当前位置:首页>文档>专题18.4平行四边形(分层练习)(培优练)-(人教版)_初中数学_八年级数学下册(人教版)_专题突破练习-V4

专题18.4平行四边形(分层练习)(培优练)-(人教版)_初中数学_八年级数学下册(人教版)_专题突破练习-V4

  • 2026-03-27 04:21:09 2026-03-24 01:47:26

文档预览

专题18.4平行四边形(分层练习)(培优练)-(人教版)_初中数学_八年级数学下册(人教版)_专题突破练习-V4
专题18.4平行四边形(分层练习)(培优练)-(人教版)_初中数学_八年级数学下册(人教版)_专题突破练习-V4
专题18.4平行四边形(分层练习)(培优练)-(人教版)_初中数学_八年级数学下册(人教版)_专题突破练习-V4
专题18.4平行四边形(分层练习)(培优练)-(人教版)_初中数学_八年级数学下册(人教版)_专题突破练习-V4
专题18.4平行四边形(分层练习)(培优练)-(人教版)_初中数学_八年级数学下册(人教版)_专题突破练习-V4
专题18.4平行四边形(分层练习)(培优练)-(人教版)_初中数学_八年级数学下册(人教版)_专题突破练习-V4
专题18.4平行四边形(分层练习)(培优练)-(人教版)_初中数学_八年级数学下册(人教版)_专题突破练习-V4
专题18.4平行四边形(分层练习)(培优练)-(人教版)_初中数学_八年级数学下册(人教版)_专题突破练习-V4
专题18.4平行四边形(分层练习)(培优练)-(人教版)_初中数学_八年级数学下册(人教版)_专题突破练习-V4
专题18.4平行四边形(分层练习)(培优练)-(人教版)_初中数学_八年级数学下册(人教版)_专题突破练习-V4
专题18.4平行四边形(分层练习)(培优练)-(人教版)_初中数学_八年级数学下册(人教版)_专题突破练习-V4
专题18.4平行四边形(分层练习)(培优练)-(人教版)_初中数学_八年级数学下册(人教版)_专题突破练习-V4
专题18.4平行四边形(分层练习)(培优练)-(人教版)_初中数学_八年级数学下册(人教版)_专题突破练习-V4
专题18.4平行四边形(分层练习)(培优练)-(人教版)_初中数学_八年级数学下册(人教版)_专题突破练习-V4
专题18.4平行四边形(分层练习)(培优练)-(人教版)_初中数学_八年级数学下册(人教版)_专题突破练习-V4
专题18.4平行四边形(分层练习)(培优练)-(人教版)_初中数学_八年级数学下册(人教版)_专题突破练习-V4
专题18.4平行四边形(分层练习)(培优练)-(人教版)_初中数学_八年级数学下册(人教版)_专题突破练习-V4
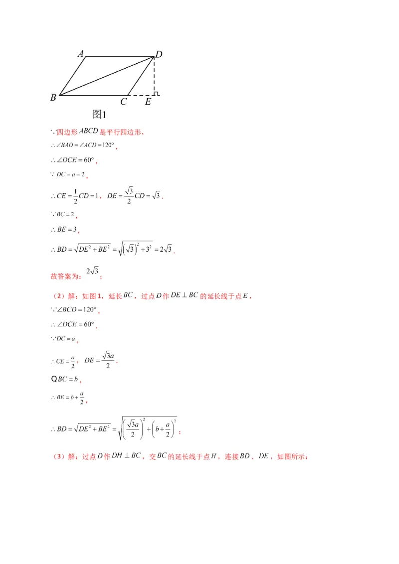
专题18.4平行四边形(分层练习)(培优练)-(人教版)_初中数学_八年级数学下册(人教版)_专题突破练习-V4
专题18.4平行四边形(分层练习)(培优练)-(人教版)_初中数学_八年级数学下册(人教版)_专题突破练习-V4
专题18.4平行四边形(分层练习)(培优练)-(人教版)_初中数学_八年级数学下册(人教版)_专题突破练习-V4
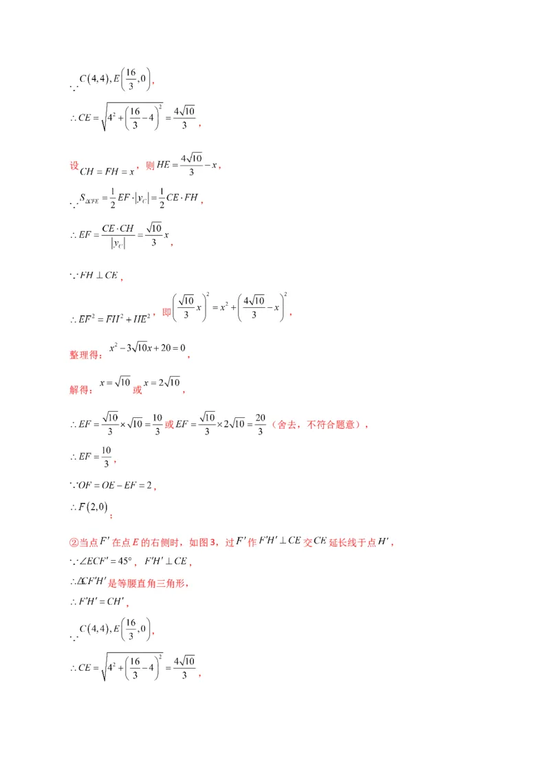
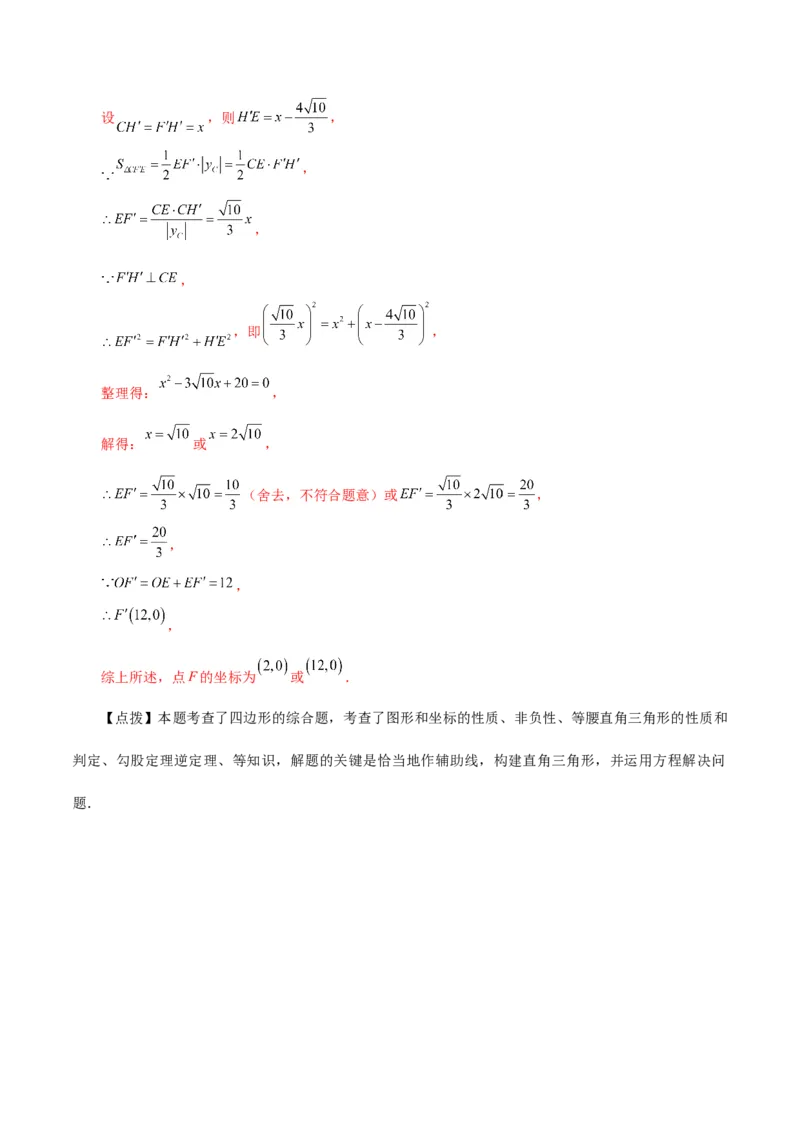
专题18.4平行四边形(分层练习)(培优练)-(人教版)_初中数学_八年级数学下册(人教版)_专题突破练习-V4
专题18.4平行四边形(分层练习)(培优练)-(人教版)_初中数学_八年级数学下册(人教版)_专题突破练习-V4
专题18.4平行四边形(分层练习)(培优练)-(人教版)_初中数学_八年级数学下册(人教版)_专题突破练习-V4
专题18.4平行四边形(分层练习)(培优练)-(人教版)_初中数学_八年级数学下册(人教版)_专题突破练习-V4
专题18.4平行四边形(分层练习)(培优练)-(人教版)_初中数学_八年级数学下册(人教版)_专题突破练习-V4
专题18.4平行四边形(分层练习)(培优练)-(人教版)_初中数学_八年级数学下册(人教版)_专题突破练习-V4
专题18.4平行四边形(分层练习)(培优练)-(人教版)_初中数学_八年级数学下册(人教版)_专题突破练习-V4
专题18.4平行四边形(分层练习)(培优练)-(人教版)_初中数学_八年级数学下册(人教版)_专题突破练习-V4
专题18.4平行四边形(分层练习)(培优练)-(人教版)_初中数学_八年级数学下册(人教版)_专题突破练习-V4
专题18.4平行四边形(分层练习)(培优练)-(人教版)_初中数学_八年级数学下册(人教版)_专题突破练习-V4
专题18.4平行四边形(分层练习)(培优练)-(人教版)_初中数学_八年级数学下册(人教版)_专题突破练习-V4
专题18.4平行四边形(分层练习)(培优练)-(人教版)_初中数学_八年级数学下册(人教版)_专题突破练习-V4
专题18.4平行四边形(分层练习)(培优练)-(人教版)_初中数学_八年级数学下册(人教版)_专题突破练习-V4
专题18.4平行四边形(分层练习)(培优练)-(人教版)_初中数学_八年级数学下册(人教版)_专题突破练习-V4
专题18.4平行四边形(分层练习)(培优练)-(人教版)_初中数学_八年级数学下册(人教版)_专题突破练习-V4
专题18.4平行四边形(分层练习)(培优练)-(人教版)_初中数学_八年级数学下册(人教版)_专题突破练习-V4
专题18.4平行四边形(分层练习)(培优练)-(人教版)_初中数学_八年级数学下册(人教版)_专题突破练习-V4
专题18.4平行四边形(分层练习)(培优练)-(人教版)_初中数学_八年级数学下册(人教版)_专题突破练习-V4
专题18.4平行四边形(分层练习)(培优练)-(人教版)_初中数学_八年级数学下册(人教版)_专题突破练习-V4
专题18.4平行四边形(分层练习)(培优练)-(人教版)_初中数学_八年级数学下册(人教版)_专题突破练习-V4
专题18.4平行四边形(分层练习)(培优练)-(人教版)_初中数学_八年级数学下册(人教版)_专题突破练习-V4
专题18.4平行四边形(分层练习)(培优练)-(人教版)_初中数学_八年级数学下册(人教版)_专题突破练习-V4
专题18.4平行四边形(分层练习)(培优练)-(人教版)_初中数学_八年级数学下册(人教版)_专题突破练习-V4
专题18.4平行四边形(分层练习)(培优练)-(人教版)_初中数学_八年级数学下册(人教版)_专题突破练习-V4
专题18.4平行四边形(分层练习)(培优练)-(人教版)_初中数学_八年级数学下册(人教版)_专题突破练习-V4

文档信息

文档格式
docx
文档大小
4.127 MB
文档页数
45 页
上传时间
2026-03-24 01:47:26

文档内容

专题18.4 平行四边形(分层练习)(培优练) 一、单选题(本大题共10小题,每小题3分,共30分) 1.(2021下·八年级课时练习)平行四边形的一组对角的平分线( ) A.一定相互平行 B.一定相交 C.可能平行也可能相交 D.平行或共线 2.(2022下·重庆·八年级重庆八中校考期末)如图,A为y轴上一点,B点坐标为(1,0),连接 AB,分别以OB、AB为边构造等边 和等边 ,且点D恰好落在AB上,点P为平面内一点,当 四边形PBCD为平行四边形时,点P坐标为( ) A. B. C. D. 3.(2022·全国·九年级专题练习)如图,点E是 ▱ ABCD的边AB上一点,过点E作EF BC,交CD 于F,点P为EF上一点,连接PB、PD.下列说法不正确的是( ) A.若∠ABP=∠CDP,则点P在 ▱ ABCD的对角线BD上 B.若AE:EB=2:3,EP:PF=1:2,则S BEP:S DFP=3:4 △ △ C.若S BEP=S DFP,则点P在AC上 △ △ D.若点P在BD上,则S BEP=S DFP △ △ 4.(2022下·山东青岛·八年级青岛大学附属中学校考期末)如图,四边形 中, 于点E, 于点F,交 于点C. ,连接.以下结论:① ;② ;③ .其中正确的结论个数为 ( ) A.0个 B.1个 C.2个 D.3个 5.(2022下·浙江湖州·八年级统考期末)如图1,已知动点 在 的边上沿 的顺 序运动,其运动速度为每秒1个单位.连结 ,记点 的运动时间为 秒, 的面积为 .如图2是 关于 的函数图象,则下列说法中错误的是( ) A. 的值13 B. 的周长为16 C. 秒时,线段 最短 D. 的面积为12 6.(2023下·广东深圳·八年级统考期末)如图, ,直线 与直线 之间的距离为4,点 是直线 与 外一点,点 到直线 的距离为2,点 , 分别是直线 与直线 上的动点,以点 为圆心, 的 长为半径作弧,再以点 为圆心, 的长为半径作弧,两弧交于点 ,则点 与点 之间距离的最小值 为( ) A.6 B.8 C.10 D.127.(2023下·广东深圳·七年级统考期末)如图, , , 是 中点.连接 ,连接 交 于点 ,连接 交 于点 ,作射线 交 于点 .给出结论:① 是 中 点;② ;③ ;④ ,其中正确的有( ) A.1个 B.2个 C.3个 D.4个 8.(2023下·安徽蚌埠·八年级统考期末)如图, 的面积为8, 均是等边 三角形,当 时,四边形 的面积为( ) A.8 B.16 C. D.12 9.(2022上·吉林长春·九年级长春外国语学校校考期末)已知点 是直线 外一点,数学兴趣小组的 同学用了4种不同的尺规作图方法想过点 作直线 的平行线,根据尺规作图痕迹,直线 不一定与直线 平行的是( ) A. B.C. D. 10.(2021上·河北邯郸·九年级校考阶段练习)如图,将▱DEBF的对角线EF向两端延长,分别至点A 和点C,且使AE=CF,连接AB,BC,AD,CD.求证:四边形ABCD为平行四边形. 以下是证明过程,其顺序已被打乱, ①∴四边形ABCD为平行四边形; ②∵四边形DEBF为平行四边形,∴OD=OB,OE=OF; ③连接BD,交AC于点O; ④又∵AE=CF,∴AE+OE=CF+OF,即OA=OC 正确的证明步骤是( ) A.①②③④ B.③④②① C.③②④① D.④③②① 二、填空题(本大题共8小题,每小题4分,共32分) 11.(2023下·福建福州·八年级统考期中)如图,在平行四边形 中, 、 的平分线 、 分别与 相交点 、 , 与 相交于点 ,若 , , ,则 的为 . 12.(2024·全国·八年级竞赛)如图,在梯形 中, , ,分别以 、 、 为边向梯形外作正方形,其面积分别是 、 、 ,且 ,已知 的长度为7,则 CD的长度为 .13.(2023下·辽宁鞍山·八年级统考期末)如图,河的两岸有 , 两个水文观测点,为方便联络, 要在河上修一座木桥 (河的两岸互相平行, 垂直于河岸),现测得 , 两点到河岸的距离分别 是5米,4米,河宽3米,且 , 两点之间的水平距离为12米,则 的最小值是 米. 14.(2023下·浙江温州·八年级期中)数学活动课上,陈老师向同学们展示了一位同学的折纸作品 (如图所示).已知平行四边形纸片 ,对角线 ,点E,F分别在边 和 上, 交 于点P.将纸片沿 折叠,点A落在 外的点 处,B落在对角线 上的点G处, 交 于点H,连接 .若 ,则 . 15.(2023上·四川成都·九年级校考阶段练习)如图,在 中, , , , 、 、 都是等边三角形,则四边形 的面积为 . 16.(2023下·四川成都·八年级校考期中)如图,在等边 中, , 是 上一点,且,连接 ,以 为腰向右作等腰 , ,连接 ,取 的中点 ,连接 ,则 的长是 . 17.(2021下·广东深圳·八年级统考期末)如图所示,在Rt△ABC外作等边△ADE,点E在AB边上, AC=5,∠ABC=30°,AD=3.将△ADE沿AB方向平移,得到△A′D′E′,连接BD′.给出下列结论:①AB =10;②四边形ADD′A′为平行四边形;③AB平分∠D′BC;④当平移的距离为4时,BD′=3 .其中正确 的是 (填上所有正确结论的序号). 18.(2023上·湖北武汉·八年级统考期中)如图, ,过点 的 直线分别交 于点 . 下列结论: ①若 为 的中点,则 ; ②若 于点 ,则 为 的中点;③若 为 的中点,则 ; ④ . 其中正确的结论有 . (填写序号即可) 三、解答题(本大题共6小题,共58分) 19.(8分)(2023下·浙江·八年级专题练习)如图, 中,把 沿 翻折得到 , 相交于点 . (1)求证: ; (2)连接 交 于点 ,连接 ,在不添加辅助线的条件下请直接写出图中所有等腰三角形. 20.(8分)(2023上·山东济南·八年级统考期末)已知:如图,在四边形 中, , 平分 交 于点E, . (1)求证:四边形 为平行四边形;(2)若 ,求证: ; (3)在(2)的条件下,连接 、 ,若 ,求 的度数. 21.(10分)(2023下·浙江·八年级校联考期中)在平行四边形 中, , ,∠BAD =120°. (1)若 ,则 ______; (2)如图 ,求对角线 的长(用含 , 的式子表示); (3)如图 ,四边形 也是平行四边形,连结 并延长交 于点 ,若AG⊥BE, , , ,求 的长. 22.(10分)(2023上·吉林长春·八年级长春外国语学校校考期末)如图,在平行四边形 中, , , . 动点 从点 出发沿 以2cm/s速度向终点 运动,同时点 从点出发,以8cm/s速度沿射线 运动,当点 到达终点时,点 也随之停止运动,设点 的运动时间为 秒 ( ) (1) 的长为 . (2)用含 的代数式表示线段 的长. (3)连结 .是否存在 的值,使得 与 互相平分?若存在,求出 的值;若不存在,请说明理 由; (4)若点 关于直线 对称的点恰好落在直线 上,请直接写出 的值. 23.(10分)(2023上·吉林·八年级校考期末)如图,在 中, 为对角线, 垂直平分 分别交 、 于点E、F,交 于点O. (1)试说明: ; (2)试说明: ; (3)如果在 中, , ,有两动点P、Q分别从B、D两点同时出发,沿 和 各边运动一周,即点P自B→A→E→B停止,点Q自D→F→C→D停止,点P运动的路程是m,点 Q运动的路程是n,当四边形 是平行四边形时,求m与n满足的数量关系.(画出示意图) 24.(12分)(2022下·湖北武汉·八年级校考阶段练习)如图所示,在平面直角坐标系中 ,, ,以 , 为邻边做平行四边形 ,其中 , , 满足 . (1)直接写出 点坐标 ; (2)如图2,线段 的垂直平分线交 轴于点 , 为 的中点,试判断 的大小,并说明理 由; (3)如图3,点 , 为 轴上的一点, ,求 点的坐标. 参考答案: 1.D 【分析】分两种情况:如果平行四边形的邻边不相等,那么它的一组对角的平分线互相平行;如果平 行四边形的邻边相等,那么它的一组对角的平分线共线. 解:如图, 中,AE、CF分别平分∠BAD、∠BCD, ∵四边形ABCD是平行四边形,AD∥BC, ∴∠BAD=∠BCD,∠2=∠3, ∵AE、CF分别平分∠BAD、∠BCD, ∴ ,∴∠2=∠4, ∴∠3=∠4, ∴AE∥CF; 当 是菱形时,AE与CF共线. 故选:D. 【点拨】本题主要考查了平行四边形的性质,角平分线的定义,平行线的判定,将平行四边形分类讨 论是解决本题的关键. 2.B 【分析】利用等边三角形的性质可得点D和C的坐标,再利用平行四边形的性质可得P的坐标. 解:如图, 以OB、AB为边构造等边△OBD和等边△ABC, ∴∠ODB=∠OBD=60,OB=1,∠CAB=60°, ∴∠OAB=30°, ∴∠OAD=∠DOA=30°, ∴OD=AD=1, ∵点D为AB的中点, ∴AB=2,AO= , ∴ , ∴∠CAO=90°, ∴ , ∵四边形PBCD是平行四边形,∴DP BC,DP=BC, 由平移可知 , 故选:B. 【点拨】本题主要考查了等边三角形的性质,平行四边形的性质,平移的性质等知识,利用平移的性 质得出点P的坐标是解题的关键. 3.D 【分析】根据平行四边形的性质和判定进行判断即可. 解:A、若∠ABP=∠CDP,则点P在 ▱ ABCD的对角线BD上,说法正确; B、若AE:EB=2:3,EP:PF=1:2,则S BEP:S DFP=3:4,说法正确; △ △ C、过点P作 ,分别交AD,BC于G,H, ∵ , , ∴四边形ABHG是平行四边形, 同理:四边形CDGH、四边形BHPE,四边形DGPE都是平行四边形, ∴ , , 又 , ∴ , ∴ , 同理: , ∴点P在AC上,C说法正确; D、若点P在BD上,不能得出EP=PF,所以S BEP不一定等于S DFP,说法错误; △ △ 故选:D. 【点拨】此题考查平行四边形的判定和性质,掌握平行四边形的性质是解题的关键. 4.C 【分析】根据 可判定① ,用反证法证明② ,根据 证得,得到 可判断③. 解:∵ 于点E, ∴ , ∵ , ∴ , ∴ , ∵ , ∴ , ∵ , ∴ , ∴ ,故①正确; 用反证法证明② , 假设 , 则有 为等腰三角形,F为 的中点, 又 ,可证得 ,与题设不符; 由(1)知 , ∴ , 连接 , ∵ ∴四边形 为平行四边形, ∴ , ∴ , ∴ , ∵ ∴ , ∴ ,故③正确; 故正确的个数有2个. 故选:C.【点拨】本题考查了全等三角形的判定与性质,平行四边形 的判定和性质,注意这些知识的熟练掌 握与灵活运用是关键. 5.C 【分析】根据图象上点的坐标和图象的特点,利用平行四边形的性质可以判断出答案. 解:∵P在BC上时, ABP的面积为S随t的增大而增大, ∴根据点(5,6)可以△得到BC=5,S=6, ∴A到BC的距离为 , 当P在CD上时,S不变, ∴CD=8-5=3, ∴a=5+3+5=13,▱ABCD的周长为2×(5+3)=16,▱ABCD的面积,5× =12, 故A,B,D都不符合题意; 当AP⊥BC时,AP最短,根据勾股定理, ,故C符合题意. 故选:C. 【点拨】本题考查了动点问题的函数图象、平行四边形的性质,解决本题的关键是读懂图1与图2的 对应关系. 6.B 【分析】根据作图可知四边形 是平行四边形,连接 ,根据垂线段最短,得到当 与直线 和直线 垂直时,点 与点 之间距离最短,即可得出结论. 解:如图:由作图可知,四边形 是平行四边形,∴ , ∵ , ∴四边形 是平行四边形, ∴ , ∴ , ∴ , ∴点 到直线 的距离等于点 到直线 的距离, ∴点 到直线 的距离为2, 连接 ,则:当 与直线 和直线 垂直时,点 与点 之间距离最短, 即: ; 故选B. 【点拨】本题考查平行四边形的判定和性质.解题的关键是根据作图得出四边形 是平行四边形. 7.D 【分析】①先证 ,进而可证四边形 为平行四边形,然后根据平行四边形的性质可对结 论①进行判断; ②由①正确可知:点 为 的中点,据此可证点 为 的重心,则 为 的中线,然后 先证 和 全等得 ,进而可证 和 全等,据此可对结论②进行判断; ③由②可知 ,然后根据等腰三角形的性质可对结论③进行判断; ④根据四边形 为平行四边形可对结论④进行判断,综上所述即可得出答案. 解:① 点 为 的中点, ,, , , 四边形 为平行四边形, , 即点 为 的中点, 结论①正确; ②由①正确可知:点 为 的中点, 为 的中线, 又 点 是 中点, 为 的中线, 与 交于点 , 点 为 的重心, 为 的中线, , 在 和 中, , , , 在 和 中, , , , 结论②正确; ③由②可知: , ,, 结论③正确; ④由①可知:四边形 为平行四边形, , 结论④正确. 综上所述:正确的结论为①②③④,共4个. 故选:D. 【点拨】此题主要考查了等腰三角形的性质,平行四边形的判定和性质,三角形的重心,全等三角形 的判定和性质,解答此题的关键是熟练掌握全等三角形的判定方法,理解一组对边平行且相等的四边形是 平行四边形;平行四边形的两组对边分别平行且相等、对角线互相平分,三角形三条中线交于点是三角形 的重心;等腰三角形底边上的中线、底边上的高,顶角的平分线重合(三线合一). 8.B 【分析】先根据等边三角形的性质证明 ,从而可得 ,同理可得 ,因此 四边形 是平行四边形.再证 三点共线, 三点共线.从而可得 与 底相同, 高相同,由此可求得 的面积. 解: 和 都是等边三角形, , , 即 , , . 是等边三角形, , . 同理可得 , ∴四边形 是平行四边形., , 三点共线, 三点共线. 作 于G, 于H, 则 , 且 , . , . 故选:B. 【点拨】本题主要考查了全等三角形的判定和性质,等边三角形的判定和性质,平行四边形的判定.解 题的关键是要证明 与 底相同,高相同. 9.D 【分析】根据作图轨迹,结合平行四边形的判定与性质可对选项A判断; 根据作图轨迹,结合平行线的判定可对选项B判断; 根据作图轨迹,结合平行线的判定可对选项C判断; 根据作图轨迹可得 ,无法判断 ,则可判断选项D. 解:A.连接 , , 根据作图可知 , , ∴四边形 是平行四边形, ∴ ,即 , 故A正确,但不符合题意; B.如图,根据作图可知 , ∴ , 故B正确,但不符合题意; C.如图, 根据作图可知 , , ∴ , 故C正确,但不符合题意; D.如图, , 根据作图可知 , 无法证明 , 故D错误,符合题意; 故选:D. 【点拨】本题考查了尺规作图,涉及知识有平行四边形的判定与性质,平行线的判定,角平分线定义 等知识,掌握以上知识是解题的关键. 10.C 【分析】连接BD,交AC于点O,由平行四边形DEBF的性质可得OD=OB,OE=OF,从而由已知可得OA=OC,即可得四边形ABCD为平行四边形. 解:连接BD,交AC于点O,如图 ∵四边形DEBF为平行四边形 ∴OD=OB,OE=OF ∵AE=CF ∴AE+OE=CF+OF 即OA=OC ∴四边形ABCD为平行四边形 故正确的证明步骤是:③②④① 故选:C. 【点拨】本题考查了平行四边形的判定与性质,掌握平行四边形的判定与性质是解题的关键. 11. 【分析】由题中条件证出 ,则 ,同理 ,则 ,进而得出 的 长,过 作 交 延长线于 ,如图所示,由平行四边形的判定与性质,得到 ,利 用勾股定理求出 ,即可得结论. 解: 四边形 是平行四边形,如图所示: , , , , 平分 , , , , 同理 ,,即 , , , , , , , , , , , , 过 作 交 延长线于 ,如图所示: , , 四边形 是平行四边形, , , , 在 中, ,则由勾股定理可得 , 故答案为: . 【点拨】本题考查了平行四边形的性质与判定,角平分线的性质,等腰三角形的判定与性质、勾股定 理等知识;熟练掌握平行四边形的性质,证出 是解此题的关键. 12.14 【分析】本题考查平行四边形的性质和判定、平行线性质,以及勾股定理,过点B作 ,得到 ,证明四边形 平行四边形,推出 , ,得到 ,结合,推出 ,得到 ,即可解题. 解:如图所示,过点B作 , , , , , , 四边形 平行四边形, 则 , , , 又 ,即 , , , 又 ,则 . 故答案为: . 13.18 【分析】作 垂直于河岸,使 等于河宽,连接 ,与靠近A的河岸相交于M,作 垂直于 另一条河岸,则 且 ,于是 为平行四边形,故 ;根据“两点之间线段 最短”, 最短,即 最短,也就是 最短,据此求解即可. 解:作 垂直于河岸,使 等于河宽,连接 ,与靠近A的河岸相交于M,作 垂直于另一 条河岸, 过点A作 交 的延长线于点C, 则 且 ,于是 为平行四边形,故 , 当 时, 最小,也就是 最短, ∵ (米), (米), (米) ∴在 中, (米), ∴ 的最小值为: (米) 故答案为:18 . 【点拨】本题考查了轴对称---最短路径问题、勾股定理、平行四边形的判定与性质,要利用“两 点之间线段最短”,但许多实际问题没这么简单,需要我们将一些线段进行转化,即用与它相等的线段替 代,从而转化成两点之间线段最短的问题.目前,往往利用对称性、平行四边形的相关知识进行转化. 14. 【分析】连接 ,利用直角性质求得 , ,由折叠的性质以及 ,推出 是线段 的垂直平分线,则 ,求得 ,证明四边形 是平行 四边形,得到 ,在 求得 即可. 解:连接 , ∵平行四边形纸片 ,且 , , ∴ , , ∴ , , 由折叠的性质知 , , , 是线段 的垂直平分线,则 ,∵ , ∴ ,即 , ∴ ,由平行四边形的性质得 ,∵ , ∴ , ∴ , ∵ , ∴ , ,即 , ∴ , ∵ , , ∴四边形 是平行四边形, ∴ , , ∵ , ∴ , ∴ , 故答案为: . 【点拨】本题考查了平行四边形的性质,折叠的性质,含30度角的直角三角形的性质,勾股定理,熟 记各图形的性质并准确识图是解题的关键. 15.6 【分析】根据题中的等式关系可推出两组对边分别相等,从而可判断四边形 为平行四边形.由 勾股定理的逆定理判定 ,则 ,故易求 所以由平行四边形的面积公式 即可解答. 解: 在 中, , , , , , , 都是等边三角形, ,. 和 都是等边三角形, , . 在 与 中, ≌ , , 同理可证 ≌ , , 四边形 是平行四边形. , 如图,过点 作 ,交 于点 , , . 即四边形 的面积是 . 故答案为 . 【点拨】本题考查了勾股定理,平行四边形的判定及性质,全等三角形的判定及性质以及等边三角形 的判定及性质,熟练掌握平行四边形及全等三角形的判定及性质是解题的关键. 16.【分析】如图,在 上取点 使 ,连接 , ,记 , 的交点为 ,证明 ,可得 , ,再证明 ,可得四边形 为平行 四边形,可得 , ,即 , 重合,即 ,从而可得答案. 解:如图,在 上取点 使 ,连接 , ,记 , 的交点为 , ∵等边 , , , ∴ , , , ∴ , ∴ , , ∵ , , ∴ , , ∴ , ∴ , ∴四边形 为平行四边形, ∴ , , ∵ 的中点为 , ∴ , 重合,即 , ∵ , , ∴ ,∴ ; 故答案为: . 【点拨】本题考查的是等边三角形的性质,全等三角形的判定与性质,平行四边形的判定与性质,作 出合适的辅助线是解本题的关键. 17.①②④. 【分析】根据含30角的直角三角形的性质可得AB=2AC=10,可判定①;根据平移的性质可得 A'D'=AD,A'D'//AD,证得四边形ADD'A'为平行四边形,可判定②;当平移的距离为4时,EE'=4,证得 BE'=D'E',,则∠E'BD'=∠E'D'B= ∠A'E'D'=30°,即∠A'D'B=60°+30°=90°,再由含30°角的直角三角 形的性质可得BD'= A'D'=3 ,则可判断④;由④得:当平移的距离为4时,∠E'BD'=∠ABC=30°, 则可判断③. 解:∵∠ACB=90°,AC=5,∠ABC=30°, ∴AB=2AC=10,故①正确; 由平移的性质得:A'D'=AD,A'D'//AD, ∴四边形ADD′A′为平行四边形,故②正确; 当平移的距离为4时,EE'=4, ∴BE'=AB﹣AE﹣EE'=10﹣3﹣4=3, 由平移的性质得:∠A'D'E'=∠A'E'D'=∠AED=60°,A'D'=D'E'=DE=AD=3, ∴BE'=D'E', ∴∠E'BD'=∠E'D'B= ∠A'E'D'=30°, ∴∠A'D'B=60°+30°=90°, ∴BD'= A'D'=3 ,故④正确; 由④得:当平移的距离为4时,∠E'BD'=∠ABC=30°,故③错误; 故填①②④. 【点拨】本题主要考查了平行四边形的判定与性质、等边三角形的性质、平移的性质、含30角的直角 三角形的性质等知识点灵活利用等边三角形的性质和平移的性质是解答本题的关键. 18.①②③【分析】①在 的延长线上截取 ,连接 ,则 ,先证四边形 为 平行四边形,得 , ,根据 得 ,进而得 据此可证 和 全等,进而得 然后根据 ,得 ,则 ,据此可 对结论①进行判断; ②过点 作 交 的延长线于 ,连接 ,先证 和 全等,得 , 进而可证四边形 为平行四边形,则 ,据此可对结论②进行判断; ③当 为 的中点时,由①的解答过程可知: ,由此可对结论结论③进行判 断; ④延长 到 ,是 ,连接 则 由于过点 的直线分别交 于点 ,因此无法判定 ,点 为 的中点,因此无法判定 成立,据此可对结论④进行判断,综上所述即可得出答案. 解:①在 的延长线上截取 ,连接 ,则 ,如图1所示: ∵ 为 的中点, ∴ , ∴四边形 为平行四边形, ∴ , ∴ , ∵ , ∴ , ∴ , ∵ , ∴ 在 和 中,, ∴ , ∴ ∵ , ∴ , ∴ , ∴ , 即 , 故结论①正确; ②过点 作 交 的延长线于 ,连接 ,如图2所示: ∴ , ∵ ∴ , ∴ , ∵ , ∴ , ∴ 在 和 中, ,∴ , ∴ , ∵ , ∴ , 又 , ∴四边形 为平行四边形, ∴ , 即点 为 的中点, 故结论②正确; ③当 为 的中点时, 由①的解答过程可知: , ∴ 故结论③正确; ④延长 到 ,使 ,连接 ,如图3所示: ∴ ∵过点 的直线分别交 于点 , ∴无法判定 ,点 为 的中点, 因此无法判定 成立, 故结论④不正确. 综上所述:正确的结论是①②③. 故答案为:①②③.【点拨】此题主要考查了等腰直角三角形的性质,全等三角形的判定和性质,平行四边形的判定和性 质,熟练掌握等腰直角三角形的性质,全等三角形的判定和性质,平行四边形的判定和性质是解决问题的 关键. 19.(1)见分析;(2) , 【分析】本题考查了翻折变换,全等三角形的判定和性质,平行四边形的性质,等腰三角形的性质, 熟练运用这些性质解决问题是本题的关键. (1)由平行四边形的性质和折叠的性质可得 ,由“ ”可证 ,可得 ,由等腰三角形的性质和三角形内角和定理可求 , 可得 ; (2)由全等三角形的性质可得 ,则 是等腰三角形,由“ ”可证 ,可得 ,可证 是等腰三角形. 解:(1)证明:∵四边形 是平行四边形, , ∵把 沿 翻折得到 , , , 在 和 中, , , , , 又 , , ; (2)解: , 是等腰三角形, ∵四边形 是平行四边形, ,, ∵把 沿 翻折得到 , , , 在 和 中, , , , 是等腰三角形. 20.(1)证明见分析;(2)证明见分析;(3) . 【分析】(1)根据平行四边形的性质得到 ,等量代换得到 ,求得 ,得到 ,根据平行四边形的判定定理即可得到结论; (2)根据等边三角形的判定定理得到 是等边三角形,求得 ,根据平行四边形的性质得 到 ,求得 ; (3)根据等边三角形的性质得到 ,根据平行四边形的性质得到 , 根据全等三角形的性质得到 ,进而得到结论. 解:(1)证明: , , ∵ ∴又 , , ∴ ; ∴ , , ∴ , ∴四边形 为平行四边形; ∴(2)证明: , , 为等边三角形, ∴ , ∴中, , ∵ , ∴(3)解: 为等边三角形, ∵ , ∴ 中, , ∵ , ∴ , ∴又 , , , ∴ , ∴ ∵ ∴ . ∴【点拨】本题是四边形的综合题,考查了等腰三角形的判定和性质,等边三角形的判定和性质,平行 四边形的性质,全等三角形的判定和性质,熟练掌握各性质定理是解题的关键. 21.(1) ;(2)对角线 的长为 ;(3) 的长为 【分析】(1)延长 ,过点 作 的延长线于点 ,根据勾股定理和直角三角形的性质得 出 及 的长,根据勾股定理即可得出结论; (2)延长 ,过点 作 的延长线于点 ,根据 得出 ,再由 得出 , ,故 ,根据勾股定理即可得出结论; (3)过点 作 ,交 的延长线于点 ,连接 、 ,先根据平行四边形的性质得出 , ,在 中求出 和 ,再用勾股定理求出 ,然后利用平行四边形的 性质求出 且 ,然后用勾股定理求 即可. (1)解:如图1,延长 ,过点 作 的延长线于点 ,四边形 是平行四边形, , , , , . , , . 故答案为: ; (2)解:如图1,延长 ,过点 作 的延长线于点 , , . , , . , , ; (3)解:过点 作 ,交 的延长线于点 ,连接 、 ,如图所示:四边形 是平行四边形, , , , , , , 在 中, , , , 四边形 是平行四边形, , , 四边形 是平行四边形, ∴ , , , , , . 【点拨】本题考查的是平行四边形的性质和勾股定理,直角三角形的性质,二次根式的混合运算.根 据题意作出辅助线,构造出直角三角形,利用勾股定理求解是解答此题的关键. 22.(1) ;(2) 或 ;(3)存在, ;(4) 或 【分析】(1)根据平行四边形的性质得 ,再根据勾股定理即可求解; (2)根据题意可得 ,先求出当点Q与点B重合时,所花费的时间,再根据题意分两种情况讨论即可:当点Q在线段 上时和当点Q在线段 的延长线上时; (3)连接 ,假设 与 互相平分,则可得四边形 是平行四边形,进而可得 ,解得即可到答案; (4)根据题意分两种情况讨论即可:当点P关于直线 对称的点落在点A下方时和当点P关于直线 对称的点落在点A上方时. 解:(1)∵四边形 是平行四边形, ∴ , ∵ , ∴ , (2)在 中, , , 由题意得, , 当点Q与点B重合时, , ∴ , 当点Q在线段 上时, , 当点Q在线段 的延长线上时, , 综上所述, 或 ; (3)存在,理由如下: 如图,连接 , 若 与 互相平分,则四边形 是平行四边形, ∴ , ∴ ,∴ , ∴当 时, 与 (4)当点P关于直线 对称的点落在点A下方时,如图, 由对称得, , ∵ , ∴ , ∴ ,即 , ∴ , ∴ , ∴ , 解得 ; 当点P关于直线 对称的点落在点A上方时,如图, 由对称得, , ∵ ,∴ , ∵ ∴ , ∴ , ∴ , ∴ , 解得 , 综上所述,t的值为 或2. 【点拨】本题考查了平行四边形的判定和性质、勾股定理的应用和动点问题,轴对称的性质,等腰三 角形的判定与性质,灵活运用所学知识求解是解决本题的关键. 23.(1)见分析;(2)见分析;(3) 【分析】(1)根据 证 即可; (2)推出 ,根据平行四边形性质求出 ,推出 ,根据 证 即可; (3)求出 的周长,分为三种情况,①当P在 上,Q在 上,②当P在 上,Q在 上, ③当P在 上,Q在 上,每种情况 都等于 的周长. (1)解: 四边形 是平行四边形, , , 垂直平分 , , 在 和 中, , ( ), ; (2)解: 四边形 是平行四边形, , , ,, 在 和 中, , ( ); (3)解: 垂直平分 , , , , , 的周长是 , 故 的周长也是 , ①当P在 上,Q在 上, , , 在 和 中 , ( ), ,②当P在 上,Q在 上, , , , , 在 和 中 , ( ), , , , ; ③当P在 上,Q在 上, ,, , , 四边形 是平行四边形, , , , 在 和 中 , ( ), , ; 综上所述:m与n满足的数量关系是 . 【点拨】本题考查了平行四边形的性质和判定,全等三角形的性质和判定,平行线的性质和判定的综 合运用,掌握性质及判定方法,能根据 和 的不同位置进行分类讨论是解题的关键. 24.(1) ;(2) ,理由见分析;(3)点F的坐标为 或 【分析】(1)根据非负数的性质得到 ,得 ,得到 ,过C作 轴于E点,根据平行四边形的性质得到 ,根据全等三角 形的性质得到 ,于是得到结论; (2)连接 ,过F作 轴于G, 轴于K,根据线段垂直平分线的性质得到,求得 ,设 ,根据勾股定理列方程得到 ,根据勾股定理和勾股定理的逆 定理即可得到结论; (3)分两种情况:分F在点E的左侧和右侧,作辅助线,构建直角三角形,根据等腰直角三角形的 性质,利用勾股定理建立方程求解可得结论. (1)解:∵ . , ∴ , ∴ , ∴ , 如图,过C作 轴于E点, ∵四边形 是平行四边形, , , , , , , , 故答案为: ; (2)解:如图,连接 ,过F作 轴于G, 轴于K,∵线段 的中垂线交y轴于点E, , ∵F为 的中点, , , , 解得: , , , , , 是直角三角形, ; (3)解:分两种情况: ①当F在点E的左侧时,如图3,过F作 于H, , , 是等腰直角三角形, ,, , 设 ,则 , , , , ,即 , 整理得: , 解得: 或 , 或 (舍去,不符合题意), , , ; ②当点 在点E的右侧时,如图3,过 作 交 延长线于点 , , , 是等腰直角三角形, , , ,设 ,则 , , , , ,即 , 整理得: , 解得: 或 , (舍去,不符合题意)或 , , , , 综上所述,点F的坐标为 或 . 【点拨】本题考查了四边形的综合题,考查了图形和坐标的性质、非负性、等腰直角三角形的性质和 判定、勾股定理逆定理、等知识,解题的关键是恰当地作辅助线,构建直角三角形,并运用方程解决问 题.