当前位置:首页>文档>专题20解析几何中的范围、最值和探索性问题(练)解析版_2.2025数学总复习_2023年新高考资料_二轮复习_备战2023年高考数学二轮复习考点精讲练(新教材·新高考)

专题20解析几何中的范围、最值和探索性问题(练)解析版_2.2025数学总复习_2023年新高考资料_二轮复习_备战2023年高考数学二轮复习考点精讲练(新教材·新高考)

  • 2026-04-12 20:36:09 2026-03-17 02:07:56

文档预览

专题20解析几何中的范围、最值和探索性问题(练)解析版_2.2025数学总复习_2023年新高考资料_二轮复习_备战2023年高考数学二轮复习考点精讲练(新教材·新高考)
专题20解析几何中的范围、最值和探索性问题(练)解析版_2.2025数学总复习_2023年新高考资料_二轮复习_备战2023年高考数学二轮复习考点精讲练(新教材·新高考)
专题20解析几何中的范围、最值和探索性问题(练)解析版_2.2025数学总复习_2023年新高考资料_二轮复习_备战2023年高考数学二轮复习考点精讲练(新教材·新高考)
专题20解析几何中的范围、最值和探索性问题(练)解析版_2.2025数学总复习_2023年新高考资料_二轮复习_备战2023年高考数学二轮复习考点精讲练(新教材·新高考)
专题20解析几何中的范围、最值和探索性问题(练)解析版_2.2025数学总复习_2023年新高考资料_二轮复习_备战2023年高考数学二轮复习考点精讲练(新教材·新高考)
专题20解析几何中的范围、最值和探索性问题(练)解析版_2.2025数学总复习_2023年新高考资料_二轮复习_备战2023年高考数学二轮复习考点精讲练(新教材·新高考)
专题20解析几何中的范围、最值和探索性问题(练)解析版_2.2025数学总复习_2023年新高考资料_二轮复习_备战2023年高考数学二轮复习考点精讲练(新教材·新高考)
专题20解析几何中的范围、最值和探索性问题(练)解析版_2.2025数学总复习_2023年新高考资料_二轮复习_备战2023年高考数学二轮复习考点精讲练(新教材·新高考)
专题20解析几何中的范围、最值和探索性问题(练)解析版_2.2025数学总复习_2023年新高考资料_二轮复习_备战2023年高考数学二轮复习考点精讲练(新教材·新高考)
专题20解析几何中的范围、最值和探索性问题(练)解析版_2.2025数学总复习_2023年新高考资料_二轮复习_备战2023年高考数学二轮复习考点精讲练(新教材·新高考)
专题20解析几何中的范围、最值和探索性问题(练)解析版_2.2025数学总复习_2023年新高考资料_二轮复习_备战2023年高考数学二轮复习考点精讲练(新教材·新高考)
专题20解析几何中的范围、最值和探索性问题(练)解析版_2.2025数学总复习_2023年新高考资料_二轮复习_备战2023年高考数学二轮复习考点精讲练(新教材·新高考)
专题20解析几何中的范围、最值和探索性问题(练)解析版_2.2025数学总复习_2023年新高考资料_二轮复习_备战2023年高考数学二轮复习考点精讲练(新教材·新高考)
专题20解析几何中的范围、最值和探索性问题(练)解析版_2.2025数学总复习_2023年新高考资料_二轮复习_备战2023年高考数学二轮复习考点精讲练(新教材·新高考)
专题20解析几何中的范围、最值和探索性问题(练)解析版_2.2025数学总复习_2023年新高考资料_二轮复习_备战2023年高考数学二轮复习考点精讲练(新教材·新高考)
专题20解析几何中的范围、最值和探索性问题(练)解析版_2.2025数学总复习_2023年新高考资料_二轮复习_备战2023年高考数学二轮复习考点精讲练(新教材·新高考)
专题20解析几何中的范围、最值和探索性问题(练)解析版_2.2025数学总复习_2023年新高考资料_二轮复习_备战2023年高考数学二轮复习考点精讲练(新教材·新高考)
专题20解析几何中的范围、最值和探索性问题(练)解析版_2.2025数学总复习_2023年新高考资料_二轮复习_备战2023年高考数学二轮复习考点精讲练(新教材·新高考)
专题20解析几何中的范围、最值和探索性问题(练)解析版_2.2025数学总复习_2023年新高考资料_二轮复习_备战2023年高考数学二轮复习考点精讲练(新教材·新高考)
专题20解析几何中的范围、最值和探索性问题(练)解析版_2.2025数学总复习_2023年新高考资料_二轮复习_备战2023年高考数学二轮复习考点精讲练(新教材·新高考)
专题20解析几何中的范围、最值和探索性问题(练)解析版_2.2025数学总复习_2023年新高考资料_二轮复习_备战2023年高考数学二轮复习考点精讲练(新教材·新高考)
专题20解析几何中的范围、最值和探索性问题(练)解析版_2.2025数学总复习_2023年新高考资料_二轮复习_备战2023年高考数学二轮复习考点精讲练(新教材·新高考)
专题20解析几何中的范围、最值和探索性问题(练)解析版_2.2025数学总复习_2023年新高考资料_二轮复习_备战2023年高考数学二轮复习考点精讲练(新教材·新高考)
专题20解析几何中的范围、最值和探索性问题(练)解析版_2.2025数学总复习_2023年新高考资料_二轮复习_备战2023年高考数学二轮复习考点精讲练(新教材·新高考)
专题20解析几何中的范围、最值和探索性问题(练)解析版_2.2025数学总复习_2023年新高考资料_二轮复习_备战2023年高考数学二轮复习考点精讲练(新教材·新高考)
专题20解析几何中的范围、最值和探索性问题(练)解析版_2.2025数学总复习_2023年新高考资料_二轮复习_备战2023年高考数学二轮复习考点精讲练(新教材·新高考)
专题20解析几何中的范围、最值和探索性问题(练)解析版_2.2025数学总复习_2023年新高考资料_二轮复习_备战2023年高考数学二轮复习考点精讲练(新教材·新高考)
专题20解析几何中的范围、最值和探索性问题(练)解析版_2.2025数学总复习_2023年新高考资料_二轮复习_备战2023年高考数学二轮复习考点精讲练(新教材·新高考)
专题20解析几何中的范围、最值和探索性问题(练)解析版_2.2025数学总复习_2023年新高考资料_二轮复习_备战2023年高考数学二轮复习考点精讲练(新教材·新高考)
专题20解析几何中的范围、最值和探索性问题(练)解析版_2.2025数学总复习_2023年新高考资料_二轮复习_备战2023年高考数学二轮复习考点精讲练(新教材·新高考)
专题20解析几何中的范围、最值和探索性问题(练)解析版_2.2025数学总复习_2023年新高考资料_二轮复习_备战2023年高考数学二轮复习考点精讲练(新教材·新高考)
专题20解析几何中的范围、最值和探索性问题(练)解析版_2.2025数学总复习_2023年新高考资料_二轮复习_备战2023年高考数学二轮复习考点精讲练(新教材·新高考)
专题20解析几何中的范围、最值和探索性问题(练)解析版_2.2025数学总复习_2023年新高考资料_二轮复习_备战2023年高考数学二轮复习考点精讲练(新教材·新高考)
专题20解析几何中的范围、最值和探索性问题(练)解析版_2.2025数学总复习_2023年新高考资料_二轮复习_备战2023年高考数学二轮复习考点精讲练(新教材·新高考)
专题20解析几何中的范围、最值和探索性问题(练)解析版_2.2025数学总复习_2023年新高考资料_二轮复习_备战2023年高考数学二轮复习考点精讲练(新教材·新高考)
专题20解析几何中的范围、最值和探索性问题(练)解析版_2.2025数学总复习_2023年新高考资料_二轮复习_备战2023年高考数学二轮复习考点精讲练(新教材·新高考)
专题20解析几何中的范围、最值和探索性问题(练)解析版_2.2025数学总复习_2023年新高考资料_二轮复习_备战2023年高考数学二轮复习考点精讲练(新教材·新高考)
专题20解析几何中的范围、最值和探索性问题(练)解析版_2.2025数学总复习_2023年新高考资料_二轮复习_备战2023年高考数学二轮复习考点精讲练(新教材·新高考)
专题20解析几何中的范围、最值和探索性问题(练)解析版_2.2025数学总复习_2023年新高考资料_二轮复习_备战2023年高考数学二轮复习考点精讲练(新教材·新高考)
专题20解析几何中的范围、最值和探索性问题(练)解析版_2.2025数学总复习_2023年新高考资料_二轮复习_备战2023年高考数学二轮复习考点精讲练(新教材·新高考)
专题20解析几何中的范围、最值和探索性问题(练)解析版_2.2025数学总复习_2023年新高考资料_二轮复习_备战2023年高考数学二轮复习考点精讲练(新教材·新高考)
专题20解析几何中的范围、最值和探索性问题(练)解析版_2.2025数学总复习_2023年新高考资料_二轮复习_备战2023年高考数学二轮复习考点精讲练(新教材·新高考)

文档信息

文档格式
docx
文档大小
2.223 MB
文档页数
42 页
上传时间
2026-03-17 02:07:56

文档内容

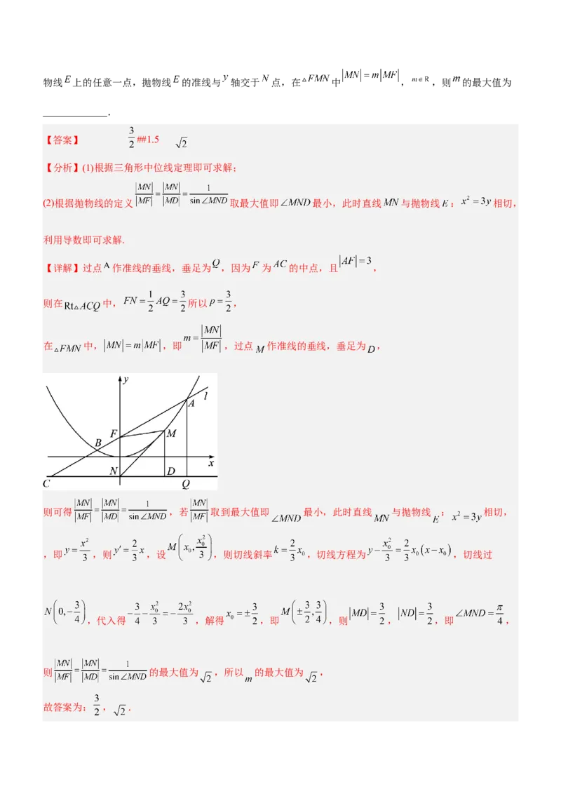
第一篇 热点、难点突破篇 专题20 解析几何中的范围、最值和探索性问题(练) 【对点演练】 一、单选题 1.(2023秋·江苏扬州·高三扬州中学校考阶段练习)在平面直角坐标系xOv中,M为双曲线 右支 上的一个动点,若点M到直线 的距离大于m恒成立,则实数m的最大值为( ) A.1 B. C.2 D.2 【答案】B 【分析】先求出渐近线方程,利用平行线直接的距离公式即可求解. 【详解】由点M到直线 的距离大于m恒成立,可得点M到直线 的最近距离大于m.因 为双曲线的渐近线为 ,则 与 的距离 即为最近距离,则 ,即 . 故选:B 2.(2023·全国·高三专题练习)已知点P在抛物线 上,且 ,则 的最小值为( ). A.2 B. C.3 D.4 【答案】A 【分析】设 ,利用两点间的距离公式结合二次函数的性质求解即可 【详解】设 ,则有 ,又 , 所以 因为 , 所以 ,所以 ,当且仅当 时取等, 所以 的最小值为2, 故选:A 3.(2023秋·河南信阳·高三信阳高中校考期末)已知点 是抛物线 上任意一点,则点 到抛物线 的准线和直线 的距离之和的最小值为( ) A. B.4 C. D.5 【答案】C 【分析】点 到直线 的距离为 ,到准线 的距离为 ,利用抛物线的定义得 ,当 , 和 共线时,点 到直线 和准线 的距离之和的最小,由点到直线 的距离公式求得答案. 【详解】解:由抛物线 知,焦点 , 准线方程为 ,根据题意作图如下; 点 到直线 的距离为 , 点 到 的距离为 ; 由抛物线的定义知: , 所以点 到直线 和准线 的距离之和为 ,且点 到直线 的距离为 , 所以点 到直线 和准线 的距离之和最小值为 . 故选:C. 4.(2022·全国·高三专题练习)已知圆 ,若抛物线 上存在点 ,过点 作 圆 的两条切线,切点 满足 ,则实数 的取值范围是( ) A. B. C. D. 【答案】A 【分析】根据题意可以求出 ,再利用两点间的距离公式表示出 ,整理得到关于 的一个一元二次方 程,利用根的判别式列出关于 的不等式,解不等式即可 【详解】 , 设点 ,则 即 有非负实根解得 故选:A 二、填空题 5.(2023秋·山东枣庄·高三统考期末)已知椭圆 , , 是其左、右焦点, 点 在椭圆上且满足 .若 到直线 的距离为 ,则 的最小值 为______. 【答案】 【分析】由正弦定理可得 ,则 ,令 ,则问题转化为求 的 最小值,即右焦点 到直线 的距离,即可得解. 【详解】解:在 中由正弦定理 ,又 , 所以 , 所以 , 令 ,要求 的最小值,即求 的最小值, 则 ,当且仅当 垂直直线 且 在 与 之间时取等号, 所以 .故答案为: . 6.(2022秋·安徽·高三校联考开学考试)已知抛物线 的焦点为 ,圆 ,过 的 直线 与 交于 两点,与 交于 两点,且 在同一象限,则 的最小值为_____. 【答案】12 【分析】设直线 ,联立抛物线方程可得到 ,利用焦半径公式化简 ,结合基本 不等式,即可求得答案. 【详解】抛物线 的焦点为 以 为圆心以3为半径, 由题意可知直线l不与y轴垂直,设直线 ,联立 , 得 , . 设 ,则 , ∴ , 当且仅当 时,等号成立, 即 的最小值为12, 故答案为:12 7.(2022·湖南·模拟预测)已知 ,点P满足 ,动点M,N满足 , , 则 的最小值是____________. 【答案】3 【分析】以 的中点O为坐标原点, 的中垂线为y轴,建立如图所示的直角坐标系,由双曲线定义得点P的轨迹是以 , 为焦点,实轴长为6的双曲线的左支,然后根据双曲线的性质,数量积的运算律求解. 【详解】以 的中点O为坐标原点, 的中垂线为y轴,建立如图所示的直角坐标系,则 ,由双 曲线定义可知,点P的轨迹是以 , 为焦点,实轴长为6的双曲线的左支,即点P的轨迹方程为 . ,由 , 可得 . 因为 的最小值为 ,所以 的最小值是3. 故答案为:3. 三、解答题 8.(2023·四川成都·统考一模)已知椭圆 的左,右焦点分别为 ,上顶点为 ,且 为等边三角形.经过焦点 的直线 与椭圆 相交于 两点, 的周长为8. (1)求椭圆 的方程; (2)求 的面积的最大值及此时直线 的方程. 【答案】(1) ;(2)最大值3,此时直线 的方程为 . 【分析】(1)由 为等边三角形,得到 ,由椭圆定义得到 的周长为 ,求出 , 进而求出 ,得到椭圆方程; (2)推理出直线 斜率不为0,设出直线 ,联立椭圆方程,求出两根之和,两 根之积,表达出 的面积 ,换元后结合基本不等式求出最大值及此时直线 的方程. 【详解】(1)由 为等边三角形, , , 故 , , 的周长为 ,得 . , 椭圆 的方程为 ; (2)由(1)知 ,且直线 斜率不为0. 设直线 . 由 消去 ,得 , 显然 , , 由 面积 ,而 , 设 ,则 . 在 上单调递增, 当 时, . 即当 时, 取得最大值3,此时直线 的方程为 . 9.(2023·陕西渭南·统考一模)“工艺折纸”是一种把纸张折成各种不同形状物品的艺术活动,在我国源远 流长.某些折纸活动蕴含丰富的数学内容,例如:用一张圆形纸片,按如下步骤折纸(如图) 步骤1:设圆心是E,在圆内异于圆心处取一点,标记为F ; 步骤2:把纸片折叠,使圆周正好通过点F ; 步骤3:把纸片展开,并留下一道折痕; 步骤4:不停重复步骤2和3,就能得到越来越多的折痕. 已知这些折痕所围成的图形是一个椭圆.若取半径为6的圆形纸片,设定点F 到圆心E的距离为4,按上述方法 折纸. (1)以点F 、E所在的直线为x轴,建立适当的坐标系,求折痕围成的椭圆的标准方程; Q1,0 y l C M N x Tt,0 (2)若过点 且不与 轴垂直的直线 与椭圆 交于 , 两点,在 轴的正半轴上是否存在定点 , 使得直线TM ,TN斜率之积为定值?若存在,求出该定点和定值;若不存在,请说明理由. x2 y2  1 【答案】(1) 9 510 (2)存在点 T3,0,使得直线 TM 与 TN 斜率之积为定值 9 . a,b,c 【分析】(1)根据椭圆的定义对照折纸的方法求出 ; (2)设直线l的方程,与椭圆方程联立,再根据斜率的定义求解即可. 【详解】(1)如图,以FE所在的直线为x轴,FE的中点O为原点建立平面直角坐标系 Mx,y MF  ME  AE 6 EF 4 设 为椭圆上一点,由题意可知, , 所以M 点轨迹是以F ,E为焦点,长轴长2a6 的椭圆, 因为2c4,2a6,所以c2,a3, x2 y2 则 ,所以椭圆的标准方程为  1; b2 =a2-c2 =5 9 5 (2) l Q1,0 l xmy1 由已知:直线 过 ,设 的方程为 ,由题意m必定是存在的, x2 y2   1  9 5 联立两个方程得 xmy1 ,消去 x 得 5m29  y210my400 , Δ100m2160  5m29  0 mR 得 , 10m 40 设Mx 1 ,y 1 ,Nx 2 ,y 2 ,则y 1 y 2  5m29 ,y 1 y 2  5m29 (*), y y y y k k  1  2  1 2 TM TN x t x t my 1tmy 1t 1 2 1 2y y  1 2 m2y y m1ty y 1t2 , 1 2 1 2 40  将(*)代入上式,可得上式 5  t29  m291t2 , k k 9t2 0 t2 9 要使 TM TN为定值,则有 , , 10 又∵ ,∴ ,此时k k  , t0 t3 TM TN 9 10 ∴存在点 T3,0,使得直线 TM 与 TN 斜率之积为定值 9 ; x2 y2 10  1  综上,椭圆的标准方程为 9 5 ,存在点T3,0 ,使得直线TM 与TN斜率之积为定值 9 . 10.(江西省上饶市六校2023届高三第一次联考数学(理)试题)已知点 在椭圆 上,且长轴长为4. (1)求椭圆C的方程: (2)过点 的直线 与椭圆C相交于 、 两点,点 关于 轴的对称点为 ,直线 与 轴相交于点 .求 的面积的取值范围. 【答案】(1) (2) 【分析】(1)由长轴长为4得 ,再将 代入解方程可得 ; (2)设 ,利用 两点坐标表示出直线 ,解得 利用直线方程和韦达定理化简得 ,又 ,结合函数知识易得面积的取值范围. 【详解】(1)因为长轴长为4,所以 ,将 代入解方程得 , 解得 ,所以椭圆C的方程为 ; (2)易知直线 斜率存在且不为0, 设直线 方程为: 则 ,联立 得: , , 直线 的方程为: ,令 ,得 即 ,则 化简得 令 ,易知 在 上单调递增,则 代回得 ,所以 的面积的取值范围为 . 【冲刺提升】 一、单选题 1.(2022秋·四川成都·高三石室中学校考阶段练习)已知抛物线 : 的焦点为 ,圆 : ,过点 的直线 与抛物线 交于 , 两点,与圆 交于 , 两点,且点 , 在同一 象限,则 的最小值为( ) A.8 B.12 C.16 D.20 【答案】B 【分析】确定抛物线焦点坐标和圆的圆心以及半径,设 , ,联立 ,求得 , 利用抛物线的焦半径公式结合基本不等式即可求得答案. 【详解】由已知 得 .显然,直线 不与 轴垂直. 圆 : 的圆心为 ,半径为3, 设直线 : .联立 ,得 , . 设 , , ,则 ,得 , 所以 , 当且仅当 , 时等号成立,故 的最小值为12, 故选:B 二、多选题 2.(2023·全国·高三专题练习)已知椭圆 : 的左、右焦点为 , ,点 , , 为椭圆 上一动点,过点 的直线 交椭圆于 , 两点,则下列说法正确的有( ) A.若 的垂直平分线过点 ,则 B. 的最小值为 C.若 ,则 的面积的最大值为 D.若 的面积取最大值时的直线 不唯一,则 【答案】BCD 【分析】若 的垂直平分线过点 ,可得 ,利用焦半径公式可求得 点坐标,即可算出 ,可判断A错误;利用椭圆定义和三角形两边之和与差的关系可知当 四点共线时取到最 小值为 ,即B正确;设出直线方程与椭圆方程联立,写出 的面积表达式,再根据基本不等式即 可得出面积最大值,可判断C;若 的面积取最大值时的直线 不唯一,可知 面积取最大值时 的取值不唯一,利用基本不等式可得出 ,进而确定 的取值范围即可判断D. 【详解】由题意可知, ,椭圆离心率 对于A,若 的垂直平分线过点 ,则 , 设 ,由焦半径公式可知, ,可得 , 此时 ,所以A错误;对于B,由 , , 可知, 三点共线,如下图所示: 利用椭圆定义可知, ,即 所以 ,当且仅当 四点共线时等号成立; 所以 , 即 的最小值为 ,所以B正确; 对于C,若 ,则 即为右焦点 , 设直线 的方程为 , 联立 整理得 , 所以 的面积为由于 ,所以 ,当且仅当 时等号成立, 所以 的面积 , 即 的面积的最大值为 ,所以C正确; 对于D,设直线 的方程为 联立直线和椭圆方程整理得 , ,即 此时 的面积为 而 若 的面积取最大值时的直线 不唯一,所以 取最大值时,满足题意得 不 止一个,即 等号成立 当且仅当 时,即 成立 而 , 时,直线唯一不合题意, 所以 ,又 ,所以 ,即D正确. 故选:BCD 【点睛】方法点睛:解决圆锥曲线中三角形面积问题时,首先利用弦长公式或分割三角形写出面积表达式,再合理变形利用基本不等式或导数求得面积最值,利用基本不等式时要注意等号成立的条件,即可将问题得到解 决. 三、填空题 3.(2022·全国·高三专题练习)已知点 为抛物线 的焦点,过 作直线 与抛物线交于 两点, 以 为切点作两条切线交于点 ,则 的面积的最小值为___________. 【答案】4 【分析】设直线 的方程为 ,联立直线 与抛物线方程,得到关于y的一元二次方程,利用根与 系数的关系写出 , ,再利用导数的几何意义求出两条切线的斜率和方程,联立两切线方 程求出 ,利用平面向量的数量积为0判定 ,再利用三角形的面积公式进行求解. 【详解】由题意,得 ,设直线 的方程为 , , ,且 , 联立 ,得 , 则 , ,且 , 当 时,由 ,得 , , 即在点 处的切线斜率为 , 方程为 ; 当 时,由 ,得 , , 即在点 处的切线斜率为 ,方程为 ;联立 、 的方程, 解得 ,即 ; 因为 , , 所以 ,所以 , 则 , , 所以 因为 , , (当且仅当 时取等号) 所以 的面积的最小值为4. 故答案为:4. 4.(2023秋·山东德州·高三统考期末)如图所示,已知 、 分别为双曲线 的左、右焦点,过 的直线与双曲线的右支交于 、 两点,则 的取值范围为______;记 的内切圆 的面积为 , 的内切圆 的面积为 ,则 的取值范围是______.【答案】 【分析】分析可知直线 与 轴不重合,设直线 的方程为 ,将直线 的方程与双曲线的方程 联立,利用韦达定理结合已知条件求出 的取值范围,可求得 的取值范围;设圆 切 、 、 分别于点 、 、 ,分析可知直线 的倾斜角取值范围为 ,推导出圆 、圆 的半径 、 满 足 ,求得 ,利用双勾函数的单调性可求得 的取值范围. 【详解】设直线 的倾斜角为 , 在双曲线 中, , ,则 ,故点 , 若直线 与 轴重合,则直线 与双曲线交于该双曲线的两个实轴的端点,不合乎题意, 所以,直线 与 轴不重合,设直线 的方程为 ,设点 、 , 联立 可得 , 由题意可得 ,解得 , 由韦达定理可得 , , ,可得 , ,可得 , 所以, ,且 当 时, ,此时 ,当 时, 轴,此时 , 当 时, ,此时 , 综上, , 不妨设点 在第一象限,则 ; 设圆 切 、 、 分别于点 、 、 , 过 的直线与双曲线的右支交于 、 两点,可知直线 的倾斜角取值范围为 , 由切线长定理可得 , , , 所以, ,则 ,所以点 的横坐标为 . 故点 的横坐标也为 ,同理可知点 的横坐标为 ,故 轴, 故圆 和圆 均与 轴相切于 ,圆 和圆 两圆外切. 在 中, , ,, ,所以, , 所以, ,则 , 所以 , 即 ,则 , 由直线 的倾斜角取值范围为 ,可知 的取值范围为 , 则 , 故 , 则 ,其中 , 令 ,其中 ,则 在 单调递减,在 单调递增. 因为 , ,则当 时, , 故 . 故答案为: ; . 5.(2022秋·湖南株洲·高三校联考阶段练习)已知抛物线E: 的焦点为F,过点F的直线l与 抛物线交于A,B两点,与准线交于C点, 为 的中点,且 ,则 _____________;设点 是抛物线 上的任意一点,抛物线 的准线与 轴交于 点,在 中 , ,则 的最大值为 _____________. 【答案】 ##1.5 【分析】(1)根据三角形中位线定理即可求解; (2)根据抛物线的定义 取最大值即 最小,此时直线 与抛物线 : 相切, 利用导数即可求解. 【详解】过点 作准线的垂线,垂足为 ,因为 为 的中点,且 , 则在 中, 所以 , 在 中, ,即 ,过点 作准线的垂线,垂足为 , 则可得 ,若 取到最大值即 最小,此时直线 与抛物线 : 相切, ,即 ,则 ,设 ,则切线斜率 ,切线方程为 ,切线过 ,代入得 ,解得 ,即 ,则 , ,即 , 则 的最大值为 ,所以 的最大值为 , 故答案为: , .四、解答题 4.(2023·贵州·校联考一模)已知椭圆C: x2  y2 1(a0,b0)过点    1, 2 6  ,且离心率为 2 . a2 b2   2 (1)求椭圆C的方程; l: ymx2 MPMQ MPMQ (2)已知直线 与椭圆交于不同的两点P,Q,那么在x轴上是否存在点M,使 且 , 若存在,求出该直线的方程;若不存在,请说明理由. x2 y2  1 【答案】(1) 4 2 (2)详见解析 a,b,c 【分析】(1)根据条件得到关于 的方程组,即可求得椭圆方程;  4m 2  N ,  (2)首先直线与椭圆方程联立,利用韦达定理表示线段PQ中点坐标 12m2 12m2,再根据MN PQ, MPMQ m,n 以及 ,转化为坐标表示,代入韦达定理后,即可求  1 3  1  a2 2b2  c 2   【详解】(1)由条件可知, a 2 ,解得: , , a2 b2c2   a2 4 b2 c2 2 x2 y2  1 所以椭圆C的方程是 4 2 ; x Mn,0 MPMQ MPMQ (2)假设在 轴上存在点 ,使 且 , ymx2  x2 y2 联立  1,设 Px y  , Qx ,y  ,  4 2 1 1 2 2  12m2 x28mx40 方程整理为 ,2 2 64m216  12m2 0,解得:m 或m , 2 2 8m 4 x x 4m x x  ,xx  , 1 2  1 2 12m2 1 2 12m2 2 12m2 4m 4m2 2 则线段 的中点的横坐标是x ,中点纵坐标y 2 , PQ 12m2 12m2 12m2  4m 2  即中点坐标 N 12m2 , 12m2  , Mn,0 , 2 12m2 1  则 ,即 4m m ,化简为 ,① n MN PQ 12m2 2m2n2mn0   MPMQ0 又 , x nx ny y 0 x nx nmx 2mx 20 则 1 2 1 2 , 1 2 1 2 ,  m21  xx 2mnx x n240 整理为 1 2 1 2 , 4 8m  m21   2mn n240, 12m2 12m2 n2 12m2 4m28mn80 化简为 ② 由①得  2m21  n2m ,即  2m21  n2 2mn ,代入②得2mn4m28mn80,整理得 2m 2m ③,又由①得n ,代入③得2m23m 40,即 2m23mn40 2m21 2m21 2m2 2m21  3m2m4  2m21  0 ,整理得m4 1,即m1. 2 2 当 时,n ,当 时,n ,满足 , m1 3 m1 3 0 M   2 ,0   M   2 ,0   所以存在定点  3 ,此时直线l方程是yx2,当定点 3 ,此时直线l方程是yx2. x2 y2 2 Γ:  1(ab0) 5.(2023·福建·统考一模)已知椭圆 a2 b2 的离心率为 2 ,其左焦点为F(2,0). 1(1)求Γ的方程; (2)如图,过 Γ 的上顶点 P 作动圆 F 1的切线分别交 Γ 于 M,N 两点,是否存在圆 F 1使得 PMN 是以 PN 为斜边的 F 直角三角形?若存在,求出圆 1的半径;若不存在,请说明理由. x2 y2   1 【答案】(1) 8 4 (2)不存在,理由见解析 F F O 【分析】(1)根据待定系数法求椭圆标准方程即可;(2)假设存在圆 1满足题意,当圆 1过原点 时,直 线 PN 与 y 轴重合,直线 PM 的斜率为0,不合题意;不妨设为 PM : yk 1 x2k 1 0 , PN : 2k 2 1 r yk 2 x2k 2 0,Mx 1 ,y 1 ,Nx 2 ,y 2 ,圆F 1 的半径为 r ,得圆心到直线 PN 的距离为 1k 1 2 ,得  8k 24k2  8k 2k24 1 M 1 , 1  N 1 , 1  k  k 1 k 2 1,联立直线 PM 与椭圆方程得 12k 1 2 12k 1 2 ,进而得 2k 1 2 2k 1 2 ,由 MN k 1 得   k21  1 1  k k ,即可解决. 1 1 【详解】(1)由题意设焦距为2c,则c2, 2 由离心率为 2 ,所以a2 2, 则b2 a2c2 4,x2 y2 的方程为   1. Γ 8 4 (2)不存在, F F O PN y 证明如下:假设存在圆 1满足题意,当圆 1过原点 时,直线 与 轴重合, 直线PM 的斜率为0,不合题意. yk x2k 0 依题意不妨设为 PM : 1 1 , PN : yk 2 x2k 2 0 , Mx 1 ,y 1  , Nx 2 ,y 2  ,圆 F 1的半径为 r , 2k 2 1 r 则圆心到直线 PN 的距离为 1k2 , 1 即 k 1 ,k 2是关于k的方程  r24  k28kr240 的两异根, kk 1 此时 1 2 , yk x2  1 x2 y2 再联立直线 与椭圆方程  1得 12k2 x28k x0 , PM  8 4 1 1 8k 8k 24k2 x x  1 x  1 y  1 所以 P M 12k2 ,即 M 12k2 ,得 M 12k2 1 1 1  8k 24k2  8k 24k2  M 1 , 1  N 2 , 2  所以 12k2 12k2  ,同理 12k2 12k2  1 1 2 2 1  8k 2k24 k  N 1 , 1  由 2 k ,得 2k2 2k2 , 1 1 1 1 k  由题意,PM MN,即 MN k ,此时 1 24k2 2k24 12k 1 2  2 1 k2  2k21  k22    k22  2k21  k MN  1   8 2 k k 1 1 2  2   8k k 1 1 2  1 4k 1  2k 1 1 21  4k 1 1  k 1 22  1  4  k 4  k k 1 4 2   4 1     k k 1 21  , 1 1 1 1 1  k21  1 1  所以 k k , 1 1 k 0 因为 1 , 所以方程无解,命题得证. C y2 2pxp0 P0,4 l C 6.(2023·全国·高三专题练习)已知抛物线 : 的焦点为F,过点 的直线 与 相交 于A,B两点.当直线l经过点F 时,点A恰好为线段PF的中点. (1)求C的方程;   TATB (2)是否存在定点T,使得 为常数?若存在,求出点T的坐标及该常数﹔若不存在,说明理由. y2 4 2x 【答案】(1) ;   T 2 2,8   (2)存在, ,TATB72. 【分析】(1)根据中点坐标公式求出A点的坐标,代入抛物线方程即可得出 p 的值; Tm,n Ax,y  Bx ,y  ky24 2y16 2 0 (2)假设存在 ,设 1 1 , 2 2 .联立直线与抛物线的方程,得到 ,根据韦 4 2 16 2   164 2m 8m16 24 2n y y  y y  TATB  m2n2 达定理求出 1 2 k , 1 2 k .进而整理得到 k2 k ,解  164 2m0 m2 2   ,得出 ,即可得出定点坐标以及常数的值. 8m16 24 2n0 n8  p   p  【详解】(1)解:因为 F  2 ,0 , P0,4 ,且点A恰好为线段PF中点,所以 A  4 ,2 , p 又因为A在C上,所以 22 2p 4 ,即 p2 8 , p2 2 y2 4 2x 解得 ,所以C的方程为 .   T 2 2,8   (2)解:存在定点 ,使得TATB72.  TATB 假设存在定点T,使得 为常数. Tm,n l 设 ,由题意可知直线 斜率存在. 设直线 l 的斜率为 k ,则 l 的方程为 ykx4 ,设 Ax 1 ,y 1  , Bx 2 ,y 2  . y2 4 2x  联立直线 l 的方程以及抛物线的方程 ykx4 ,可得 ky24 2y16 2 0 . 2   4 2 2 4k  16 2  32  2k1  0 k  ,所以 2 且k 0. 4 2 16 2 y y  y y  由韦达定理可得 1 2 k , 1 2 k . y2 2y2 y 2 2y 2 x  1  1 x  2  2 又 1 4 2 8 , 2 4 2 8 , uur uur TAx m,y n TBx m,y n 1 1 , 2 2 .   TATBx mx my ny n 所以 1 2 1 2  2  2   y2m y2my ny n  8 1  8 2  1 2    1 2  y2y2 m  y2y2 m2y y ny y n2 32 1 2 8 1 2 1 2 1 2 1 2  y2y2 my y 22y y m2y y ny y n2 32 1 2 8  1 2 1 2 1 2 1 2 1  16 2 2 2 4 2 2  16 2 16 2 4 2     m  2 m2 n n2       32  k  8   k   k   k k 16 2 32 32 2 16 2 4 2n   m  m2  n2 k2 8  k2 k  k k   164 2m 8m16 24 2n   m2n2 k2 k . 164 2m0 m2 2   由 可得, . 8m16 24 2n0 n8   所以存在定点 T 2 2,8 ,使得T  A  T  B  为常数,此时T  A  T  B  m2n2 72. 7.(2023秋·内蒙古包头·高三统考期末)已知点 , ,动点 满足直线 与 的斜率 之积为 ,记 的轨迹为曲线 . (1)求 的方程,并说明 是什么曲线; (2)过坐标原点的直线交C于A,B两点,点A在第一象限, 轴,垂足为 ,连接 并延长交 于点 . (i)证明:直线 与 的斜率之积为定值; (ii)求 面积的最大值. 【答案】(1) 的方程为: , 是一个长轴长为6,短轴长为 且 的椭圆 (2)(i)证明见解析(ii) 【分析】(1)直接利用斜率公式即可求解; (2)(i)设 ,根据坐标之间的联系,设直线 的方程为 ,与 联 立消 ,运用韦达定理求出 的坐标,再利用斜率公式求出 , ,然后代入 化简即可证明; (ii)将点 代入 ,利用基本不等式即可求解. 【详解】(1)依题知, , , , 所以 , 又直线 与 的斜率之积为 , 即 ,整理得: ,因此 是一个长轴长为6,短轴长为 且 的椭圆. (2)(i)如图所示: 设 , , 因为 两点关于原点中心对称,所以 , 因为 轴,垂足为 ,所以 , 所以直线 的斜率 , 设直线 的斜率为 ,则直线 的方程为: , 由 消 整理得: , 因为点 , 是直线 与 的交点, 所以 ,整理得: , 由韦达定理得: , 解得: ,代入 , 解得: ,即 ,所以直线 的斜率 所以 , 所以直线 与 的斜率之积为定值,其值为: . (ii)由(i)知, 因为 在 上, 所以 ,整理得: , 当且仅当 时,等号成立, 所以 面积的最大值为: . 【点睛】(1)解答直线与椭圆的题目时,时常把两个曲线的方程联立,消去x(或y)建立一元二次方程,然后借 助根与系数的关系,并结合题设条件建立有关参变量的等量关系. (2)涉及到直线方程的设法时,务必考虑全面,不要忽略直线斜率为0或不存在等特殊情形.(3)强化有关直 线与椭圆联立得出一元二次方程后的运算能力,重视根与系数之间的关系、弦长、斜率、三角形的面积等问题. 8.(2023秋·湖南长沙·高三湖南师大附中校考阶段练习)已知椭圆 的离心率为 ,且点 在椭圆上. (1)求椭圆的方程; (2)过椭圆右焦点 作两条互相垂直的弦AB与CD,求 的取值范围. 【答案】(1)(2) . 【分析】(1)根据题意,由离心率可得 的关系,再将点的坐标代入即可得到椭圆方程; (2)根据题意,先讨论两条弦中一条斜率为0时,另一条弦的斜率不存在,再讨论两条弦斜率均存在且不为 0,此时设直线 的方程为 ,则直线 的方程为 ,联立椭圆与直线 方程,结合 韦达定理与弦长公式分别表示出弦长 与弦长 ,即可得到结果. 【详解】(1)∵ ,所以 . 设椭圆方程为 ,将 代入,得 . 故椭圆方程为 . (2)①当两条弦中一条斜率为0时,另一条弦的斜率不存在, 易得其中一条弦为长轴 ,另一条弦长为椭圆的通径为 ,即 ; ②当两条弦斜率均存在且不为0时,设 , , 设直线 的方程为 ,则直线 的方程为 , 将直线 的方程代入椭圆方程中,并整理得: , ∴ , , ∴ , 同理, ,∴ , 令 ,则 , ∴ , ∵ ,∴ , ∴ ,∴ , ∴ ,∴ . 综合②可知, 的取值范围为 . 9.(2023·安徽淮南·统考一模)已知椭圆 的左焦点为F,C上任意一点M到F的距离 最大值和最小值之积为3,离心率为 . (1)求C的方程; (2)若过点 的直线l交C于A,B两点,且点A关于x轴的对称点落在直线 上,求n的值及 面积的最大值. 【答案】(1) ; (2) , 面积的最大值为 . 【分析】(1)由已知 ,根据 ,可得 , .根据已知得到, ,根据离心率值即可求出 的值; (2)设 , ,由已知可得 ,即 .联立直线与椭圆方程,根据 ,得到 .根据韦达定理求出 , .根据坐标表示出弦长 以及点 到直线l的 距离 ,即可得出 .进而根据基本不等式,结合 的范围换元即可求出面积的最小值. 【详解】(1)解:由题意可得, , , . 又因为 , , , 由已知可得 ,即 , 又椭圆C的离心率 ,所以 ,则 , 解得 ,所以 , 所以椭圆C的方程为 . (2)解:设 , ,又 , 因为 ,所以 ,所以 , 化简整理得 ①. 设直线 ,联立直线与椭圆方程 化简整理可得 , ,可得 ②,由韦达定理,可得 , ③, 将 , 代入①, 可得 ④, 再将③代入④,可得 ,解得 , 所以直线l的方程为 , 且由②可得, ,即 , 由点 到直线l的距离 , , . 令 ,则 , 当且仅当 时,即 , 等号成立, 所以 面积S最大值为 . 11.(2023秋·河北石家庄·高三石家庄精英中学校考阶段练习)已知点 在双曲线 : 上,右焦点坐标为 . (1)求双曲线E的方程; (2)点 , , 在双曲线E上,满足 为等腰直角三角形,求 的面积的最小值.【答案】(1) (2) 【分析】(1)将点 的坐标代入椭圆方程,再利用 即可求解; (2) 不妨设等腰直角三角形 的定点 , , 逆时针排列, 为直角顶点.且在第三象限.将直线 的 方程分别与曲线方程联立,利用韦达定理将 的面积用 表示出来,令 ,则面积可表示为 ,然后利用导数求出面积的最小值即可. 【详解】(1)因为点 在双曲线 : 上, 将点 代入双曲线方程可得: ①,又因为双曲线的右焦点坐标为 ,所以 , 则 ,将其代入①式,解得: , 所以双曲线E的方程为 . (2)不妨设等腰直角三角形 的定点 , , 逆时针排列, 为直角顶点.且在第三象限. 若直线 斜率不存在,易知不符合题意. 设 , , , 设直线 的方程为 ,( 不妨设 ). 则直线 的方程为 , 与双曲线的方程联立得 ,消去 得. 于是 . 解得: , 同理可得: , 由 可得 整理可得: , 因为 ,所以 . 再次联立得 ,解得, ,则 , 所以 所以 . 设 , ,则 , .则 .当 时, ,函数 在 上单调递增; 当 时, ,函数 在 上单调递减; 所以当 ,即 时, 取得最小值 . 【点睛】解决直线与椭圆的综合问题时,要注意: (1)注意观察应用题设中的每一个条件,明确确定直线、椭圆的条件; (2)强化有关直线与椭圆联立得出一元二次方程后的运算能力,重视根与系数之间的关系、弦长、斜率、三角 形的面积等问题. 11.(2022秋·湖南长沙·高三雅礼中学校考阶段练习)如图,已知椭圆 与等轴双曲线 共顶点 ,过椭圆 上一点P(2,-1)作两直线与椭圆 相交于相异的两点A,B,直线PA、PB 的倾斜角互补,直线AB与x,y轴正半轴相交,分别记交点为M,N. (1)求直线AB的斜率; (2)若直线AB与双曲线 的左,右两支分别交于Q,R,求 的取值范围. 【答案】(1) (2) 【分析】(1)先求出椭圆方程,联立直线与椭圆方程,利用韦达定理求解 , 坐标,直接计算直线 斜率即 可.(2)联立直线与双曲线的方程,利用求根公式表示出 , 的坐标,化简 的表达式,整理求出 的 取值范围即可得出结果. 【详解】(1)由题椭圆 ,顶点 ,可得 ,又因为点 在椭圆 上, 即 ,得 ,所以椭圆方程为 ,设等轴双曲线 : , , 由题意等轴双曲线 的顶点为 ,可得 ,所以双曲线 的方程为: , 因为直线PA、PB的倾斜角互补,且 , 是不同的点,所以直线PA、PB都必须有斜率,设直线 方程为 ,联立 ,整理得 , 和 点横坐标即为方程两个根,可得 ,因为 ,所以 ,代入直线 可得 ,即 ,又因为直线PA、PB的倾斜角互补,将 换成 ,可得 , 两点求斜率可得出 所以直线AB的斜率为 (2)由(1)可设直线 的方程: ,又因为直线AB与x,y轴正半轴相交,则 ,联立方程组 ,整理得 , ,解得 .联立直线 和双曲线方程 ,消去 得 , 利用求根公式可得 ,由题意可知 , , 所以 , 又因为 ,所以 ,则 ,即 ,所以 , 所以 的取值范围为 12.(2021·上海闵行·上海市七宝中学校考模拟预测)如图,椭圆 、双曲线 中心为坐标原点 ,焦点在 轴上,且有相同的顶点 , , 的焦点为 , , 的焦点为 , ,点 , , , , 恰为线段 的六等分点,我们把 和 合成为曲线 ,已知 的长轴长为4. (1)求曲线 的方程; (2)若 为 上一动点, 为定点,求 的最小值;(3)若直线 过点 ,与 交于 , 两点,与 交于 , 两点,点 、 位于同一象限,且直线 ,求直线 的方程. 【答案】(1) , . (2) 的最小值为 . (3)直线l的方程为 或 【分析】(1)设出椭圆和双曲线的方程,由已知求得待定系数,得到所求方程; (2)分 在 和 上两种情况讨论, 的最小值; (3)设直线 , , ,直线与曲线联立方程组,求出点的坐标,利 用 解出 可得直线方程. 【详解】(1)设 , , 由题意知 , , , , , , , 因此曲线 , . (2)若 是 上的动点,显然当 为椭圆的上顶点 时, 最短,此时 , 若 是 上的动点,以 为圆心 为半径作圆,当圆 与 相切时,切点为 ,此时 最小,且 ,圆 ,代入 ,整理得 ,当 圆与曲线 相切, 由 , , , ,所以 为 上一动点, 为定点, 的最小值为 . (3)设直线 , , , 由对称性可知 , , 由 ,整理得 ,解得 , , 由 ,整理得 ,解得 , , 当 时, ,由(1)知 , , 所以 , ,将 坐标代入得 , 整理得 ,两边平方化简得 , , 所以直线l的方程为 或 ..