当前位置:首页>文档>专题13特殊的平行四边形中的的图形变换模型之翻折(折叠)模型解读与提分精练(人教版)(教师版)_初中数学_八年级数学下册(人教版)_常见几何模型全归纳-V13_2025版

专题13特殊的平行四边形中的的图形变换模型之翻折(折叠)模型解读与提分精练(人教版)(教师版)_初中数学_八年级数学下册(人教版)_常见几何模型全归纳-V13_2025版

  • 2026-04-08 22:47:01 2026-03-22 06:18:01

文档预览

专题13特殊的平行四边形中的的图形变换模型之翻折(折叠)模型解读与提分精练(人教版)(教师版)_初中数学_八年级数学下册(人教版)_常见几何模型全归纳-V13_2025版
专题13特殊的平行四边形中的的图形变换模型之翻折(折叠)模型解读与提分精练(人教版)(教师版)_初中数学_八年级数学下册(人教版)_常见几何模型全归纳-V13_2025版
专题13特殊的平行四边形中的的图形变换模型之翻折(折叠)模型解读与提分精练(人教版)(教师版)_初中数学_八年级数学下册(人教版)_常见几何模型全归纳-V13_2025版
专题13特殊的平行四边形中的的图形变换模型之翻折(折叠)模型解读与提分精练(人教版)(教师版)_初中数学_八年级数学下册(人教版)_常见几何模型全归纳-V13_2025版
专题13特殊的平行四边形中的的图形变换模型之翻折(折叠)模型解读与提分精练(人教版)(教师版)_初中数学_八年级数学下册(人教版)_常见几何模型全归纳-V13_2025版
专题13特殊的平行四边形中的的图形变换模型之翻折(折叠)模型解读与提分精练(人教版)(教师版)_初中数学_八年级数学下册(人教版)_常见几何模型全归纳-V13_2025版
专题13特殊的平行四边形中的的图形变换模型之翻折(折叠)模型解读与提分精练(人教版)(教师版)_初中数学_八年级数学下册(人教版)_常见几何模型全归纳-V13_2025版
专题13特殊的平行四边形中的的图形变换模型之翻折(折叠)模型解读与提分精练(人教版)(教师版)_初中数学_八年级数学下册(人教版)_常见几何模型全归纳-V13_2025版
专题13特殊的平行四边形中的的图形变换模型之翻折(折叠)模型解读与提分精练(人教版)(教师版)_初中数学_八年级数学下册(人教版)_常见几何模型全归纳-V13_2025版
专题13特殊的平行四边形中的的图形变换模型之翻折(折叠)模型解读与提分精练(人教版)(教师版)_初中数学_八年级数学下册(人教版)_常见几何模型全归纳-V13_2025版
专题13特殊的平行四边形中的的图形变换模型之翻折(折叠)模型解读与提分精练(人教版)(教师版)_初中数学_八年级数学下册(人教版)_常见几何模型全归纳-V13_2025版
专题13特殊的平行四边形中的的图形变换模型之翻折(折叠)模型解读与提分精练(人教版)(教师版)_初中数学_八年级数学下册(人教版)_常见几何模型全归纳-V13_2025版
专题13特殊的平行四边形中的的图形变换模型之翻折(折叠)模型解读与提分精练(人教版)(教师版)_初中数学_八年级数学下册(人教版)_常见几何模型全归纳-V13_2025版
专题13特殊的平行四边形中的的图形变换模型之翻折(折叠)模型解读与提分精练(人教版)(教师版)_初中数学_八年级数学下册(人教版)_常见几何模型全归纳-V13_2025版
专题13特殊的平行四边形中的的图形变换模型之翻折(折叠)模型解读与提分精练(人教版)(教师版)_初中数学_八年级数学下册(人教版)_常见几何模型全归纳-V13_2025版
专题13特殊的平行四边形中的的图形变换模型之翻折(折叠)模型解读与提分精练(人教版)(教师版)_初中数学_八年级数学下册(人教版)_常见几何模型全归纳-V13_2025版
专题13特殊的平行四边形中的的图形变换模型之翻折(折叠)模型解读与提分精练(人教版)(教师版)_初中数学_八年级数学下册(人教版)_常见几何模型全归纳-V13_2025版
专题13特殊的平行四边形中的的图形变换模型之翻折(折叠)模型解读与提分精练(人教版)(教师版)_初中数学_八年级数学下册(人教版)_常见几何模型全归纳-V13_2025版
专题13特殊的平行四边形中的的图形变换模型之翻折(折叠)模型解读与提分精练(人教版)(教师版)_初中数学_八年级数学下册(人教版)_常见几何模型全归纳-V13_2025版
专题13特殊的平行四边形中的的图形变换模型之翻折(折叠)模型解读与提分精练(人教版)(教师版)_初中数学_八年级数学下册(人教版)_常见几何模型全归纳-V13_2025版
专题13特殊的平行四边形中的的图形变换模型之翻折(折叠)模型解读与提分精练(人教版)(教师版)_初中数学_八年级数学下册(人教版)_常见几何模型全归纳-V13_2025版
专题13特殊的平行四边形中的的图形变换模型之翻折(折叠)模型解读与提分精练(人教版)(教师版)_初中数学_八年级数学下册(人教版)_常见几何模型全归纳-V13_2025版
专题13特殊的平行四边形中的的图形变换模型之翻折(折叠)模型解读与提分精练(人教版)(教师版)_初中数学_八年级数学下册(人教版)_常见几何模型全归纳-V13_2025版
专题13特殊的平行四边形中的的图形变换模型之翻折(折叠)模型解读与提分精练(人教版)(教师版)_初中数学_八年级数学下册(人教版)_常见几何模型全归纳-V13_2025版
专题13特殊的平行四边形中的的图形变换模型之翻折(折叠)模型解读与提分精练(人教版)(教师版)_初中数学_八年级数学下册(人教版)_常见几何模型全归纳-V13_2025版
专题13特殊的平行四边形中的的图形变换模型之翻折(折叠)模型解读与提分精练(人教版)(教师版)_初中数学_八年级数学下册(人教版)_常见几何模型全归纳-V13_2025版
专题13特殊的平行四边形中的的图形变换模型之翻折(折叠)模型解读与提分精练(人教版)(教师版)_初中数学_八年级数学下册(人教版)_常见几何模型全归纳-V13_2025版
专题13特殊的平行四边形中的的图形变换模型之翻折(折叠)模型解读与提分精练(人教版)(教师版)_初中数学_八年级数学下册(人教版)_常见几何模型全归纳-V13_2025版
专题13特殊的平行四边形中的的图形变换模型之翻折(折叠)模型解读与提分精练(人教版)(教师版)_初中数学_八年级数学下册(人教版)_常见几何模型全归纳-V13_2025版
专题13特殊的平行四边形中的的图形变换模型之翻折(折叠)模型解读与提分精练(人教版)(教师版)_初中数学_八年级数学下册(人教版)_常见几何模型全归纳-V13_2025版
专题13特殊的平行四边形中的的图形变换模型之翻折(折叠)模型解读与提分精练(人教版)(教师版)_初中数学_八年级数学下册(人教版)_常见几何模型全归纳-V13_2025版
专题13特殊的平行四边形中的的图形变换模型之翻折(折叠)模型解读与提分精练(人教版)(教师版)_初中数学_八年级数学下册(人教版)_常见几何模型全归纳-V13_2025版
专题13特殊的平行四边形中的的图形变换模型之翻折(折叠)模型解读与提分精练(人教版)(教师版)_初中数学_八年级数学下册(人教版)_常见几何模型全归纳-V13_2025版
专题13特殊的平行四边形中的的图形变换模型之翻折(折叠)模型解读与提分精练(人教版)(教师版)_初中数学_八年级数学下册(人教版)_常见几何模型全归纳-V13_2025版
专题13特殊的平行四边形中的的图形变换模型之翻折(折叠)模型解读与提分精练(人教版)(教师版)_初中数学_八年级数学下册(人教版)_常见几何模型全归纳-V13_2025版
专题13特殊的平行四边形中的的图形变换模型之翻折(折叠)模型解读与提分精练(人教版)(教师版)_初中数学_八年级数学下册(人教版)_常见几何模型全归纳-V13_2025版
专题13特殊的平行四边形中的的图形变换模型之翻折(折叠)模型解读与提分精练(人教版)(教师版)_初中数学_八年级数学下册(人教版)_常见几何模型全归纳-V13_2025版

文档信息

文档格式
docx
文档大小
5.585 MB
文档页数
37 页
上传时间
2026-03-22 06:18:01

文档内容

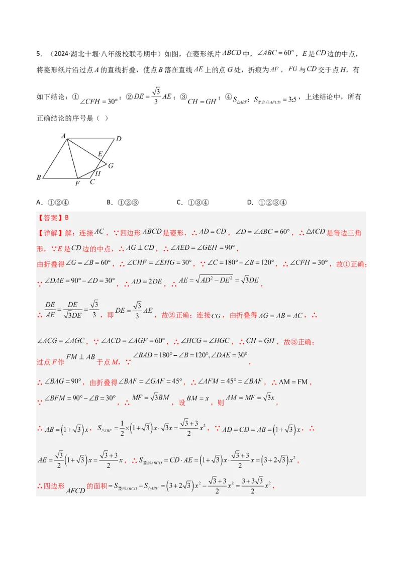
专题13.特殊的平行四边形中的的图形变换模型--翻折(折叠)模型 几何变换中的翻折(折叠、对称)问题是历年中考的热点问题,试题立意新颖,变幻巧妙,主要考查 学生的识图能力及灵活运用数学知识解决问题的能力。翻折以矩形对称最常见,变化形式多样。无论如何 变化,解题工具无非全等、相似、勾股以及三角函数,从条件出发,找到每种对称下隐藏的结论,往往是 解题关键。本专题以各类几个图形(菱形、矩形、正方形等)为背景进行梳理及对应试题分析,方便掌握。 ................................................................................................................................2 模型1.矩形的翻折模型...................................................................................................................2 模型2.菱形的翻折模型.................................................................................................................30 模型3.正方形的翻折模型..............................................................................................................54 ..............................................................................................................................74 【知识储备】 折叠问题的解决,大都是以轴对称图形的性质作为切入点,而数形变化,是解决这类问题的突破口。有 了“折”就有了”形”--轴对称图形、全等形;有了“折”就有了“数”--线段之间、角与角之间的数量 关系。"折” 就为“数”与“形”之间的转化搭起了桥梁。特殊平行四边形中的折叠问题,还要考虑特殊 平行四边形本身的性质,有时也需要用到计算工具:相似和勾股定理。 折叠的性质:重合部分是全等图形,对应边、对应角相等;对称点的连线被对称轴垂直平分。 模型1.矩形的翻折模型例1.(2023春·辽宁葫芦岛·八年级统考期末)如图,在矩形 中, 是 的中点,将 沿 翻折得到 ,延长 交 于点 ,若 , ,则 的长度为( ) A. B. C. D.3 【答案】A 【详解】连接 , 为矩形, 是 的中点 由 翻折得到, , , ,设 ,则 .在 和 中 在 中 即 解得: 故选A 例2.(2023春·广东深圳·八年级校考期中)如图, 是一张长方形纸片,且 .沿过点D的 折痕将A角翻折,使得点A落在 上(如图中的点 ),折痕交 于点G,则 ( ) A. B. C. D. 【答案】B 【详解】解:取 的中点E,连接 ,∵四边形 为矩形,∴ , , 根据折叠的性质可得, , ∵ ,∴ ,在 中, , ∵点E为 的中点,∴ ,∴ ,∴ ,∴ , ∵ ,∴ ,∴ .故选:B. 例3.(2023春·河北承德·八年级统考期末)如图,在矩形 中, ,翻折 ,使点 落在对角线 上 处.(1) __________; 是 的__________.(中线、角平分线、高线) (2)求 和 的长.【答案】(1) ,角平分线(2) , 【详解】(1)解:∵四边形 为矩形,∴ , ∵ ,∴在 中, , ∵翻折 ,使点 落在对角线 上 处,∴ , ∴ 是 的角平分线,故答案为: ,角平分线; (2)解:由折叠知: , ∴ 设 ,在 中,运用勾股定理得: 解得: 即: 例4.(2023春·重庆涪陵·八年级统考期末)在矩形 中, , ,点M在 边上,连 接 ,将 沿 翻折,得到 , 交 于点N,若点N为 的中点,则 的长度为 . 【答案】 【详解】解:点N为 的中点,∴ , ∵ 是矩形,∴ , ,∴ , 又∵ 沿 翻折,得到 ,∴ , , , ∴ ,∴ ,在 中, , ∴ ,故答案为: .例5.(2023春·陕西商洛·八年级统考期末)如图,在矩形 中, , ,将矩形折叠, 使点C与点A重合,则 的长为( ) A.20 B.18 C.16 D.15 【答案】D 【详解】解:设 ,则 ,∵沿 翻折后点C与点A重合,∴ , 在 中, ,即 ,解得 , ∴ ,由翻折的性质得, , ∵矩形 的对边 ,∴ ,∴ ,∴ ,故选:D. 例6.(2023春·浙江宁波·八年级校考期中)如图,矩形 中, , ,E,F分别为边 和 上的两个动点,满足 .将四边形 沿直线 翻折,得到四边形 ,其中G为A的对 称点.当点G落在直线 上时, 的长为 . 【答案】2 【详解】解:连接 交 于点O,连接 、 、 , ∵四边形 是矩形,∴ ,且 , ∵点G和点A关于 对称,∴ 垂直且平分 ,∴ , ∵ ,∴ ,∵ , ∴ , 又∵ ,∴ ,∴ , ∴点O是矩形 的中心,∴ ,∴ ,∴当点G落在直线 上时,点D与点G重合,∴ , , ∵ ,∴ ,故答案为:2. 例7.(2023春·浙江金华·八年级统考期末)如图,在矩形 中, , ,点P,Q分别为 AB,AD上的动点,将 沿 翻折得到 ,将 沿 翻折得到 在动点P,Q所有位 置中,当F,E,P三点共线, 时, . 【答案】3 【详解】解:在矩形 中, , ,∴ , , ∵翻折,∴ , , , ,∴ , 又 ,∴ ,设 ,则 , , , ∴ ,∴ ,∴ .故答案为:3.例8.(2023秋·山西·九年级专题练习)综合与实践: 在综合与实践课上,老师让同学们以“矩形纸片的折叠”为主题开展数学活动. 在矩形 中,E为 边上一点,F为 边上一点,连接 、 ,分别将 和 沿 、 翻折,点D、B的对应点分别为点G、H,且C、H、G三点共线. (1)如图1,若F为 边的中点, ,点G与点H重合,则 = °, = ; (2)如图2,若F为 的中点, 平分 , , ,求 的度数及 的长; (3) , ,若F为 的三等分点,请直接写出 的长 . 【答案】(1)45;2(2) ; (3)2或 【详解】(1)∵ ,四边形 是矩形,∴四边形 是正方形,∴ , , ∵将 和 沿 、 翻折,点D、B的对应点分别为点G、H, ∴ , ,∵ ,∴ , ∵F为 的中点,∴ , ∵将 和 沿 、 翻折,点D、B的对应点分别为点G、H, ∴ , ,设 ,则 ,∴ , ∵ ,∴ ,∴ ,∴ .故答案为:45;2; (2)如图2,延长 ,交 于点M,∵ 平分 ,∴ ,由折叠的性质可知, , , ∴ ,∴ , ∵ , ,∴ 和 均为等腰直角三角形, ∴ , ,∴ ,即 ,解得 . (3)分两种情况:①当 时,如图3,过点E作 ,交 的延长线于点P,连接 ,则 四边形 为矩形, , , 由折叠的性质可知, , ,∴ , ∵ ,∴ , ,∴ , 在 和 中, ,∴ ,∴ , 设 , , ,∴ ,解得 ,∴ . ②当 时,如图4,过点E作 ,交 的延长线于点P,连接 ,则四边形 为矩 形, , ,由折叠的性质可知, , ,∴ , ∵ ,∴ , ,设 , , , ∵ ,∴ ,解得 ,∴ . 综上可知, 的长为2或 . 模型2.菱形的翻折模型例1.(2023春·重庆八年级专题练习)如图,在菱形 中, ,将菱形折叠,使点 恰好落在对角线 上的点 处(不与 , 重合),折痕为 ,若 , ,则 的长为 . 【答案】 / 【详解】解:过点 作 于 ,则 由折叠性质得 , ∵在菱形 中, ,∴ , ,∴ 是等边三角形, ∴ , ,即 , ∴ , ,设 ,则 , , ,在 中, ,由 得 , 解得 ,∴ . 例2.(2023春·云南昆明·八年级统考期末)如图,将菱形纸片 折叠,使点A恰好落在菱形对角线 的交点O处,折痕为 ,则点E、F分别为边 、 的中点.若 , ,则 . 【答案】 【详解】解:连接 、 ,如图所示: ∵点O为对角线的交点,∴ 、 交于点O,∵四边形 为菱形, ∴ , , , , , ∵ 为 的中点,∴ ,∵ , , ∴ ,∵ ,∴ 为等边三角形, ∴ ,∴ ,∴ ,∴ ,∵点E、F分别为边 、 的中点,∴ .故答案为: . 例3.(2023秋·江苏·九年级专题练习)如图,菱形纸片 , ,将该菱形纸片折叠, 使点B恰好落在 边的中点 处,折痕与边 分别交于点M、N.则 的长为 . 【答案】 【详解】解:过点 作 与 的延长线交于点E, ∵四边形 是菱形,∴ , , ∵ 是 的中点,∴ ,∵ ,∴ , ∴ ,∴ ,设 ,则 , 由折叠的性质知: ,在 中, , ∴ ,解得: , ,即 的长为 ,故答案为: . 例4.(2023秋·广西 九年级专题练习)如图,在菱形纸片 中, ,P为 中点.折叠该纸 片使点C落在点 处且点P在 上,折痕为 ,则 的大小为( )A. B. C. D. 【答案】D 【详解】解:∵在菱形纸片 中, ,∴ ,连接 , ∴ 为等边三角形,∵P为 中点,∴ ,∵ ,∴ ,∴ , ∵折叠该纸片使点C落在点 处且点P在 上,折痕为 , ∴ ,∴ ;故选D. 例5.(2023春·浙江·八年级专题练习)对角线长分别为6和8的菱形 如图所示,点O为对角线的交 点,过点O折叠菱形,使B, 两点重合, 是折痕.若 ,则 的长为( ) A.3.5 B.4.5 C.5.5 D.6.5 【答案】A 【详解】解:连接 、 ,如图, ∵点O为菱形 的对角线的交点,∴ , , ,在 中, ,∵ ,∴ , 在 和 中, ,∴ ,∴ , ∵过点O折叠菱形,使B, 两点重合, 是折痕,∴ , ∴ ,∴ ,故选:A. 例6.(2023·山东九年级课时练习)如图,在折叠千纸鹤时,其中某一步需要将如图所示的菱形纸片 分别沿 , 所在直线进行折叠,使得菱形的两边 , 重合于 .若此时 , 则 . 【答案】30°/30度 【详解】解:∵四边形ABCD为菱形,∴∠B=∠D,∠B+∠BAD=180°, 由折叠的性质得:∠B=∠AOM,∠D=∠AON,∠BAM=∠OAM=∠DAN=∠OAN= ∠BAD, ∵∠MON=80°,∴∠AOM=∠AON= (360°-80°)=140°, ∴∠B=∠AOM=140°,∴∠BAD=40°,∴∠OAM=10°,∴∠AMO=180°-140°-10°=30°,故答案为:30°. 模型3.正方形的翻折模型例1.(2023春·广西河池·八年级统考期末)如图,在正方形 中, , 是 的中点,将 沿 翻折至 , 是 的中点,连接 ,则 的长度是 . 【答案】 【详解】解: 四边形 是正方形, , , 是 的中点, ,在 中,由勾股定理,得 , 是由 翻折得到的, 是直角三角形, ,是 的中点, ,故答案为: . 例2.(2023·江苏·八年级假期作业)如图,在正方形ABCD中,E为CD边上一点,将△AED沿着AE翻 折得到△AEF,点D的对应点F恰好落在对角线AC上,连接BF.若EF=2,则BF2=( ) A.4 +4 B.6+4 C.12 D.8+4 【答案】D 【详解】解:过点F作FG⊥BC交于G点, 由折叠可知,DE=EF,AD=AF,∠D=∠EFA=90°,设正方形的边长为x, ∵EF=2,∴DE=2,EC=x﹣2,AC x, 在Rt△EFC中,EC2=FE2+FC2,∴(x﹣2)2=4+( ﹣x)2, 解得x=2 2,∴FC= x﹣x=2, ∵∠ACB=45°,∴FG=CG ,∴BG 2, 在Rt△BFG中,BF2=BG2+GF2=( 2)2+2=8+4 ,故选:D. 例3.(2023·江苏·九年级专题练习)如图,ABCD是一张边长为4cm的正方形纸片,E,F分别为AB,CD 的中点,沿过点D的折痕将A角翻折,使得点A落在EF上的点A′处,则EG= cm.【答案】 【详解】解:∵ABCD是一张边长为4cm的正方形纸片,E、F分别为AB,CD的中点, ∴AE=DF=2cm,EF=AD=4cm, ∵沿过点D的折痕将A角翻折,使得点A落在EF上的点A′处,∴AG=A′G,AD=A′D=4cm, 在Rt△DFA′中, ,∴ , 在Rt△A′EG中,设EG=x,则A′G=AG=(2−x)cm, , 即 ,解得 .故答案为: . 例 4.(2023·山西朔州·校联考模拟预测)如图,在正方形 中, ,将其沿 翻折,使 ,顶点 恰好落在线段 上的点 处,点 的对应点为点 .则线段 的长为 . 【答案】 【详解】解:设 , 正方形 中, , , , , , 四边形 是四边形 折叠得到, , , , 在 中, ,即 ,解得 ,经检验 是原方程的解, 原方程的解为 , ,故答案为: . 例5.(2023·广东九年级课时练习)如图,正方形 中, ,点E在边 上,且 .将 沿 对折至 ,延长 交边 于点G,连接 ,则下列结论:① ; ② ③ ;④AG//CF;其中正确的有 (填序号). 【答案】①②③④ 【详解】∵四边形 是正方形,∴ ,AB=BC=CD=AD=6, ∵ ,∴DE=2,∴CE=4, ∵将 ADE沿AE对折至 AFE, ∴∠AFE=∠ADE=90°,AF=AD,EF=DE△=2,∴∠AFG=∠△ABG=90°,AF=AB, 在Rt ABG和Rt AFG中, ,∴Rt ABG≌Rt AFG(HL),∴①正确; △ △ △ △ ∵将 ADE沿AE对折至 AFE,∴ ,∵Rt ABG≌Rt AFG,∴ , △ △ △ △ ∵ ,∴ , ∴∠AEF+∠ADF=135°,∴∠AGB+∠AED=135°,∴②正确;设BG=GF=x,则CG=6﹣x, EG=x+2, ∵ CE=4,∴(x+2)2=(6﹣x)2+42,解得x=3,∴BG=GF=3,∴③正确; ∵BG=FG=3,∴CG=BC-BG=6-3=3,∴CG=FG,∴∠GCF=∠GFC, ∵∠AGB=∠AGF,∴∠BGF=2∠AGF=2∠GFC,∴∠AGF=∠GFC,∴AG∥CF∴④正确; 故答案为:①②③④. 例6.(2023·广东深圳·统考中考模拟)如图在正方形 中, ,将 沿 翻折,使点 对应点 刚好落在对角线 上,将 沿 翻折,使点 对应点落在对角线 上,求 .【答案】 【详解】作 于点 ,由折叠可知: , , ∴正方形边长 ∴ .故答案为 . 例7.(2023春·江苏宿迁·八年级统考期末)问题情境:如图1,在正方形 中, ,点 是边 上一点(点 不与 重合),将 沿直线 翻折,点 落在点 处. (1)如图2,当点 落在对角线 上时,求 的长.(2)如图3,连接 分别交 于点 , 点 ,连接 并延长交 于点 ,当 为 中点时,试判断 与 的位置关系,并说明理由. (3)如图4,在线段 上取一点 ,且使 ,连接 ,则在点 从点 运动到点 的过程中, 的值是否存在最小值?如果存在,请求出其值;若果不存在,请说明理由. 【答案】(1) (2) ,理由见解析.(3) 【详解】(1)根据折叠的性质可知 , ,∴ . ∵ ,∴ 为等腰直角三角形.∴ . ∴ .∴ .∴ .∴ .∴ . (2) ,理由如下:如图所示,连接 ,交 于点 . 根据题意可知 为线段 的垂直平分线,∴ . ∵ 为 中点,∴ ,即 . (3)如图所示,在线段 上取一点 ,使 ,连接 , . 在 和 中, ∴ .∴ .∴ . 观察图形可知,当点 , , 在同一条直线上时, 最小,最小值为 . ∴ . 1.(2024·湖北·八年级专题练习)如图,折叠菱形纸片 ,使得 对应边过点C,若 ,当 时, 的长是( )A. B. C. D. 【答案】B 【详解】解:如图所示,延长 交于点G, ∵四边形 是菱形, ,∴ ,∴ 由折叠的性质可知 ,∵ ,∴ , 又∵ ,∴ ,∴ ,∴ , 设 ,则 ,∴ , 在 中,依据勾股定理可得 ,∴ , 解得 ,(负值已舍去)∴ ,故选B. 2.(2024·湖北恩施·八年级校考期末)如图,菱形纸片ABCD中,∠A=60°,P为AB的中点,折叠菱形纸 片ABCD,使点C落在DP所在的直线上,得到经过点D的折痕DE,则∠DEC的度数是( ) A.45° B.60° C.75° D.80°【答案】C 【详解】解:如图:连接BD, ∵四边形ABCD为菱形,∠A=60°,∴△ABD为等边三角形,∠ADC=120°,∠C=60°, ∵P为AB的中点,∴DP为∠ADB的平分线,即∠ADP=∠BDP=30°, ∴∠PDC=90°,∴由折叠的性质得到∠CDE=∠PDE=45°, 在△DEC中,∠DEC=180°-(∠CDE+∠C)=75°.故选C. 3.(2024·重庆合川·八年级统考期末)如图,在矩形 中, , 为 的中点,连接 , 将 沿 所在直线翻折至四边形 所在平面内,得 ,延长 与 交于点 ,若 ,则四边形 的面积为( ) A. B.8 C.12 D.16 【答案】A 【详解】解:∵四边形 是矩形,∴ , , , ∵ 为 的中点,∴ , ∵ 沿 所在直线翻折至四边形 所在平面内,得 , ∴ , , ,连接 ,如图:∴ ,∴ ,∴ , 设 ,则 ,, , , 在 中, ,即 ,解得: (负值舍去), ∴ ,∴ ,∴ .故选:A. 4.(2023·陕西西安·八年级校考期末)如图,正方形ABCD的边长为5,点E是CD上的一点,且DE=2, 将正方形沿AE翻折,点D落在点M处,延长EM交BC于点F,则BF的长为( ) A. B. C. D. 【答案】D 【详解】解:连接AF,如图所示: ∵四边形ABCD是正方形,∴∠B=∠C=∠D=90°,AB=AD=CD=BC=5, ∵DE=2,∴CE=3,由折叠的性质得:ME=DE=2,∠AME=∠D=90°,AM=AD, ∴∠AMF=90°,AB=AM,在Rt ABF和Rt AMF中, , △ △ ∴Rt ABF≌Rt AMF(HL),∴BF=MF,设BF=MF=x,则CF=5﹣x,EF=2+x, △ △ 在Rt CEF中,由勾股定理得:32+(5﹣x)2=(x+2)2,解得:x= ,∴BF= ,故选:D. △5.(2024·湖北十堰·八年级校联考期中)如图,在菱形纸片 中, ,E是 边的中点, 将菱形纸片沿过点A的直线折叠,使点B落在直线 上的点G处,折痕为 , 与 交于点H,有 如下结论:① ;② ;③ ;④ ,上述结论中,所有 正确结论的序号是( ) A.①②④ B.①②③ C.①③④ D.①②③④ 【答案】B 【详解】解:连接 ,∵四边形 是菱形,∴ , ,∴ 是等边三角 形,∵E是 边的中点,∴ ,∴ , 由折叠得 ,∴ ,∵ ,∴ ,故①正确; ∵ ,∴ ,∴ , ∴ ,即 ,故②正确;连接 ,由折叠得 ,∴ ,∵ ,∴ ,∴ ,故③正确; 过点F作 于点M,∵ , ∴ ,由折叠得 ,∴ ,∴ , ∵ ,∴ ,设 ,则 , ∴ , ,∵ ,∴ ,∴ , ∴四边形 的面积 ,∴ ,故④错误;故选:B. 6.(2023春·重庆铜梁·八年级校考期末)如图,在矩形 中,点P在 边上,连接 ,将 沿 翻折得到 , 沿 翻折得到 , 与 交于点E.若 , ,则 的度数为( ) A. B. C. D. 【答案】A 【详解】解:∵矩形 中,∴ ,∴ , 由折叠的性质得 ,∴ , ∴ ,由折叠的性质得 , ∴ ,故选:A. 7.(2023·江苏苏州·校考二模)如图,正方形 的边长为10,点 是边 的中点,点 是边 上一 动点,连接 ,将 沿 翻折得到 ,连接 ,则 的最小值是( )A. B. C. D. 【答案】A 【详解】解: 正方形 的边长为 , , , 点 是边 的中点, ,连接 , , 将 沿 翻折得到 , , , 当点 、 、 三点共线时, 最小, ∴ 的最小值为 故选:A. 8.(2023春·福建泉州·八年级统考期中)已知:如图①,已知矩形 的对角线 的垂直平分线与边 、 分别交于点 、 将矩形纸片 沿着 翻折,使点 与点 重合,点 与点 重合,连 接 ,①如图1,若 , ,则 ;②如图2,直线 分别交平行四边形 的边 、 于点 、 ,将平行四边形 沿着 翻折,使点 与点 重合,点 与点 重合, 连接 ,若 , , ,则四边形 的面积是 .【答案】 15 【详解】解:①如图,连接 ,则 , 四边形 为矩形, , , , , , , 在 中, , 根据折叠的性质可得, , , , , , , , , , 在 和 中, , , , , , 四边形 为菱形,设 ,则 , 在 中, , ,解得: , , , ;故答案为: ; ②如图,过点 作 的延长线于点 , 四边形 为平行, , , , , , , 根据折叠的性质可得, , , , , , , , , ,在 和 中, , , , , , 四边形 为菱形, , , , , 设 ,则 , ,在 中, , ,解得: , , .故答案为:15. 9.(2023·湖北宜昌·统考中考真题)如图,小宇将一张平行四边形纸片折叠,使点 落在长边 上的点 处,并得到折痕 ,小宇测得长边 ,则四边形 的周长为 . 【答案】 【详解】解: 四边形 是平行四边形, , , 由折叠得: , , , , , , , , 四边形 是平行四边形, . 故答案: . 10.(2023·江苏扬州·统考中考真题)如图,已知正方形 的边长为1,点E、F分别在边 上,将正方形沿着 翻折,点B恰好落在 边上的点 处,如果四边形 与四边形 的面积 比为3∶5,那么线段 的长为 .【答案】 【详解】解:如图所示,连接 ,过点 作 于点 , ∵正方形 的边长为1,四边形 与四边形 的面积比为3∶5, ∴ ,设 ,则 ,则 ∴ 即 ∴ ∴ ,∴ , ∵折叠,∴ ,∴ ,∵ ,∴ , 又 , ∴ ,∴ 在 中, 即 解得: ,故答案为: . 11.(2024·黑龙江齐齐哈尔·中考真题)已知矩形纸片 , , ,点P在边 上,连接 ,将 沿 所在的直线折叠,点B的对应点为 ,把纸片展平,连接 , ,当 为直 角三角形时,线段 的长为 . 【答案】 或2 【详解】解:∵四边形 为矩形,∴ , , ,当 时,如图所示:∵ ,∴点 在 上,根据折叠可知: , , 设 ,则 ,∴ , ,在 中,根据勾股定理得: , 即 ,解得: ,即 ; 当 ,如图所示:根据折叠可知: ,∴ , ∵ , ,∴ ,∴ ,∴ , ∵ ,∴ ;综上分析可知: 或2.故答案为: 或2, 12.(2023·河南信阳·校考三模)如图,在矩形ABCD中, , ,将矩形翻折,使边AD与边 BC重合,展开后得到折痕MN,E是AD的中点,动点F从点D出发,沿 的方向在DC和CB上 运动,将矩形沿EF翻折,点D的对应点为G,点C的对应点为 ,当点G恰好落在MN上时,点F运动 的距离为 . 【答案】 或 【详解】解 :①当点 再线段 上运动时:由题意得: ∴∵ ∴四边形 为矩形 ∴ ∴ , 设 ,则 在 ∴ 解得: 点F运动的距离为: ②当点 再线段 上运动时: 由题意得: ∴ ∵ ∴ , ∴ 设 , ,则 在 ∴ 在 ∴ 解得: 点F运动的距离为: ,故答案为: 或9 13.(2023·四川·九年级校考阶段练习)如图,在菱形纸片 中, , ,将菱形纸片翻 折,使点 落在 的中点 处,折痕为 ,点 、 分别在边 、 上,则 的值为 . 【答案】 【详解】连接 , ,∵ 为 中点, ,∴ 为等边三角形,∴ , . 设 ,则 , ,在 中, , ,解得 ,∴ , ,∴ . 14.(2023·辽宁鞍山·统考中考真题)如图,在平面直角坐标系中,矩形 的边 , 分别在 轴、 轴正半轴上,点 在 边上,将矩形 沿 折叠,点 恰好落在边 上的点 处.若 , ,则点 的坐标是 . 【答案】 【详解】解:∵四边形 是矩形,∴ , ∵折叠,∴ ,在 中, ∴ ,∴设 ,则 , ∵折叠,∴ ,在 中, , ∴ ,解得: ,∴ ,∴ 的坐标为 ,故答案为: . 15.(2023·四川成都·模拟预测)如图,在菱形 中, ,将菱形折叠,使点 恰好落在对 角线 上的点 处 不与 、 重合 ,折痕为 ,若 , ,则 的长为 .【答案】 【详解】解:作 于 ,由折叠的性质可知, ,由题意得, , 四边形 是菱形, , , 为等边三角形, ,设 ,则 , 在 中, , ,在 中, , 即 ,解得, ,即 ,故答案为: . 16.(2023春·河南商丘·八年级统考期末)如图,点 在正方形 的 边上(不与点 重合), 连接 ,将 沿 翻折,使点 落在点 处,作射线 交 于点 ,交 于点 ,连接 . (1)求证: .(2)过点 作 交射线 于点 .①求 的度数;②直接写出线段 与 之间的数量关系. 【答案】(1)见解析(2)① ;② 【详解】(1)证明:∵四边形 是正方形,∴ , ∴ ,∴ , ∴ ,∴ ; (2)①如图,∵点D与点F关系 对称,∴ ,∴ ,∵ ,∴ ,∴ ,∴ , ∴ ,∴ , ∵ ,∴ ; ②过点A作 点P, ∵ ,∴ ,∴ 是等腰直角三角形,∴ , ∵ ,∴ , , ∴ ,∴ , 又∵ ,∴ ,∴ ,∴ , ∵ ,∴ . 17.(2024·江西·九年级统考期中)【操作体验】 如图,在正方形 中,点 在 边上,点 在 边上.将四边形 沿直线 翻折,得到四边 形 ,顶点 落在 边上的点 (不与点 、 重合)处,点 落在正方形右侧的点 处, 与 相交于点 . (1)在图1中,若 , ,则 ______ , 的度数为____________ 【操作体验】(2)当 时,如图2,求证: . 【操作体验】(3)利用图3探究,当正方形边长不变时,随着折痕 的变化, 的周长是否会发生 变化?如果会,请说明变化规律;如果不会,请加以证明,并探究正方形周长与 的周长的关系.【答案】(1) , ;(2)见解析;(3)不会,三角形 的周长是正方形周长的一半,证明 见解析 【详解】(1)解:∵四边形 是正方形,∴ , , ∵ ,∴ 是等腰直角三角形,∴ , ∵ ,∴ ,∴在 中, , 由折叠的性质可知: ,∴ , ∴ ,由折叠的性质可知: , , ∵ ,∴ ,∴ , ∵ ,∴ , 故答案为 , ; (2)证明:∵四边形 是正方形,∴ , , 由折叠的性质可知: , , ∵ ,∴在 中, ,∴ , ∵ ,∴ ,∵ ,∴ , ∵ ,由折叠的性质可知: , , ∴在 中, ,∴ , (3)解: 的周长不会发生变化,理由如下: ∵四边形 是正方形,∴ , , 设正方形边长为 , ,∴ , ,∴ 周长为 ,设 周长为 , 由折叠的性质可得: , ,∴ , ∵ ,∴ ,∴ , ∴ ,,得 , ∵四边形 的周长为 ,∴ 的周长是四边形 的周长的 , ∴当正方形边长不变时,随着折痕 的变化, 的周长不会发生变化, 的周长是正方形周长 的 . 18.(2023·江苏·统考中考真题)综合与实践 定义:将宽与长的比值为 ( 为正整数)的矩形 称为 阶奇妙矩形.(1)概念理解:当 时,这个矩形为1阶奇妙矩形,如图(1),这就是我们学习 过的黄金矩形,它的宽( )与长 的比值是_________. (2)操作验证:用正方形纸片 进行如下操作(如图(2)): 第一步:对折正方形纸片,展开,折痕为 ,连接 ; 第二步:折叠纸片使 落在 上,点 的对应点为点 ,展开,折痕为 ; 第三步:过点 折叠纸片,使得点 分别落在边 上,展开,折痕为 . 试说明:矩形 是1阶奇妙矩形. (3)方法迁移:用正方形纸片 折叠出一个2阶奇妙矩形.要求:在图(3)中画出折叠示意图并作 简要标注.(4)探究发现:小明操作发现任一个 阶奇妙矩形都可以通过折纸得到.他还发现:如图(4),点 为正方形 边 上(不与端点重合)任意一点,连接 ,继续(2)中操作的第二步、 第三步,四边形 的周长与矩形 的周长比值总是定值.请写出这个定值,并说明理由. 【答案】(1) ;(2)见解析;(3) ,理由见解析 【详解】解:(1)当 时, ,故答案为: . (2)如图(2),连接 , 设正方形的边长为 ,根据折叠的性质,可得 设 ,则 根据折叠,可得 , , 在 中, ,∴ , 在 中, ∴ 解得: ∴ ∴矩形 是1阶奇妙矩形. (3)用正方形纸片 进行如下操作(如图): 第一步:对折正方形纸片,展开,折痕为 ,再对折,折痕为 ,连接 ; 第二步:折叠纸片使 落在 上,点 的对应点为点 ,展开,折痕为 ; 第三步:过点 折叠纸片,使得点 分别落在边 上,展开,折痕为 . 矩形 是2阶奇妙矩形, 理由如下,连接 ,设正方形的边长为 ,根据折叠可得 ,则 , 设 ,则 根据折叠,可得 , , 在 中, ,∴ ,在 中, ∴ 解得: ∴ 当 时, ∴矩形 是2阶奇妙矩形. (4)如图(4),连接诶 ,设正方形的边长为1,设 ,则 , 设 ,则 根据折叠,可得 , , 在 中, ,∴ , 在 中, ∴ 整理得, ∴四边形 的边长为 矩形 的周长为 ,∴四边形 的周长与矩形 的周长比值总是定值