改装时的误差.利用图乙所示电路测得的电动势 E 和内阻r 与真实值E 测 测 真 和r 相比,E ________E ,r ________r (填“大于”“等于”或“小于”). 真 测 真 测 真 答案 (1)3 (2)·- 36 8 (3)小于 小于 解析 (1)由于电压表的内阻不确定,所以不能采用教材提供的方法进行改装.但由于电压 表的量程为15 V,所以要想将电压表改装成量程为45 V的电压表,电位器承担的电压应该 是电压表电压的两倍,由于二者之间是串联关系,所以电位器的阻值应调节为电压表内阻的 两倍,因此,当电压表的示数为9 V时,只需调节电位器,使电压表的示数变为3 V即可; (2)由闭合电路欧姆定律可知3U=E-·r,整理可得=·- 故由图象可得=,= 解得E=36 V,r=8 Ω (3)设电压表和电位器的总阻值为R′,则由闭合电路欧姆定律可得3U=E -(+)·r ,整理 真 真 得=·-(+) 而=·-,故有E <E ,r <r 测 真 测 真. 4.利用如图(a)所示电路,可以测量电源的电动势和内阻,所用的实验器材有: 待测电源,电阻箱R(最大阻值999.9 Ω),电阻R(阻值为3.0 Ω),电阻R(阻值为3.0 Ω),电 0 1 流表 (量程为200 mA,内阻为R =6.0 Ω),开关S. A实验步骤如下: ①将电阻箱阻值调到最大,闭合开关S; ②多次调节电阻箱,记下电流表的示数I和电阻箱相应的阻值R; ③以为纵坐标,R为横坐标,作-R图线(用直线拟合); ④求出直线的斜率k和在纵轴上的截距b. 回答下列问题: (1)分别用E和r表示电源的电动势和内阻,则与R的关系式为________________. (2)实验得到的部分数据如下表所示,其中电阻R=3.0 Ω时,电流表的示数如图(b)所示,读 出数据,完成下表.答:①________,②________. R/Ω 1.0 2.0 3.0 4.0 5.0 6.0 I/A 0.143 0.125 ① 0.100 0.091 0.084 / 6.99 8.00 ② 10.0 11.0 11.9 A-1 (3)在图(c)的坐标纸上描点并作图,根据图线求得斜率k=_____ A-1·Ω-1,截距b=_____ A-1. (4)根据图线求得电源电动势E=________ V,内阻r=________ Ω. 答案 (1)=R+ (2)0.110 9.09 (3)见解析图 1.0(0.96~1.04均可) 6.0(5.9~6.1均可) (4)3.0(2.7~3.3均可) 1.0(0.6~1.4均可) 解析 (1)根据闭合电路欧姆定律有 E=(+I)(R+R+r)+IR , 0 A 代入数据,化简得=R+. (2)电流表每小格表示4 mA,因此电流表读数I=0.110 A,≈9.09 A-1. (3)在坐标纸上描点,画出一条直线,得出斜率k=1.0 A-1·Ω-1,截距b=6.0 A-1.(4)斜率k=,因此E=3.0 V,纵截距b=,因此 r=1.0 Ω.