当前位置:首页>文档>微专题椭圆的弦长问题学案——2023届高考数学一轮《考点·题型·技巧》精讲与精练_2.2025数学总复习_赠品通用版(老高考)复习资料_一轮复习

微专题椭圆的弦长问题学案——2023届高考数学一轮《考点·题型·技巧》精讲与精练_2.2025数学总复习_赠品通用版(老高考)复习资料_一轮复习

  • 2026-04-13 05:22:58 2026-03-20 05:30:09

文档预览

微专题椭圆的弦长问题学案——2023届高考数学一轮《考点·题型·技巧》精讲与精练_2.2025数学总复习_赠品通用版(老高考)复习资料_一轮复习
微专题椭圆的弦长问题学案——2023届高考数学一轮《考点·题型·技巧》精讲与精练_2.2025数学总复习_赠品通用版(老高考)复习资料_一轮复习
微专题椭圆的弦长问题学案——2023届高考数学一轮《考点·题型·技巧》精讲与精练_2.2025数学总复习_赠品通用版(老高考)复习资料_一轮复习
微专题椭圆的弦长问题学案——2023届高考数学一轮《考点·题型·技巧》精讲与精练_2.2025数学总复习_赠品通用版(老高考)复习资料_一轮复习
微专题椭圆的弦长问题学案——2023届高考数学一轮《考点·题型·技巧》精讲与精练_2.2025数学总复习_赠品通用版(老高考)复习资料_一轮复习
微专题椭圆的弦长问题学案——2023届高考数学一轮《考点·题型·技巧》精讲与精练_2.2025数学总复习_赠品通用版(老高考)复习资料_一轮复习
微专题椭圆的弦长问题学案——2023届高考数学一轮《考点·题型·技巧》精讲与精练_2.2025数学总复习_赠品通用版(老高考)复习资料_一轮复习
微专题椭圆的弦长问题学案——2023届高考数学一轮《考点·题型·技巧》精讲与精练_2.2025数学总复习_赠品通用版(老高考)复习资料_一轮复习
微专题椭圆的弦长问题学案——2023届高考数学一轮《考点·题型·技巧》精讲与精练_2.2025数学总复习_赠品通用版(老高考)复习资料_一轮复习
微专题椭圆的弦长问题学案——2023届高考数学一轮《考点·题型·技巧》精讲与精练_2.2025数学总复习_赠品通用版(老高考)复习资料_一轮复习
微专题椭圆的弦长问题学案——2023届高考数学一轮《考点·题型·技巧》精讲与精练_2.2025数学总复习_赠品通用版(老高考)复习资料_一轮复习
微专题椭圆的弦长问题学案——2023届高考数学一轮《考点·题型·技巧》精讲与精练_2.2025数学总复习_赠品通用版(老高考)复习资料_一轮复习
微专题椭圆的弦长问题学案——2023届高考数学一轮《考点·题型·技巧》精讲与精练_2.2025数学总复习_赠品通用版(老高考)复习资料_一轮复习
微专题椭圆的弦长问题学案——2023届高考数学一轮《考点·题型·技巧》精讲与精练_2.2025数学总复习_赠品通用版(老高考)复习资料_一轮复习
微专题椭圆的弦长问题学案——2023届高考数学一轮《考点·题型·技巧》精讲与精练_2.2025数学总复习_赠品通用版(老高考)复习资料_一轮复习
微专题椭圆的弦长问题学案——2023届高考数学一轮《考点·题型·技巧》精讲与精练_2.2025数学总复习_赠品通用版(老高考)复习资料_一轮复习
微专题椭圆的弦长问题学案——2023届高考数学一轮《考点·题型·技巧》精讲与精练_2.2025数学总复习_赠品通用版(老高考)复习资料_一轮复习
微专题椭圆的弦长问题学案——2023届高考数学一轮《考点·题型·技巧》精讲与精练_2.2025数学总复习_赠品通用版(老高考)复习资料_一轮复习
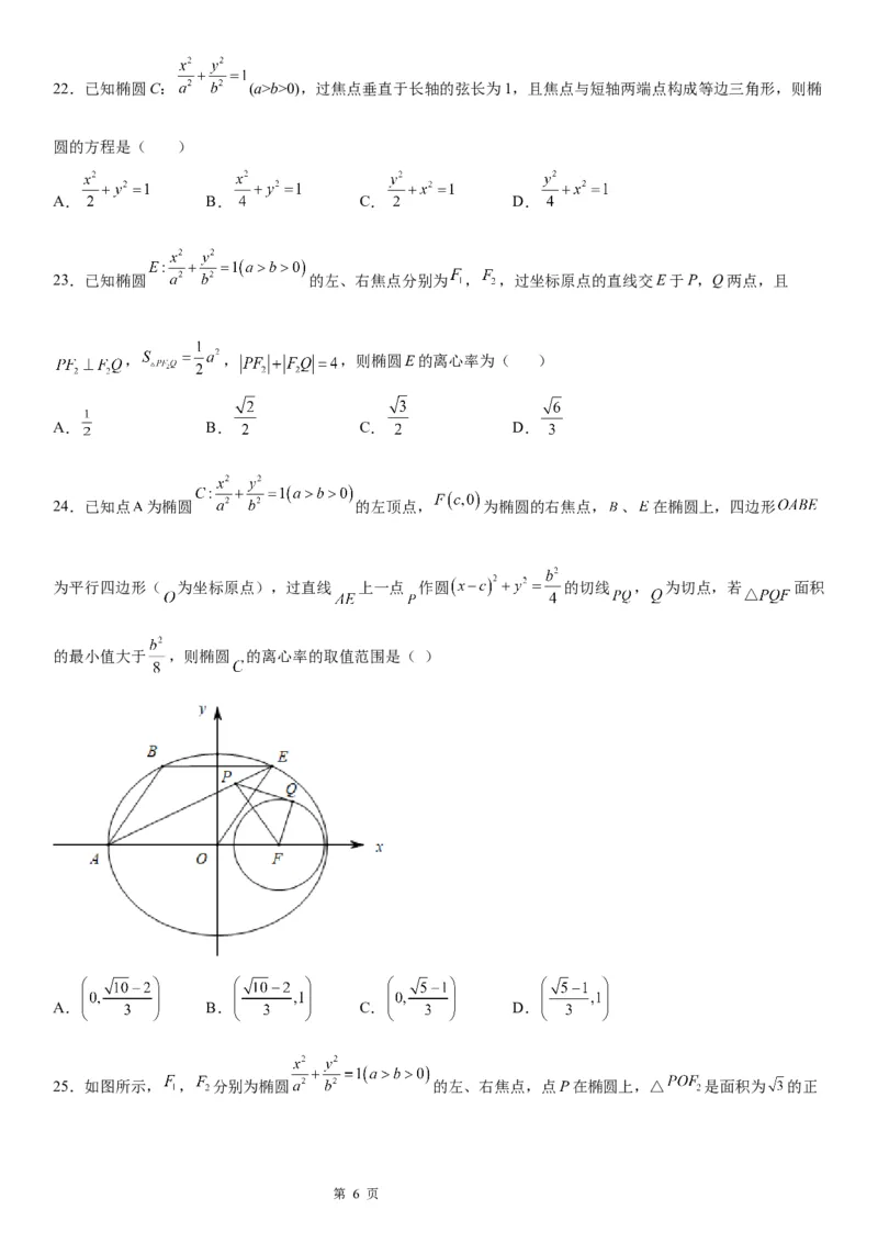
微专题椭圆的弦长问题学案——2023届高考数学一轮《考点·题型·技巧》精讲与精练_2.2025数学总复习_赠品通用版(老高考)复习资料_一轮复习
微专题椭圆的弦长问题学案——2023届高考数学一轮《考点·题型·技巧》精讲与精练_2.2025数学总复习_赠品通用版(老高考)复习资料_一轮复习
微专题椭圆的弦长问题学案——2023届高考数学一轮《考点·题型·技巧》精讲与精练_2.2025数学总复习_赠品通用版(老高考)复习资料_一轮复习
微专题椭圆的弦长问题学案——2023届高考数学一轮《考点·题型·技巧》精讲与精练_2.2025数学总复习_赠品通用版(老高考)复习资料_一轮复习
微专题椭圆的弦长问题学案——2023届高考数学一轮《考点·题型·技巧》精讲与精练_2.2025数学总复习_赠品通用版(老高考)复习资料_一轮复习
微专题椭圆的弦长问题学案——2023届高考数学一轮《考点·题型·技巧》精讲与精练_2.2025数学总复习_赠品通用版(老高考)复习资料_一轮复习
微专题椭圆的弦长问题学案——2023届高考数学一轮《考点·题型·技巧》精讲与精练_2.2025数学总复习_赠品通用版(老高考)复习资料_一轮复习
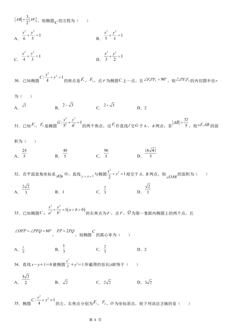
微专题椭圆的弦长问题学案——2023届高考数学一轮《考点·题型·技巧》精讲与精练_2.2025数学总复习_赠品通用版(老高考)复习资料_一轮复习
微专题椭圆的弦长问题学案——2023届高考数学一轮《考点·题型·技巧》精讲与精练_2.2025数学总复习_赠品通用版(老高考)复习资料_一轮复习
微专题椭圆的弦长问题学案——2023届高考数学一轮《考点·题型·技巧》精讲与精练_2.2025数学总复习_赠品通用版(老高考)复习资料_一轮复习
微专题椭圆的弦长问题学案——2023届高考数学一轮《考点·题型·技巧》精讲与精练_2.2025数学总复习_赠品通用版(老高考)复习资料_一轮复习
微专题椭圆的弦长问题学案——2023届高考数学一轮《考点·题型·技巧》精讲与精练_2.2025数学总复习_赠品通用版(老高考)复习资料_一轮复习
微专题椭圆的弦长问题学案——2023届高考数学一轮《考点·题型·技巧》精讲与精练_2.2025数学总复习_赠品通用版(老高考)复习资料_一轮复习
微专题椭圆的弦长问题学案——2023届高考数学一轮《考点·题型·技巧》精讲与精练_2.2025数学总复习_赠品通用版(老高考)复习资料_一轮复习
微专题椭圆的弦长问题学案——2023届高考数学一轮《考点·题型·技巧》精讲与精练_2.2025数学总复习_赠品通用版(老高考)复习资料_一轮复习
微专题椭圆的弦长问题学案——2023届高考数学一轮《考点·题型·技巧》精讲与精练_2.2025数学总复习_赠品通用版(老高考)复习资料_一轮复习
微专题椭圆的弦长问题学案——2023届高考数学一轮《考点·题型·技巧》精讲与精练_2.2025数学总复习_赠品通用版(老高考)复习资料_一轮复习
微专题椭圆的弦长问题学案——2023届高考数学一轮《考点·题型·技巧》精讲与精练_2.2025数学总复习_赠品通用版(老高考)复习资料_一轮复习
微专题椭圆的弦长问题学案——2023届高考数学一轮《考点·题型·技巧》精讲与精练_2.2025数学总复习_赠品通用版(老高考)复习资料_一轮复习
微专题椭圆的弦长问题学案——2023届高考数学一轮《考点·题型·技巧》精讲与精练_2.2025数学总复习_赠品通用版(老高考)复习资料_一轮复习
微专题椭圆的弦长问题学案——2023届高考数学一轮《考点·题型·技巧》精讲与精练_2.2025数学总复习_赠品通用版(老高考)复习资料_一轮复习
微专题椭圆的弦长问题学案——2023届高考数学一轮《考点·题型·技巧》精讲与精练_2.2025数学总复习_赠品通用版(老高考)复习资料_一轮复习
微专题椭圆的弦长问题学案——2023届高考数学一轮《考点·题型·技巧》精讲与精练_2.2025数学总复习_赠品通用版(老高考)复习资料_一轮复习
微专题椭圆的弦长问题学案——2023届高考数学一轮《考点·题型·技巧》精讲与精练_2.2025数学总复习_赠品通用版(老高考)复习资料_一轮复习
微专题椭圆的弦长问题学案——2023届高考数学一轮《考点·题型·技巧》精讲与精练_2.2025数学总复习_赠品通用版(老高考)复习资料_一轮复习
微专题椭圆的弦长问题学案——2023届高考数学一轮《考点·题型·技巧》精讲与精练_2.2025数学总复习_赠品通用版(老高考)复习资料_一轮复习

文档信息

文档格式
docx
文档大小
2.767 MB
文档页数
44 页
上传时间
2026-03-20 05:30:09

文档内容

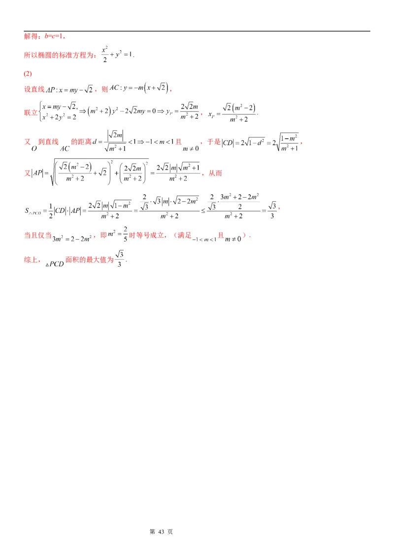
微专题:椭圆的弦长问题 【考点梳理】 1、焦点弦(过焦点的弦)中以通径(垂直于长轴的焦点弦)最短,为. 2、AB为椭圆+=1(a>b>0)的弦(斜率为k),A(x,y),B(x,y),弦中点M(x,y),则 1 1 2 2 0 0 ①弦长l==|y-y|; 1 2 ②直线AB的斜率k=-; ③k·k =-. OM 3、设直线与椭圆的交点为A(x,y),B(x,y),则弦长公式|AB|==·|x-x|=·|y-y|=·(k为直线的斜率),注 1 1 2 2 1 2 1 2 意该公式是在方程有解的情况下进行的,不要忽略判别式Δ>0这一前提. 【题型归纳】 题型一: 求椭圆中的弦长 1.已知椭圆 的左、右焦点分别为 、 ,过 且斜率为1的直线 交椭圆 于A、 两点,则 等于( ) A. B. C. D. 2.过椭圆 的左焦点F作倾斜角为60°的直线l与椭圆C交于A、B两点,则 ( ) A. B. C. D. 3.斜率为1的直线l与椭圆 相交于A,B两点,则 的最大值为( ) A.2 B. C. D. 题型二: 椭圆中三角形(四边形)的面积 4.已知点 是椭圆 : 上异于顶点的动点, , 分别为椭圆的左、右焦点, 为坐标原点, 为 第 1 页 学学科科网网((北北京京))股股份份有有限限公公司司的中点, 的平分线与直线 交于点 ,则四边形 的面积的最大值为( ) A.1 B.2 C.3 D. 5.已知椭圆 的左、右焦点分别为 、 , 为椭圆上的一点(不在 轴上),则△ 面积的最大值是 ( ) A.15 B.12 C.6 D.3 6.如图,椭圆的焦点在x轴上,长轴长为 ,离心率为 ,左、右焦点分别为 , ,若椭圆上第一象限的 一个点A满足:直线 与直线 的交点为B,直线 与x轴的交点为C,且射线 为∠ABC的角平 分线,则 的面积为( ) A. B. C. D. 题型三: 椭圆的焦半径与焦点弦问题 7.已知斜率不为0的直线 过椭圆 的左焦点 且交椭圆于 , 两点, 轴上的点 满足 , 则 的取值范围为( ) A. , B. , C. , D. , 第 2 页 学学科科网网((北北京京))股股份份有有限限公公司司8.已知 为椭圆 上任意一点,EF为圆 的任意一条直径,则 的取值范围是 ( ) A. B. C. D. 9.如图,椭圆 的左、右焦点分别为 , ,过点 , 分别作弦 , .若 ,则 的取值范围为( ) A. B. C. D. 题型四: 根据弦长求参数 10.直线y=x+m与椭圆 交于A,B两点,若弦长 ,则实数m的值为( ) A. B.±1 C. D.±2 11.已知椭圆C : =1(a>b>0)与双曲线C :x2﹣ =1有公共的焦点,C 的一条渐近线与以C 的长轴 1 2 2 1 为直径的圆相交于A,B两点.若C 恰好将线段AB三等分,则( ) 1 A.a2= B.a2=3 C.b2= D.b2=2 第 3 页 学学科科网网((北北京京))股股份份有有限限公公司司12.椭圆 ,过原点O斜率为 的直线与椭圆交于C,D,若 ,则椭圆的标准方程为( ) A. B. C. D. 【双基达标】 13.已知椭圆C: 的左、右焦点分别为F 1 ,F 2 ,点M在椭圆C上,当△MF 1 F 2 的面积最大时,△MF 1 F 2 内切圆半径为( ) A.3 B.2 C. D. 14.直线 被椭圆 截得最长的弦为( ) A. B. C. D. 15.过椭圆内定点 且长度为整数的弦,称作该椭圆过点 的“好弦”.在椭圆 中,过点 的所有“好弦”的长度之和为( ) A.120 B.130 C.240 D.260 16.若 , 分别是椭圆 的左、右焦点, 是椭圆上的任意一点,且 的内切圆的周长为 ,则 满足条件的点 的个数为( ) A.2 B.4 C.6 D.0 17.已知 是椭圆 的两个焦点, 为椭圆上一点,且△ 是直角三角形,则△ 的面积为 ( ). A. B. C. 或8 D. 或8 第 4 页 学学科科网网((北北京京))股股份份有有限限公公司司18.已知椭圆 的左、右焦点分别为 , ,焦距为 ,过点 作 轴的垂线与椭圆相交, 其中一个交点为 点(如图所示),若 的面积为 ,则椭圆的方程为( ) A. B. C. D. 19.椭圆 ( )的左右焦点分别为 , ,过 垂直于 轴的直线交椭圆于 , 两点,且 ,求椭圆的离心率为( ) A. B. C. D. 20.已知椭圆 的左、右焦点分别为 , ,过 的直线交椭圆于 , 两点,若 的最大值为10,则 的值是( ) A. B. C. D. 21.已知椭圆 的左、右焦点分别为 、 ,点 、 均在椭圆上,且均在 轴上方,满足条件 , ,则 ( ) A. B. C. D. 第 5 页 学学科科网网((北北京京))股股份份有有限限公公司司22.已知椭圆C: (a>b>0),过焦点垂直于长轴的弦长为1,且焦点与短轴两端点构成等边三角形,则椭 圆的方程是( ) A. B. C. D. 23.已知椭圆 的左、右焦点分别为 , ,过坐标原点的直线交E于P,Q两点,且 , , ,则椭圆E的离心率为( ) A. B. C. D. 24.已知点 为椭圆 的左顶点, 为椭圆的右焦点, 、 在椭圆上,四边形 为平行四边形( 为坐标原点),过直线 上一点 作圆 的切线 , 为切点,若 面积 的最小值大于 ,则椭圆 的离心率的取值范围是( ) A. B. C. D. 25.如图所示, , 分别为椭圆 的左、右焦点,点P在椭圆上,△ 是面积为 的正 第 6 页 学学科科网网((北北京京))股股份份有有限限公公司司三角形,则 的值为( ) A. B. C. D. 【高分突破】 一、单选题 26.已知椭圆 的左、右焦点分别为 , ,M为C上一点,且 的内心为 , 若 的面积为4b,则 ( ) A. B. C. D. 27.已知椭圆 的左、右焦点分别为 , ,直线 与椭圆E交于A,B两点.若四边 形 面积的最大值为8,则a的最小值为( ) A. B.2 C. D.4 28.已知椭圆 右顶点为 ,上顶点为 ,该椭圆上一点 与 的连线的斜率 , 的中点为 ,记 的斜率为 ,且满足 ,若 分别是 轴、 轴负半轴上的动点,且四边形 的面积为2,则三角形 面积的最大值是( ) A. B. C. D. 29.已知椭圆 的两个焦点分别为 , ,过 的直线与 交于 , 两点.若 , 第 7 页 学学科科网网((北北京京))股股份份有有限限公公司司,则椭圆 的方程为( ) A. B. C. D. 30.已知椭圆 的焦点是 , ,点 为椭圆 上一点,且 ,则 的内切圆半径 为( ) A. B. C. D.2 31.已知 , 是椭圆 的两个焦点,过 作直线 交 于 , 两点,若 ,则 的面 积为( ) A. B. C. D. 32.在平面直角坐标系 中,直线 与椭圆 相交于A、B两点,则 的面积为( ) A. B.1 C. D. 33.已知椭圆 : 的右焦点为 ,点 , 为第一象限内椭圆上的两个点,且 , ,则椭圆 的离心率为( ) A. B. C. D.2 34.直线x-y+1=0被椭圆 +y2=1所截得的弦长|AB|等于( ) A. B. C. D. 35.椭圆 的左、右焦点分别为 , ,O为坐标原点,则下列说法正确的是( ) 第 8 页 学学科科网网((北北京京))股股份份有有限限公公司司A.过点 的直线与椭圆C交于A,B两点,则 的周长为4 B.椭圆C上不存在点P,使得 C.椭圆C的离心率为 D.P为椭圆C上一点,Q为圆 上一点,则点P,Q的最大距离为3 36.已知椭圆 的焦点分别为 , ,点 在椭圆上,若 则三角形 的面积为( ) A. B. C. D. 37.古希腊数学家阿波罗尼奥斯采用平面切割圆锥的方法来研究圆锥曲线,用垂直于圆锥轴的平面去截圆锥,得 到的截面是圆;把平面再渐渐倾斜得到的截面是椭圆.若用周长为72的矩形 截某圆锥得到椭圆 ,且 与矩 形 的四边相切,椭圆 的离心率为 ,若点 , 为椭圆 长轴的两个端点, 为椭圆上除去长轴端点外 的任意一点,则 面积的取值范围是( ) A. B. C. D. 二、多选题 38.已知椭圆 的左右焦点分别为 直线 与圆 相切于点 ,与椭圆相交于 两点,点 在 轴上方,则( ) A.弦长 的最大值是 B.若 方程为 ,则 C.若直线 过右焦点 ,且切点 恰为线段 的中点,则椭圆的离心率为 D.若圆 经过椭圆的两个焦点,且 ,设点 在第一象限,则 的周长是定值 39.设椭圆 的右焦点为 ,直线 与椭圆交于 两点,则( ) 第 9 页 学学科科网网((北北京京))股股份份有有限限公公司司A. 为定值 B. 的周长的取值范围是 C.当 时, 为直角三角形 D.当 时, 的面积为 40.(多选)已知 分别是椭圆 的两个焦点,若椭圆上存在使 的面积为 的点P的个数为 4,则实数m的值可以是 A.2 B.3 C. D.5 41.已知 是椭圆 的右焦点,椭圆上至少有21个不同的点 , 组成公差 为 的等差数列,则( ) A.该椭圆的焦距为6 B. 的最小值为2 C. 的值可以为 D. 的值可以为 42.已知椭圆 的中心在原点,焦点 , 在 轴上,且短轴长为2,离心率为 ,过焦点 作 轴的垂线,交 椭圆 于 , 两点,则下列说法正确的是( ) A.椭圆方程为 B.椭圆方程为 C. D. 的周长为 43.已知椭圆 : ,过椭圆 的左焦点 的直线 交 于A,B两点(点 在 轴的上方),过椭圆 的右焦点 的直线 交 于C,D两点,则( ) 第 10 页 学学科科网网((北北京京))股股份份有有限限公公司司A.若 ,则 的斜率 B. 的最小值为 C.以 为直径的圆与圆 相切 D.若 ,则四边形 面积的最小值为 三、填空题 44.已知椭圆的标准方程为 ,上顶点为 ,左顶点为 ,设点 为椭圆上一点, 的面积的 最大值为 ,若已知点 、 ,点 为椭圆上任意一点,则 的最小值为_________. 45.椭圆 的两个焦点与短轴的一个端点构成的三角形的面积等于________. 46.已知椭圆 的左,右焦点分别为 ,过点 与x轴垂直的直线与椭圆C交于A,B两点,则三 角形 的内切圆的半径为__________. 47.已知椭圆 ( )与直线 交于A、B两点, ,且 中点的坐标为 , 则此椭圆的方程为________. 第 11 页 学学科科网网((北北京京))股股份份有有限限公公司司48.已知椭圆 , , 分别为其左、右焦点,以 为直径的圆与椭圆E在 第一象限交于点P,在第三象限交于点Q.若 的面积为 ,则 ______. 49.已知椭圆C: 的左,右焦点分别为 ,P为椭圆上一点,若 为直角三角形,则 的 面积为___________. 四、解答题 50.已知椭圆C: 过点M(2,3),点A为其左顶点,且AM的斜率为 , (1)求C的方程; (2)点N为椭圆上任意一点,求△AMN的面积的最大值. 51.已知椭圆 : 的离心率为 ,且经过点 . (1)求椭圆 的方程; (2)直线 : 与椭圆 相交于 , 两点,若 ,试用 表示 . 52.已知椭圆 的标准方程为: ,若右焦点为 且离心率为 . (1)求椭圆 的方程; (2)设 , 是 上的两点,直线 与曲线 相切且 , , 三点共线,求线段 的长. 53.已知椭圆 ,离心率为 ,点 在椭圆C上. (1)求椭圆 的标准方程; (2)若 , ,过 直线 交椭圆 于 、 两点,且直线 倾斜角为 ,求 的面积. 54.已知椭圆 ,拋物线 ,点 ,斜率为 的直线 交拋物线于 两点, 第 12 页 学学科科网网((北北京京))股股份份有有限限公公司司且 ,经过点 的斜率为 的直线 与椭圆相交于 两点. (1)若拋物线的准线经过点 ,求拋物线的标准方程和焦点坐标: (2)是否存在 ,使得四边形 的面积取得最大值?若存在,请求出这个最大值及 的值;若不存在,请说 明理由. 55.如图, , 分别是椭圆 的左顶点和上顶点,圆 经过点 , 为椭圆 上 一点,过 且与 垂直的直线交圆 于两点 , .若点 在椭圆 上,其中 为椭圆 的离心率. (1)求椭圆 的标准方程; (2)求 面积的最大值. 第 13 页 学学科科网网((北北京京))股股份份有有限限公公司司参考答案 1.A 【分析】利用弦长公式求解即可. 【详解】设直线AB方程为 ,联立椭圆方程 整理可得: ,设 , 则 , ,根据弦长公式有: = .故B,C,D错误. 故选:A. 2.A 【分析】设 , ,把直线与椭圆联立,求出 , ,即可求出 . 【详解】由 ,得 , , ,左焦点为 . 则过左焦点F,倾斜角为60°直线l的方程为 .代入 ,得 , 设 , ,则 , , 又 , 根据弦长公式得: , 且 , ∴ , 故选:A. 3.D 【分析】设直线方程 与椭圆方程联立,求得弦长 ,即可得到最大值. 【详解】设 两点的坐标分别为 , ,直线l的方程为 , 由 消去y得 , 第 14 页则 , . ∴ , ∴当 时, 取得最大值 , 故选:D. 4.B 【分析】由题,结合角平分线性质与椭圆的性质, , 为 到 的距离,又 是 的中位线,故 ,结合余弦定理,设 ,即可表示出 ,即可讨论最值 【详解】 由图, , ,故 , ,又 平分 ,则 到 、 的距离 相等,设为 ,则 设 ,则 , ,由 是 的中位线,易得 ,即 ,由椭圆性质易知,存在点 为椭圆 上异于顶 点的动点,使 ,此时 最大,且为2 故选:B 5.B 【分析】由三角形面积公式可知△ 的底 为定值,当高为最大时,面积即为最大,故当点 位于椭圆上顶 点或下顶点时高最大,即可求解. 【详解】由三角形面积公式 可知, 第 15 页当 最大时 有最大值,即点 位于椭圆上顶点或下顶点, 其中 , 则△ 面积的最大值是 , 故选: . 6.A 【分析】先求出椭圆方程,结合射线 为∠ABC的角平分线求出 ,进而写出 的直线,联立椭圆解 出A点坐标,即可求出面积. 【详解】设椭圆的方程为 ,则 , , ,故椭圆的方程为 ;又射线 为 的角平分线, 在 和 中由正弦定理得 ,又射线 为∠ABC的角平 分线, 可得 ,则在直角 中 ,故 ,所以直线 : , 点 为直线 与椭圆的交点,联立方程 解得 (舍负), 故 . 故选:A. 7.B 【分析】设直线 的方程并联立椭圆方程求解,得到 的斜率为参数的关于 的二次方程,再根据韦达定理,写出 弦长 ,求出 中点坐标和 的垂直平分线的方程,求出点 的坐标,写出 和 ,最后根据 的斜 率范围求出 的取值范围. 【详解】解:很明显点 为线段 的垂直平分线与 轴的交点, 设直线 , , , , , 联立直线方程与椭圆方程,可得 , 因此 , 所以线段 的中点坐标为 , 第 16 页, 的垂直平分线的方程为 , 当 时, ,则 , 因此 , 所以 , 故选:B. 8.B 【分析】用 表示 进行数量积运算后转化为求椭圆上点到焦点 的最大值和最小值问题. 【详解】由题意 椭圆的下焦点, 是圆 的直径, 则 , 椭圆 中 ,椭圆上的 到焦点 的距离的最大值为 ,最小值为 ,所以 的最大值为24,最小值为8. 所以 的取值范围 . 故选:B. 9.C 【分析】分直线斜率不存在和存在两种情况,当直线 的斜率不存在,可求出点 的坐标,从而可得 ,当直线 的斜率存在,设直线 的方程为 ,然后将直线方程与椭圆方程联 立方程组,消元后利用根与系数的关系,表示出 ,从而可表示出 , , 进而可表示 【详解】由椭圆的对称性可知 , , .设点 , . 若直线 的斜率不存在,则点 , ,所以 ,所以 . 若直线 的斜率存在,设直线 的方程为 , 联立 消去 整理得 , ,则 .又 ,同理可得 ,所以 ,所以 第 17 页. 综上, 的取值范围为 , 故选:C. 【点睛】关键点点睛:本题考查椭圆的几何性质、直线与椭圆的位置关系,解题的关键是利用椭圆的对称性结合题 意得 , , ,然后分直线 的斜率存在和不存在两种情况求解,考查计算能力, 属于中档题 10.B 【分析】联立直线的方程和椭圆的方程,化简写出根与系数关系,结合 求得 的值. 【详解】设A(x,y),B(x,y),联立 ,整理可得:3x2+4mx+2m2﹣2=0,则x+x= ,xx 1 1 2 2 1 2 1 2 = , 所以弦长|AB|= = = , 由题意可得: = ,解得: . 故选:B 11.C 【分析】由双曲线方程确定一条渐近线方程为y=2x,根据对称性易知AB为圆的直径且AB=2a,利用椭圆与双曲 线有公共的焦点,得方程 ,再结合条件可得 ,即可得结论. 【详解】 由题意, C 的焦点为 ,一条渐近线方程为y=2x,根据对称性易知 AB为圆的直径且AB=2a, 2 ∴C 的半焦距 ,于是得 ① 1 设C 与y=2x在第一象限的交点的坐标为(m,2m),代入C 的方程得: ②, 1 1 由对称性知直线y=2x被C 截得的弦长 , 1 第 18 页由题得: ,所以 ③ 由②③得 ④ 由①④得 故选:C. 12.D 【分析】先利用直线斜率和弦长求出 点的坐标,然后将点 代入椭圆方程,解出 ,从而得到椭圆方程. 【详解】由题意可知,直线 的方程为 ,直线倾斜角为 , 不妨设 点在第一象限,则 ,因此可得 , 又点 在椭圆 上,所以 , 所以椭圆的标准方程为 , 故选:D. 【点睛】本题主要考查了椭圆方程的求法,结合了直线与弦长等相关知识,难度不大. 13.D 【分析】由面积最大得 的位置,从而可求出三角形的三条边,通过 ,即可求出内切圆的半径. 【详解】解析:因为椭圆为 ,所以a=5,b=3, ; 当△MF F 的面积最大时,点M在椭圆C的短轴顶点,不妨设点M为椭圆C的上顶点, 1 2 点O为坐标原点,△MF F 内切圆半径为r,则|MF |=|MF |=a=5,|FF|=2c=8,|OM|=b=3, 1 2 1 2 1 2 ,所以 , 故选:D. 【点睛】关键点睛: 本题的关键是结合三角形面积的两种求法,得关于内切圆半径的方程,从而求出半径. 14.B 【分析】联立直线方程和椭圆方程,解方程可得两根,运用弦长公式,结合配方法,以及二次函数的最值求法, 可得答案 第 19 页【详解】解:联立直线 和椭圆 ,可得 , 解得 或 , 则弦长 , 令 ,则 , 当 ,即 , 取得最大值 , 故选:B 15.C 【分析】确定 是右焦点,求出过 的弦长的范围,在此范围的整数都可取,注意除最长最短弦外,其他弦长都 有两条弦. 【详解】解:由已知可得 , , 所以 ,故 为椭圆的右焦点, 由椭圆的性质可得当过焦点的弦垂直 轴时弦长最短, 所以当 时,最短的弦长为 , 当弦与 轴重合时,弦长最长为 , 则弦长的取值范围为 , 故弦长为整数的弦有4到16的所有整数, 则“好弦”的长度和为 , 故选:C. 【点睛】关键点点睛:本题考查新定义,解题关键是理解新定义,确定出解题方法是求出过 点弦长的范围,椭 圆过焦点的弦长,最长的弦为长轴,最短的弦为通径(过焦点与长轴垂直的弦),通径长这 . 16.A 【分析】设 的内切圆的半径等于 , ,根据椭圆定义和三角形面积公式, 可得 ,即可 得解. 【详解】设 的内切圆的半径等于 , , 则由题意可得 ,∴ . 由椭圆的定义可得 ,又 , ∴ 的面积等于 . 又 的面积等于 ,∴ , 第 20 页易知满足 的点 有2个, 故选:A. 17.B 【分析】由 为直角三角形,则分两种情况① ,② (或 )讨论,分别 求出 的面积. 【详解】解:由椭圆方程为: ,则 , , 为直角三角形 ①当 时,在 中,有 , , ,消元得 ,方程无解,故舍去. ②当 (或 )时, , 综上 故选 【点睛】本题考查焦点三角形的面积问题,注意对角进行分类讨论,属于中档题. 18.A 【分析】由题意可得 ,令 ,可得 ,再由三角形的面积公式,解方程可得 , ,即可得到所求椭 圆的方程. 【详解】由题意可得 ,即 , 即有 , 令 ,则 , 可得 , 则 ,即 , 解得 , , ∴椭圆的方程为 . 故选:A. 19.A 【分析】由题意,可得 ,将 代入椭圆可得 , 两点坐标,用参数 表示 ,即得解 第 21 页【详解】 由椭圆方程,可知: 过 垂直于 轴的直线交椭圆于 , 两点, 因此将 代入椭圆,可得 (舍负) 故选:A 20.C 【分析】利用椭圆定义得到 ,再由过椭圆焦点的弦中通径的长最短,进而可得 , 即得. 【详解】∵ , 为椭圆 的两个焦点, ∴ , , 的周长为 , 即 , 若 最小,则 最大. 又当 轴时, 最小,此时 , 故 , 解得 . 故选:C. 21.C 第 22 页【分析】根据椭圆方程求得通径长,结合已知有 轴,再由 即知 . 【详解】由题设, ,则椭圆通径为 ,又 , 所以 在 上,即通径上,故 轴, 又 ,易知: . 故选:C 22.B 【分析】根据过焦点垂直于长轴的弦长为1,得到 ,再根据焦点与短轴两端点构成等边三角形,得到 , 联立求解. 【详解】因为过焦点垂直于长轴的弦长为1, 所以 , 又因为焦点与短轴两端点构成等边三角形, 所以 , 联立解得 , 所以椭圆方程为 , 故选:B 23.B 【分析】由椭圆的对称性,结合过原点的直线与垂直关系可判断四边形 为矩形,则 ,根据 椭圆的定义结合 可得 的值,设 ,根据 可得 的值,再结合勾股定理可得 的 值,即可求解. 【详解】因为过坐标原点的直线交E于P,Q两点,根据椭圆的对称性,可知四边形 为平行四边形,又 ,所以四边形 为矩形,则 , 因为 ,所以 ,则 , 设 ,则 , 又 ,所以 ,即 ,解得 ,则 , 因为 ,即 ,所以 , 所以 , 故选:B 24.B 【分析】结合题意先计算直线 的表达式,然后运用点到直线的距离计算圆心 到直线 的距离,求出三角形 第 23 页的面积表达式,结合题意得到不等式,继而计算出椭圆离心率的取值范围. 【详解】因为四边形 是平行四边形,所以 ,且 ,又因为点 、 关于 轴对称,所 以 ,将其代入椭圆方程得 ,解得 ,故 , ,所以 ,即 ,故 即为 到直线 的距离, ,此时 , 故 ,化简得 ,故 ,即 ,整理 得 ,分子分母同除以 ,得 ,即 ,所以 (舍去)或 ,在椭圆中 ,所以 ,所以 故选:B 【点睛】关键点点睛:本题的关键是求出三角形 的面积表达式,结合题意得到不等式进行求解,有一定的计 算量,需要把基础知识掌握牢固. 25.B 【分析】由于△ 是边长为 的正三角形,根据三角形面积公式可以求出 ,并得到点P的坐标,再根据点 在椭圆 上,以及 即可求得 的值. 【详解】因为 是面积为 的正三角形,所以 ,解得 ,所以点P的坐标为 , 将其代入椭圆方程得 ,与 联立,解得 . 故选:B. 【点睛】本题主要考查椭圆的简单几何性质的应用,意在考查学生的数学运算能力,属于基础题. 26.B 【分析】根据椭圆的定义,三角形的面积可求出椭圆的离心率,所求即为离心率的倒数可得解. 【详解】由题意可得, 的内心 到 轴的距离就是内切圆的半径. 又点 在椭圆 上,由椭圆的定义,得 , ,即 . 又 ,所以 , 因为 , 第 24 页所以 ,即 , 所以 ,解得 或 (舍去), 所以 . 故选:B 27.C 【分析】当直线与x轴垂直,即 时,四边形 的面积最大,由面积公式及基本不等式求解即可. 【详解】设椭圆E的半焦距为c.直线 过原点, 当其与x轴垂直,即 时,四边形 的面积最大,此时 , 所以 , 所以 ,当且仅当 时等号成立. 故 故选:C 【点睛】本题考查椭圆的标准方程和几何性质,利用基本不等式求最值,属于中档题. 28.A 【分析】求出直线方程,与椭圆方程联立,表示出点E坐标,即可根据 求出 ,根据四边形的面积结 合基本不等式可求. 【详解】由题意知: ,直线 的方程为 , 联立方程 可得 , 因为 是其中一个解,则另一个解 满足 ,即 , 所以 ,则可得 的中点 ,则 , 因为 ,所以 ,解得 ,则即 , 设 ,则由四边形 的面积为2,有 , 即 ,由基本不等式得 , , 从而三角形 的面积 ,等号当 , 时取到. 所以三角形 面积的最大值为 . 故选:A. 第 25 页29.D 【分析】由题意可得 在短轴的顶点,可得 ,,设直线 的方程和椭圆的方程,联立方程可得 的坐标, 求出 的表达式,再由 可得 的值,进而求出 的值,进而求出椭圆的方程. 【详解】 ,所以可得 , 又因为 , 所以可得 ,即 为短轴的顶点, 设 为短轴的上顶点 , , , 所以 , 所以直线 的方程为: , 由题意设椭圆的方程为: ,则 , 联立 ,整理可得: , 即 ,可得 , 代入直线的方程可得 , 所以 , 因为 , 所以 ,整理可得: , 解得: ,可得 , 所以椭圆的方程为: , 故选:D. 30.B 【分析】由余弦定理得 , 得到 ,可求得面积,再由 可得答案. 【详解】 , , 第 26 页由题意得 , ,由余弦定理得 , 得 , , 设内切圆的半径为 ,则 , 所以 . 故选:B. 【点睛】椭圆的焦点三角形常常考查椭圆定义,三角形中的正余弦定理,面积公式等等,覆盖面广,综合性较强, 因此受到了命题者的青睐,特别是面积和张角题型灵活多样,是历年高考的热点. 31.C 【解析】判断出 轴,直接由三角形面积公式计算即可. 【详解】由 知 , 所以 , 把 代入椭圆方程可得 , 故 ,又 , 所以 轴, 则 , 故选:C 32.C 【分析】直线方程与椭圆方程联立求得交点坐标,得交点弦长,再求出原点到直线 的距离后可得三角形面积. 【详解】联立方程 ,解得 或 , ,点O到直线 的距离为 , 则 的面积为 . 故选:C. 33.C 【分析】设点 ,用椭圆的离心率e,半焦距c及a表示出 ,再由 探求出 的关系 即可作答. 【详解】设点 ,右焦点为 ,椭圆的离心率为 , , 第 27 页,同理 , 如图,过P,Q分别作x轴的垂线,垂足分别为M,N, 因 ,则 ,即 , , 于是得 ,又 ,则 ,即 , 因此得 ,即 ,整理得 ,而 ,则 , 所以椭圆 的离心率为 . 故选:C 34.A 【分析】联立方程组,求出交点坐标,利用两点间的距离公式求距离. 【详解】由 得交点为(0,1), ,则|AB|= = . 故选:A. 35.D 【分析】对于选项A,由椭圆定义可求得 的周长,即可判断; 对于选项B,设 ,分别表示出 , ,直接求解; 对于选项C,直接求出离心率; 对于选项D,用几何法求出最大值. 【详解】对于选项A,由椭圆定义,可得 ,因此 的周长为 ,故A错误. 对于选项B,设 ,则 ,且 .又 , ,所以 , ,因此 ,解得 , 故B错误. 对于选项C,因为 , ,所以= ,即 ,所以离心率 ,故C错误. 对于选项D,设 ,则点P到圆 的圆心的距离为 .因为 第 28 页,所以 ,故D正确. 故选:D. 【点睛】(1)坐标法是解析几何的基本方法. (2)解析几何问题解题的关键:解析几何归根结底还是几何,根据题意画出图形,借助于图形寻找几何关系可以 简化运算. 36.C 【解析】先由椭圆定义求出 ,在 中利用余弦定理,得到 ,最后由正弦定理的面积公式, 即可得出 的面积. 【详解】 椭圆方程为 , , ,可得 , , , , , , 中, , , , , 的面积为 , 故选:C. 【点睛】本题考查了椭圆的定义以及椭圆的简单几何性质,涉及到的知识点包括余弦定理和正弦定理的面积公式, 属于中档题.当涉及到顶点、焦点、长轴、短轴等椭圆的基本量时,要理清它们之间的关系,挖掘出它们之间的内 在联系.解题时要注意 的关系 ,否则很容易出现错误. 37.B 【分析】以 所在的直线为 轴,以 的中点为坐标原点 ,建立平面直角坐标系,求出椭圆的方程,进而可 得 的值,数形结合得出 的高为点 到 轴的距离,计算 即可求解. 【详解】以 所在的直线为 轴,以 的中点为坐标原点 ,建立平面直角坐标系, 则椭圆 的方程为 , 由题意可得 解得: ,所以椭圆 的方程为 , 因为点 , 为椭圆 长轴的两个端点,所以 , 点 到 轴的距离为 的高,则 的高 , 第 29 页所以 面积为 , 故选:B. 38.BCD 【分析】A选项,取特殊情况,直线 与圆相切于点 时,求出此时的弦长 ,即可判定A错; B选项,根据点到直线距离公式,得到 ,结合椭圆的性质,即可判定B错; C选项,根据题中条件,得到 ,且 ,进而得到 , ,再由椭圆定义列出 等量关系,化简整理,即可得出结果;判定C正确; D选项,先由题中条件,根据椭圆定义,得到椭圆的方程为 ,设 , ,由题中条件,得 到 ,再表示出 , ,进而可得出周长,判定D正确. 【详解】对于选项A,当直线 与圆相切于点 时,由 得 , 此时 ,故选项A错误; 对于选项B ,圆心 到直线 的距离为 ,得 , ,故选项B正确; 对于选项C, 为 的中点, 为 的中点,直线 与圆 相切于点 , ,且 , , ,由椭圆的定义知 , 化简得 , , 故选项C正确; 对于选项D, , , 圆 过椭圆的两个焦点,所以 ,故椭圆的方程为 , 设 , , 第 30 页, 在第一象限, , , 同理 , 的周长 ,故选项D正确. 故选:BCD. 【点睛】思路点睛: 求解椭圆中的弦长、椭圆中三角形面积(或周长)等问题时,一般需要设直线方程,联立直线与椭圆方程,结合 题中条件,利用韦达定理、弦长公式等,即可求解. 39.ACD 【分析】对选项进行逐一判断.由椭圆的定义判断A;由 为定值以及 的范围判断B;求出 坐标, 由数量积公式得出 ,得出 为直角三角形判断C;求出 坐标,由面积公式得出 的面积判 断D. 【详解】设椭圆的左焦点为 ,则 所以 为定值,A正确; 的周长为 ,因为 为定值6, 所以 的范围是 ,所以 的周长的范围是 ,B错误; 将 与椭圆方程联立,可解得 , 又因为 ,∴ 所以 为直角三角形,C正确; 将 与椭圆方程联立,解得 , ,所以 ,D正确. 故选:ACD 40.AD 【分析】分焦点在 轴与 轴两种情况讨论,当点 在短轴的顶点时 的面积取得最大值,椭圆上存在使 的面积为 的点P的个数为4,则 即可得到不等式,解得即可; 【详解】解:当椭圆的焦点在 轴上时, ,此时 ,设椭圆的右顶点为 , 由于 面积的最大值为 的面积,所以 ,解得 ; 当椭圆的焦点在 轴上时, ,此时 ,设椭圆的上顶点为B,则 ,由于 面积的最大值为 的面积,所以 ,解得 . 第 31 页结合选项知实数m的值可以是2,5. 故选:AD 【点睛】本题考查椭圆中焦点三角形的面积求参数的取值范围,属于中档题. 41.ABC 【分析】先由椭圆 ,得到焦距,判断A是否正确,椭圆上的动点 ,分析 的取值范围,判断BCD 是否正确,得到答案. 【详解】由椭圆 ,得 , , ,故A正确; 椭圆上的动点 , ,即有 , 故 的最小值为2,B正确; 设 , , ,…组成的等差数列为 ,公差 ,则 , 又 ,所以 ,所以 ,所以 的最大值是 , 故C正确,D错误. 故选:ABC. 【点睛】本题以椭圆知识为载体,考查了椭圆的几何性质,等差数列的相关知识,属于中档题. 42.ACD 【分析】由已知求得b,再由离心率结合隐含条件求得a,可得椭圆方程,进一步求得通径及 的周长判断得 答案. 【详解】由已知得,2b=2,b=1, , 又 ,解得 , ∴椭圆方程为 , 如图: ∴ , 的周长为 . 故选:ACD. 【点睛】本题考查椭圆的简单性质,考查数形结合的解题思想方法,是中档题. 43.BCD 第 32 页【分析】A选项,由 得到 ,再联立直线 和椭圆,结合韦达定理即可求出斜率;B选项先 联立直线和椭圆求出 ,再结合基本不等式求解即可;C选项由椭圆的定义结合两圆相切的圆心距和 半径关系即可判断;D选项斜率存在和不存在时分别计算面积,求出面积范围即可判断. 【详解】易知: ,对于A,若 ,显然直线 的斜率存在且大于0,设直线 ,联立椭圆方程 ,化简整理得 ,显然 , ,又 ,故 ,整理得 ,由 解得 ,又 ,故 ,A错误; 对于B,易知直线 的斜率不为0,设直线 ,联立椭圆方程 ,化简整理得 ,显然 , ,由点 在 轴的上方,显然 , 又 , ,故 ,当且仅当 ,即 时取等,B正确; 对于C,设 , 的中点为 ,则 ,又 ,由椭圆定义知: ,即 ,又 的圆心为 ,半径为2,故以 为直径的圆与圆 内切,C正确; 对于D,当直线 的斜率存在时,由上知: 第 33 页,同理 ,故四边形 面积为 ,令 ,则 ,又 ,故 ,故 ;又当 直线 的斜率不存在时,直线 的斜率为0,易得 ,此时 ,故 ,D正确. 故选:BCD. 【点睛】本题关键点在于A选项由 和韦达定理解方程即可;B选项要先求出求出 ,再 结合基本不等式的知识求解;C选项要结合椭圆的定义得到圆心距和半径之间的关系;D选项斜率存在时求出面积 的范围,斜率不存在时直接求出面积. 44. 【分析】根据 的面积的最大值为 可求得 ,进而可得知点 、 为椭圆的左、右焦点,可得出 ,由此利用基本不等式可求得 的最小值. 【详解】由已知条件可得 、 ,直线 的斜率为 , 直线 的方程为 , 当 的面积最大时,过点 的直线与椭圆相切且与直线 平行, 故设该直线的方程为 , 联立 ,整理,得 . 第 34 页由 ,得 ,解得 , 分析可知当 的面积最大时, ,此时切线方程为 , 则点 到直线 的距离 . 又 ,所以 ,所以 , 所以 、 分别为椭圆的左、右焦点, 所以 , 则 , 当且仅当 时取等号. 因此, 的最小值为 . 故答案为: . 【点睛】本题考查利用基本不等式求值,同时也考查了椭圆中三角形面积最值的计算以及椭圆定义的应用,考查 计算能力,属于难题. 45.2 【分析】将椭圆方程化为标准方程,求得 ,根据焦点坐标与顶点坐标求得三角形面积. 【详解】椭圆方程可化为 . ,从而 . 因此,两焦点为 ,短轴的个端点为 . ∴构成的三角形的面积为 . 故答案为:2. 【点睛】本题主要考查椭圆的简单几何性质,属基础题. 46. ## 【分析】由椭圆的方程可得左右焦点的坐标,再由题意可得 , 的坐标,进而求出 的面积,设内切圆的 半径 ,由内切圆的圆心分三角形成3个小三角形,由面积相等可得 的值. 【详解】解:由椭圆的方程可得 , ,又 ,所以 ,所以可得左焦点 ,右焦点 , 因为过点 且垂直于 轴的直线与椭圆 相交于 , , 第 35 页所以 , , 即 , , 所以 , , 设内切圆的半径为 ,则 , 可得 ,所以可得 , 故答案为: . 47. 【分析】根据 在 上求出m的值,联立直线方程和椭圆方程,结合中点坐标公式、韦达定理、弦 长公式即可求出a、b,从而确定椭圆的方程. 【详解】由于 的中点坐标为 且满足直线方程 , 即有 ,解得 ,则 的中点坐标为 . 设 , ,由 得 , 则 , ∵ 的中点坐标为 ,∴ ,即 , 则 ,即 ,故 , 又 , 解得 ,故 . ∴椭圆方程为 . 故答案为: . 48. ## 第 36 页【分析】通过 的位置关系可以判断出PQ为圆O的直径,由此易知四边形 为矩形,将 转化为焦 点三角形的面积后即可判断出 之间的关系,进行求解. 【详解】如下图所示: 由对称性知PQ为圆O的直径,所以 .又因为 , ,所以四边形 为矩形,所 以 .因为 , ,所以 , , , 则 . 故答案为: 【点睛】椭圆上一点与两焦点构成的三角形,称为椭圆的焦点三角形,与焦点三角形有关的计算或证明常利用正 弦定理、余弦定理、|PF|+|PF|=2a,得到a,c的关系. 1 2 49. ## 【分析】首先根据 和 的大小判断出以 为直径的圆在椭圆的内部,从而得出 或 ,从 而可求出 的面积. 【详解】易知 ,因为 ,所以以 为直径的圆在椭圆的内部, 即以 为直径的圆与椭圆没有交点, 所以要使 为直角三角形,则 或 . 不妨设 ,则 ,即 , 所以 的面积为 . 故答案为: . 第 37 页50.(1) ;(2)18. 【分析】(1)由题意分别求得a,b的值即可确定椭圆方程; (2)首先利用几何关系找到三角形面积最大时点N的位置,然后联立直线方程与椭圆方程,结合判别式确定点N到 直线AM的距离即可求得三角形面积的最大值. 【详解】(1)由题意可知直线AM的方程为: ,即 . 当y=0时,解得 ,所以a=4, 椭圆 过点M(2,3),可得 , 解得b2=12. 所以C的方程: . (2)设与直线AM平行的直线方程为: , 如图所示,当直线与椭圆相切时,与AM距离比较远的直线与椭圆的切点为N,此时△AMN的面积取得最大值. 联立直线方程 与椭圆方程 , 可得: , 化简可得: , 所以 ,即m2=64,解得m=±8, 第 38 页与AM距离比较远的直线方程: , 直线AM方程为: , 点N到直线AM的距离即两平行线之间的距离, 利用平行线之间的距离公式可得: , 由两点之间距离公式可得 . 所以△AMN的面积的最大值: . 【点睛】解决直线与椭圆的综合问题时,要注意: (1)注意观察应用题设中的每一个条件,明确确定直线、椭圆的条件; (2)强化有关直线与椭圆联立得出一元二次方程后的运算能力,重视根与系数之间的关系、弦长、斜率、三角形的 面积等问题. 51.(1) (2) 【分析】(1)由题意列方程组 ,求解方程组即可得解; (2)由直线和椭圆联立,利用弦长公式结合韦达定理求表示即可. 【详解】(1)由题意 解得 故椭圆C的方程为 . (2)设A(x1,y1),B(x2,y2), 由 ,得(2k2+1)x2+4kmx+2m2-8=0, 所以 , . 因为|AB|=4|,所以 , 所以 , 第 39 页整理得k2(4-m2)=m2-2,显然m2≠4,又k>0,所以 . 故 . 【点睛】本题主要考查了直线与椭圆相交的弦长问题,属于基础题. 52.(1) ;(2) . 【分析】(1)根据椭圆的焦点、离心率求椭圆参数,写出椭圆方程即可. (2)由(1)知曲线为 ,讨论直线 的存在性,设直线方程联立椭圆方程并应用韦达定理求弦 长即可. 【详解】(1)由题意,椭圆半焦距 且 ,则 ,又 , ∴椭圆方程为 ; (2)由(1)得,曲线为 当直线 的斜率不存在时,直线 ,不合题意: 当直线 的斜率存在时,设 , 又 , , 三点共线, 可设直线 ,即 , 由直线 与曲线 相切可得 ,解得 , 联立 ,得 ,则 , , ∴ . 53.(1) ;(2) . 【分析】(1)根据离心率可得 ,代入点可得 ,进而得方程; (2)先写出直线方程,再与椭圆联立,由 的面积为 可得解. 【详解】(1)因为椭圆 的离心率 , 所以 ,点 代入椭圆C得: ;联立解得 , , 所以 ,所求椭圆方程为 (2)直线 的斜率 , 第 40 页故直线 的方程为: ,. 与椭圆方程联立,消去 得: , ∴ 或 . ∴ 的面积为 54.(1)标准方程为 ,焦点(1,0);(2)存在,面积最大为 , . 【分析】(1)由抛物线的准线方程 根据条件可得 可求出 的值,从而得到答案. (2) 设 ,由 ,即得到 设点 到 的距离 ,则四边形 的面积 ,然后方程联立求出弦长 ,由点到直线的距离公式求出 ,从而求出答案. 【详解】解:(1)抛物线的准线方程 焦点坐标 , 则 抛物线的标准方程为 焦点(1,0) (2)设 由 得点 在直线 上,且 设点 到 的距离 ,四边形 的面积 . 由 ,得 则 ,则 因为 所以 第 41 页所以 由 的斜率分别为 可设 有 故直线 ,令 则直线 代入椭圆方程 ,得 点 到 的距离 , 四边形的面积 当且仅当 时面积最大为 【点睛】关键点睛:本题考查求抛物线的方程和求四边形面积的最值问题,解答本题的关键是用点的坐标表示出 故直线 ,令 ,进一步表示出 ,再求出点 到 的距离 ,得到 ,属于难题. 55.(1) ; (2) . 【分析】(1)将M点坐标带入方程,结合椭圆的几何性质及 可解; (2)设直线 ,根据弦长公式表示出CD、AP,从而得到面积函数关系然后可解. (1) 由题可得: , 第 42 页解得:b=c=1, 所以椭圆的标准方程为: . (2) 设直线 ,则 , 联立 , . 又 到直线 的距离 且 ,于是 , 又 ,从而 , 当且仅当 ,即 时等号成立,(满足 且 ). 综上, 面积的最大值为 . 第 43 页第 44 页