当前位置:首页>文档>专题10双曲线中的最值问题(解析版)_2.2025数学总复习_2024年新高考资料_3.2024专项复习_2024年新高考数学之圆锥曲线专项重难点突破练(新高考专用)

专题10双曲线中的最值问题(解析版)_2.2025数学总复习_2024年新高考资料_3.2024专项复习_2024年新高考数学之圆锥曲线专项重难点突破练(新高考专用)

  • 2026-03-14 23:26:31 2026-03-13 10:48:48

文档预览

专题10双曲线中的最值问题(解析版)_2.2025数学总复习_2024年新高考资料_3.2024专项复习_2024年新高考数学之圆锥曲线专项重难点突破练(新高考专用)
专题10双曲线中的最值问题(解析版)_2.2025数学总复习_2024年新高考资料_3.2024专项复习_2024年新高考数学之圆锥曲线专项重难点突破练(新高考专用)
专题10双曲线中的最值问题(解析版)_2.2025数学总复习_2024年新高考资料_3.2024专项复习_2024年新高考数学之圆锥曲线专项重难点突破练(新高考专用)
专题10双曲线中的最值问题(解析版)_2.2025数学总复习_2024年新高考资料_3.2024专项复习_2024年新高考数学之圆锥曲线专项重难点突破练(新高考专用)
专题10双曲线中的最值问题(解析版)_2.2025数学总复习_2024年新高考资料_3.2024专项复习_2024年新高考数学之圆锥曲线专项重难点突破练(新高考专用)
专题10双曲线中的最值问题(解析版)_2.2025数学总复习_2024年新高考资料_3.2024专项复习_2024年新高考数学之圆锥曲线专项重难点突破练(新高考专用)
专题10双曲线中的最值问题(解析版)_2.2025数学总复习_2024年新高考资料_3.2024专项复习_2024年新高考数学之圆锥曲线专项重难点突破练(新高考专用)
专题10双曲线中的最值问题(解析版)_2.2025数学总复习_2024年新高考资料_3.2024专项复习_2024年新高考数学之圆锥曲线专项重难点突破练(新高考专用)
专题10双曲线中的最值问题(解析版)_2.2025数学总复习_2024年新高考资料_3.2024专项复习_2024年新高考数学之圆锥曲线专项重难点突破练(新高考专用)
专题10双曲线中的最值问题(解析版)_2.2025数学总复习_2024年新高考资料_3.2024专项复习_2024年新高考数学之圆锥曲线专项重难点突破练(新高考专用)
专题10双曲线中的最值问题(解析版)_2.2025数学总复习_2024年新高考资料_3.2024专项复习_2024年新高考数学之圆锥曲线专项重难点突破练(新高考专用)
专题10双曲线中的最值问题(解析版)_2.2025数学总复习_2024年新高考资料_3.2024专项复习_2024年新高考数学之圆锥曲线专项重难点突破练(新高考专用)
专题10双曲线中的最值问题(解析版)_2.2025数学总复习_2024年新高考资料_3.2024专项复习_2024年新高考数学之圆锥曲线专项重难点突破练(新高考专用)
专题10双曲线中的最值问题(解析版)_2.2025数学总复习_2024年新高考资料_3.2024专项复习_2024年新高考数学之圆锥曲线专项重难点突破练(新高考专用)
专题10双曲线中的最值问题(解析版)_2.2025数学总复习_2024年新高考资料_3.2024专项复习_2024年新高考数学之圆锥曲线专项重难点突破练(新高考专用)
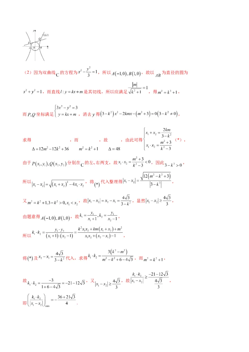
专题10双曲线中的最值问题(解析版)_2.2025数学总复习_2024年新高考资料_3.2024专项复习_2024年新高考数学之圆锥曲线专项重难点突破练(新高考专用)
专题10双曲线中的最值问题(解析版)_2.2025数学总复习_2024年新高考资料_3.2024专项复习_2024年新高考数学之圆锥曲线专项重难点突破练(新高考专用)
专题10双曲线中的最值问题(解析版)_2.2025数学总复习_2024年新高考资料_3.2024专项复习_2024年新高考数学之圆锥曲线专项重难点突破练(新高考专用)
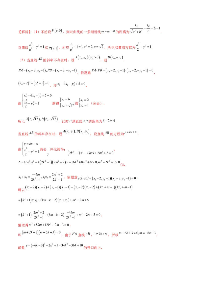
专题10双曲线中的最值问题(解析版)_2.2025数学总复习_2024年新高考资料_3.2024专项复习_2024年新高考数学之圆锥曲线专项重难点突破练(新高考专用)

文档信息

文档格式
docx
文档大小
1.170 MB
文档页数
19 页
上传时间
2026-03-13 10:48:48

文档内容

专题10 双曲线中的最值问题 限时:120分钟 满分:150分 一、单选题:本大题共8小题,每个小题5分,共40分.在每小题给出的选项中,只有一项是符合题目要 求的. 1.已知 , 分别是双曲线 的左、右焦点,动点 在双曲线 的右支上,则 的最小值为( ) A. B. C. D. 【解析】因为动点 在双曲线 的右支上,由双曲线定义可得: , 所以 ,因为 , ,所以 , , 所以 ,将 代入 得: .故选:B. 2.过椭圆 右焦点F的圆与圆 外切,该圆直径 的端点Q的轨迹记为曲 线C,若P为曲线C上的一动点,则 长度最小值为( ) A.0 B. C.1 D.2 【解析】椭圆 , ,所以 . 设以 为直径的圆圆心为 ,如图所示: 因为圆 与圆 外切,所以 ,因为 , ,所以 , 所以 的轨迹为:以 为焦点, 的双曲线的右支. 即 ,曲线 . 所以 为曲线 上的一动点,则 长度最小值为 .故选:C 3.已知双曲线 的左、右焦点分别为 ,点 在 的左支上,过点 作 的一条渐近线 的垂线,垂足为 ,则 的最小值为( ) A. B. C. D. 【解析】由题意得 ,故 , 如图所示: 到渐近线 的距离 , 则 ,当且仅当 , , 三点共线时取等号, ∴ 的最小值为 .故选:D 4.已知点A在双曲线C: (b>0)上,且双曲线C的上、下焦点分别为F 1 ,F 2 ,点B在∠F 1 AF 2 的平分线上,BF⊥AB,若点D在直线l: ,则|BD|的最小值为( ) 2 A. B. C. D.【解析】作出图形如图所示, 设A为双曲线C下支上的一点,延长FB与AF 交于点M,连接OB, 2 1 由BF⊥AB,且∠FAB=∠FAB,可得 , 2 1 2 故 ,故 ,则点B落在圆 上, 因为点O到直线l: 的距离为 ,故 的最小值为 ,故选:D 5.已知双曲线 的右焦点为F, ,直线MF与y轴交于点N,点P为双曲线上一动点, 且 ,直线MP与以MN为直径的圆交于点M、Q,则 的最大值为( ) A.48 B.49 C.50 D.42 【解析】由双曲线方程知:右焦点 , 在双曲线上, 直线 方程为 ,令 ,解得: , ; 以 为直径的圆的圆心为 ,且 .连接 , 在以 为直径的圆上, , , ; 为双曲线上一点,且 , , ;故选:A6.已知直线 与双曲线 相交于 两点, 为坐标原点,若 ,则 的最小值为 ( ) A.20 B.22 C.24 D.25 【解析】依题意得直线 与 的斜率都存在且不为0, 不妨设直线 的方程为 ,则直线 的方程为 . 设 , ,联立,得 ,则 , , , 同理可得 , , 所以 即 ,当且仅当 时等号成立.故选:C 7.双曲线 右焦点为 ,离心率为 , ,以 为圆心, 长为半 径的圆与双曲线有公共点,则 最小值为( ) A. B. C. D. 【解析】由题意,右焦点 ,又 ,则 , , 以 为圆心, 为半径的圆的方程为 , 联立方程组 ,得 , 由圆与双曲线有公共点,所以 ,即 ,结合 , 化简为 , 由方程 两根为: , , 所以不等式的解为 ,或 ,由已知,得 所以 ,当 时,取得最小值 .故选:A 8.设双曲线 : 的离心率为 ,过 左焦点 作倾斜角为 的直线 依次交 的左 右两支于 , ,则有 .若 , 为 的中点,则直线 斜率的最小值是 ( ) A. B. C. D. 【解析】因为 ,所以 ,又 , 所以 ,则 ,所以 , 设 , ,则 , , 所以 ,即 , 所以 ,即 , 所以 ,当且仅当 ,即 时取等号,即直线 斜率的最小值是 . 故选:C 二、多选题:本大题共4小题,每个小题5分,共20分.在每小题给出的选项中,只有一项或者多项是符 合题目要求的. 9.已知双曲线C的方程为 ,则下列说法正确的是( ) A.双曲线C的渐近线方程为 B.双曲线C的实轴长为8 C.双曲线C的焦点到渐近线的距离为3 D.双曲线C上的点到焦点的距离的最小值为 【解析】由双曲线C的方程为 ,得: , , 对于A:双曲线C的渐近线方程为 ,故A正确; 对于B:双曲线C的实轴长为 ,故B正确; 对于C:取焦点 ,则焦点 到渐近线 的距离 ,故C正确; 对于D:双曲线C上的点到焦点距离的最小值为 ,故D错误; 故选:ABC. 10.已知双曲线 ,过其右焦点 的直线 与双曲线交于两点 , ,则( ) A.若 在双曲线右支上,则 的最短长度为1 B.若 , 同在双曲线右支上,则 的斜率大于C. 的最短长度为6 D.满足 的直线 有4条 【解析】由双曲线 可得 , ,所以 , 对于A:若 在双曲线右支上,则 的最短长度为 ,故选项A正确; 对于B:双曲线的渐近线方程为: ,若 , 同在双曲线右支上,则 的斜率大于 或小 于 ,故选项B不正确; 对于C:当 , 同在双曲线右支上时, 轴时, 最短,将 代入 可得 ,此 时 ,当 , 在双曲线两支上时, 最短为实轴长 ,所以 的最短长度为 ,故选项C 不正确; 对于D:当 , 同在双曲线右支上时, ,当 , 在双曲线两支上时, ,根 据双曲线对称性可知:满足 的直线 有4条,故选项D正确; 故选:AD. 11.已知 为坐标原点,双曲线 ( , )的左、右焦点分别为 , ,离心率为2,过 的直线与双曲线的右支交于 , 两点,且 的最小值为6,则( ) A.该双曲线的方程为 B.若 ,则直线 的斜率为 C. 的最小值为25 D. 面积的最小值为12 【解析】对于A,依题意可知, , ,结合 ,得 , ,所以双曲线的方程为 ,故A正确; 对于B,易知 ,抛物线渐近线的斜率为 ,设 , , 直线 ,由直线 与双曲线的右支交于两点,所以 ,从而 , 联立 ,得 ,则 , , , 若 ,则 ,即 ,解得 ,不满足 ,故B错误; 对于C,由 ,则 , , 所以 因为 ,所以 ,故C正确; 对于D, , 设 ,则 , ,令 ,函数 在 上单调递 减,因此 ,故D正确, 故选:ACD. 12.已知动点 是双曲线 上的点,点 是 的左、右焦点, 是双曲线 的左、右顶点, 下列结论正确的是( )A.双曲线 的离心率为 B.点 在双曲线的左支时, 的最大值为 C.点 到两渐近线的距离之积为定值 D.若 是△ 的面积,则 为定值 【解析】对A:因为双曲线 ,故可得 ,则离心率 ,故A正确; 对B:因为 ,故可得 , 则 ,因为 ,则 , 令 ,故 , ,故当 时, 取得最大值 .故B错误; 对C:设点 ,则 ,又双曲线渐近线为 , 故 到两渐近线的距离之积为 .故C正确; 对D:不妨设点 在 轴上方,则 , 则 , 又 , , 故 ,又 , 故 ;当点 在 轴下方时,同理可得 .故D正确. 故选:ACD.三、填空题:本大题共4小题,每小题5分,共20分.把答案填在答题卡中的横线上. 13.已知双曲线C的方程为 , , ,双曲线C上存在一点P,使得 ,则实数a的最大值为 . 【解析】设点 ,由 得: , 所以 ,化简得: , 即满足条件的 点 在圆 上运动, 又点 存在于 上,故双曲线与圆有交点, 则 ,即实数a的最大值为2, 14.双曲线 : 的左,右顶点分别是 , , 是 上任意一点,直线 , 分别与直线 : 交于 , ,则 的最小值是 . 【解析】由双曲线的对称性可知,只需研究 在右支上时, 取最小值的情况. 由上可得 , ,根据双曲线方程 可得 , 所以设直线 的斜率分别为 ,则 . 的方程为 ,令 ,解得 , 的方程为 ,令 ,解得 , 所以 ,(当且仅当 ,即 , 时等号成立). 故答案为: . 15.已知点 ,若双曲线 的右支上存在两动点 , ,使得 ,则 的最小值为 . 【解析】设 ,则 ,即 . 因为 ,所以 ,则 . 因为 ,所以 ,当且仅当 时等号成立,即 的最小值是 . 16.已知双曲线 ,过双曲线C上任意一点P作两条渐近线的垂线,垂足分别为M,N,则 的最小值为 . 【解析】因为双曲线 ,所以双曲线 的渐近线方程为 , 设 是双曲线上任意一点,则 , 所以 ,则 , 由点线距离公式得 , 两边平方得 , 所以 ,即 的最小值为 . 四、解答题:本大题共6小题,共70分.解答应写出必要的文字说明、证明过程或演算步骤. 17.已知双曲线 的实轴长为 ,离心率为 .动点P是双曲线C上任意一点.(1)求双曲线C的标准方程; (2)已知点 ,求线段 的中点Q的轨迹方程; (3)已知点 ,求 的最小值. 【解析】(1)依题意 , , 又离心率为 ,即 ,则 .所以 , 双曲线C的标准方程 . (2)设动点 ,点 ,由线段 的中点为Q, 则 ,代入双曲线C的方程得 ,所以Q的轨迹方程 . (3)动点P是双曲线C上任意一点,设 ,则 , 则 , ,或 , , 当 时, 取最小值,最小值为 . 18.在平面内,动点M(x,y)与定点F(2,0)的距离和它到定直线 的距离比是常数2. (1)求动点 的轨迹方程; (2)若直线 与动点 的轨迹交于P,Q两点,且 ( 为坐标原点),求 的最小值. 【解析】(1)由已知可得: ,整理化简可得: ,即 ,所以动点 的轨迹方程为: ; (2)由 可设直线OP的方程为 ,直线OQ的方程为 , 由 ,可得 ,所以 ,同理可得 , 又由 且 ,可得 ,所以 , 所以 , 所以 , 当且仅当 时等号成立,所以 的最小值为6. 19.已知双曲线 过点 ,左、右顶点分别是 ,右焦点 到渐近线的距离为 , 动直线 与以 为直径的圆相切,且 与 的左、右两支分别交于 两点. (1)求双曲线C的方程; (2)记直线 的斜率分别为 ,求 的最小值. 【解析】(1)因为点 在双曲线 上,故 ,即 , 而双曲线 的渐近线方程为 , 到一条渐近线的距离为 , 所以 ,解得 ,又 , 所以 ,故所求双曲线 的方程为 ;(2)因为双曲线 的方程为 ,所以 ,故以 为直径的圆为 ,而直线 是其切线,所以应满足 ,得 , 而 坐标满足 ,消去 得 , 求得 ,而 ,故 ,由此可得 (*), 由于 分别在 的左、右两支,故 ,因此 , 所以 ,将 代入整理得 , 又 ,故 ,显然 , 由题意得 ,故 , 所以 , 将 及 代入,求得 ,而 , 故 ,又 ,故 , 即 .20.设双曲线 的左、右焦点分别为 , ,且E的渐近线方程为 . (1)求E的方程; (2)过 作两条相互垂直的直线 和 ,与E的右支分别交于A,C两点和B,D两点,求四边形ABCD面积 的最小值. 【解析】(1)由题意,得 的渐近线方程为 , 因为双曲线 的渐近线方程为 ,所以 ,即 , 又因为 ,所以 ,则 ,故 的方程为 . (2)根据题意,直线 , 的斜率都存在且不为0, 设直线 , ,其中 , 因为 , 均与 的右支有两个交点,所以 , ,所以 , 将 的方程与 联立,可得 , 设 ,则 , , 所以 , 用 替换 ,可得 , 所以 .令 ,所以 , 则 ,当 ,即 时,等号成立, 故四边形 面积的最小值为 . 21.已知双曲线 ,( , )的实轴长为2,且过点 ,其中 为双曲线 的离心率. (1)求 的标准方程; (2)过点 且斜率不为0的直线 与 的左、右两支分别交于点 ,点 在线段 上,且 , 为线段 的中点,记直线 , ( 为坐标原点)的斜率分别为 , ,求 的最小值. 【解析】(1)因为双曲线 的实轴长为2,则 , 由双曲线过点 ,且 ,则 ,即 ,解得 , 故双曲线 的标准方程为 . (2)设直线 , , , 由题意可知 ,联立方程 ,整理得 ,由题意可得 ,解得 或 , 则 , .可得 , , 则 ,所以 . 因为 ,则 ,整理得 , 则 ,即 ,则 . 所以 ,即 . ∴ ,当且仅当 ,即 或 时,等号成立, 此时 或 ,均满足 与 的左、右两支分别相交.∴ 的最小值为6. 22.已知双曲线Γ: 经过点 ,且其中一焦点 到一条渐近线的距离为1. (1)求双曲线Γ的方程; (2)过点P作两条相互垂直的直线PA,PB分别交双曲线Γ于A,B两点,求点P到直线AB距离的最大值.【解析】(1)不妨设 ,到双曲线的一条渐近线 的距离为 . 双曲线 过 ,所以 ,所以双曲线方程为 . (2)当直线 的斜率不存在时,设 ,则 , ,依题意 , ,即 , 由 解得 或 (舍去), 所以 ,此时 到直线 的距离为 . 当直线 的斜率存在时,设 ,设直线 的方程为 . 由 消去 并化简得: , ①, ,依题意 , 所以 , 整理得 , 即 ,由于 直线 , ,所以 , 函数 的开口向上,判别式为 ,故①成立. 所以直线 的方程为 ,即 , 所以 到 的距离 , , 当 时, ;当 时 , 当且仅当 时等号成立.所以 . 综上所述,点 到直线 的距离的最大值为 .