当前位置:首页>文档>专题09反应速率、化学平衡-2020年高考化学真题与模拟题分类训练(学生版)_05高考化学_新高考复习资料_2022年新高考资料_2022年一轮复习各版本_1.高考化学2022年一轮复习通用版

专题09反应速率、化学平衡-2020年高考化学真题与模拟题分类训练(学生版)_05高考化学_新高考复习资料_2022年新高考资料_2022年一轮复习各版本_1.高考化学2022年一轮复习通用版

  • 2026-04-01 14:29:13 2026-03-27 10:33:34

文档预览

专题09反应速率、化学平衡-2020年高考化学真题与模拟题分类训练(学生版)_05高考化学_新高考复习资料_2022年新高考资料_2022年一轮复习各版本_1.高考化学2022年一轮复习通用版
专题09反应速率、化学平衡-2020年高考化学真题与模拟题分类训练(学生版)_05高考化学_新高考复习资料_2022年新高考资料_2022年一轮复习各版本_1.高考化学2022年一轮复习通用版
专题09反应速率、化学平衡-2020年高考化学真题与模拟题分类训练(学生版)_05高考化学_新高考复习资料_2022年新高考资料_2022年一轮复习各版本_1.高考化学2022年一轮复习通用版
专题09反应速率、化学平衡-2020年高考化学真题与模拟题分类训练(学生版)_05高考化学_新高考复习资料_2022年新高考资料_2022年一轮复习各版本_1.高考化学2022年一轮复习通用版
专题09反应速率、化学平衡-2020年高考化学真题与模拟题分类训练(学生版)_05高考化学_新高考复习资料_2022年新高考资料_2022年一轮复习各版本_1.高考化学2022年一轮复习通用版
专题09反应速率、化学平衡-2020年高考化学真题与模拟题分类训练(学生版)_05高考化学_新高考复习资料_2022年新高考资料_2022年一轮复习各版本_1.高考化学2022年一轮复习通用版
专题09反应速率、化学平衡-2020年高考化学真题与模拟题分类训练(学生版)_05高考化学_新高考复习资料_2022年新高考资料_2022年一轮复习各版本_1.高考化学2022年一轮复习通用版
专题09反应速率、化学平衡-2020年高考化学真题与模拟题分类训练(学生版)_05高考化学_新高考复习资料_2022年新高考资料_2022年一轮复习各版本_1.高考化学2022年一轮复习通用版
专题09反应速率、化学平衡-2020年高考化学真题与模拟题分类训练(学生版)_05高考化学_新高考复习资料_2022年新高考资料_2022年一轮复习各版本_1.高考化学2022年一轮复习通用版
专题09反应速率、化学平衡-2020年高考化学真题与模拟题分类训练(学生版)_05高考化学_新高考复习资料_2022年新高考资料_2022年一轮复习各版本_1.高考化学2022年一轮复习通用版
专题09反应速率、化学平衡-2020年高考化学真题与模拟题分类训练(学生版)_05高考化学_新高考复习资料_2022年新高考资料_2022年一轮复习各版本_1.高考化学2022年一轮复习通用版
专题09反应速率、化学平衡-2020年高考化学真题与模拟题分类训练(学生版)_05高考化学_新高考复习资料_2022年新高考资料_2022年一轮复习各版本_1.高考化学2022年一轮复习通用版
专题09反应速率、化学平衡-2020年高考化学真题与模拟题分类训练(学生版)_05高考化学_新高考复习资料_2022年新高考资料_2022年一轮复习各版本_1.高考化学2022年一轮复习通用版
专题09反应速率、化学平衡-2020年高考化学真题与模拟题分类训练(学生版)_05高考化学_新高考复习资料_2022年新高考资料_2022年一轮复习各版本_1.高考化学2022年一轮复习通用版
专题09反应速率、化学平衡-2020年高考化学真题与模拟题分类训练(学生版)_05高考化学_新高考复习资料_2022年新高考资料_2022年一轮复习各版本_1.高考化学2022年一轮复习通用版
专题09反应速率、化学平衡-2020年高考化学真题与模拟题分类训练(学生版)_05高考化学_新高考复习资料_2022年新高考资料_2022年一轮复习各版本_1.高考化学2022年一轮复习通用版
专题09反应速率、化学平衡-2020年高考化学真题与模拟题分类训练(学生版)_05高考化学_新高考复习资料_2022年新高考资料_2022年一轮复习各版本_1.高考化学2022年一轮复习通用版
专题09反应速率、化学平衡-2020年高考化学真题与模拟题分类训练(学生版)_05高考化学_新高考复习资料_2022年新高考资料_2022年一轮复习各版本_1.高考化学2022年一轮复习通用版
专题09反应速率、化学平衡-2020年高考化学真题与模拟题分类训练(学生版)_05高考化学_新高考复习资料_2022年新高考资料_2022年一轮复习各版本_1.高考化学2022年一轮复习通用版
专题09反应速率、化学平衡-2020年高考化学真题与模拟题分类训练(学生版)_05高考化学_新高考复习资料_2022年新高考资料_2022年一轮复习各版本_1.高考化学2022年一轮复习通用版
专题09反应速率、化学平衡-2020年高考化学真题与模拟题分类训练(学生版)_05高考化学_新高考复习资料_2022年新高考资料_2022年一轮复习各版本_1.高考化学2022年一轮复习通用版
专题09反应速率、化学平衡-2020年高考化学真题与模拟题分类训练(学生版)_05高考化学_新高考复习资料_2022年新高考资料_2022年一轮复习各版本_1.高考化学2022年一轮复习通用版

文档信息

文档格式
docx
文档大小
1.234 MB
文档页数
18 页
上传时间
2026-03-27 10:33:34

文档内容

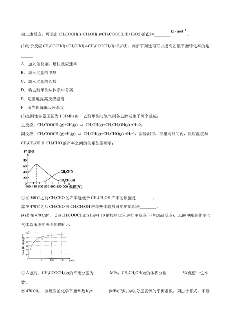
专题 09 反应速率、化学平衡 2020年高考真题 1.(2020年浙江卷) 溶液与 溶液发生反应: 5mL0.1mol⋅L−1KI 1mL0.1mol⋅L−1FeCl 3 2Fe3+ (aq)+2I− (aq)⇌2Fe2+ (aq)+I (aq) ,达到平衡。下列说法不正确的是( ) 2 A.加入苯,振荡,平衡正向移动 B.经苯2次萃取分离后,在水溶液中加入KSCN,溶液呈血红色,表明该化学反应存在限度 C.加入FeSO 固体,平衡逆向移动 4 D.该反应的平衡常数 c2(Fe2+) K= c2(Fe3+)×c2(I−) 2.(2020年浙江卷)一定条件下:2NO (g)⇌ N O (g) ΔH<0。在测定NO 的相对分子质量时,下列条件 2 2 4 2 中,测定结果误差最小的是( ) A.温度0℃、压强50kPa B.温度130℃、压强300kPa C.温度25℃、压强100kPa D.温度130℃、压强50kPa 3.(2020年江苏卷)CH 与CO 重整生成H 和CO的过程中主要发生下列反应 4 2 2 在恒压、反应物起始物质的量比 条件下,CH 和CO 的平衡转化率随温度变化的 4 2 曲线如图所示。下列有关说法正确的是A.升高温度、增大压强均有利于提高CH 的平衡转化率 4 B.曲线B表示CH 的平衡转化率随温度的变化 4 C.相同条件下,改用高效催化剂能使曲线A和曲线B相重叠 D.恒压、800K、n(CH):n(CO)=1:1条件下,反应至CH 转化率达到X点的值,改变除温度外的特定条 4 2 4 件继续反应,CH 转化率能达到Y点的值 4 4.(2020年天津卷)已知 呈粉红色, 呈蓝色, 为无色。现将 CoCl 溶于水,加入浓盐酸后,溶液由粉红色变为蓝色,存在以下平衡: 2 ,用该溶液做实验,溶液的颜色变化如下: 以下结论和解释正确的是 A.等物质的量的 和 中σ键数之比为3:2 B.由实验①可推知△H<0 C.实验②是由于c(H O)增大,导致平衡逆向移动 2 D.由实验③可知配离子的稳定性: 5.(2020年新课标Ⅲ)二氧化碳催化加氢合成乙烯是综合利用CO 的热点研究领域。回答下列问题: 2 (1)CO 催化加氢生成乙烯和水的反应中,产物的物质的量之比n(C H)∶n(H O)=__________。当反应达到 2 2 4 2 平衡时,若增大压强,则n(C H)___________(填“变大”“变小”或“不变”)。 2 4 (2)理论计算表明,原料初始组成n(CO)∶n(H )=1∶3,在体系压强为0.1MPa,反应达到平衡时,四种组分 2 2 的物质的量分数x随温度T的变化如图所示。图中,表示C H、CO 变化的曲线分别是______、______。CO 催化加氢合成C H 反应的ΔH______0(填 2 4 2 2 2 4 “大于”或“小于”)。 (3)根据图中点A(440K,0.39),计算该温度时反应的平衡常数K =_________(MPa)−3(列出计算式。以分压表 p 示,分压=总压×物质的量分数)。 (4)二氧化碳催化加氢合成乙烯反应往往伴随副反应,生成C H、C H、C H 等低碳烃。一定温度和压强条 3 6 3 8 4 8 件下,为了提高反应速率和乙烯选择性,应当___________________。 6.(2020年山东新高考)探究CHOH合成反应化学平衡的影响因素,有利于提高CHOH的产率。以CO、 3 3 2 H 为原料合成CHOH涉及的主要反应如下: 2 3 Ⅰ. Ⅱ. Ⅲ. 回答下列问题: (1) _________kJ∙mol−1。 (2)一定条件下,向体积为VL的恒容密闭容器中通入1 mol CO 和3 mol H 发生上述反应,达到平衡时,容 2 2 器中CHOH(g)为ɑ mol,CO为b mol,此时HO(g)的浓度为__________mol﹒L−1(用含a、b、V的代数式表 3 2 示,下同),反应Ⅲ的平衡常数为___________。 (3)不同压强下,按照n(CO):n(H )=1:3投料,实验测定CO 的平衡转化率和CHOH的平衡产率随温度 2 2 2 3 的变化关系如下图所示。已知:CO 的平衡转化率= 2 CHOH的平衡产率= 3 其中纵坐标表示CO 平衡转化率的是图___________(填“甲”或“乙”);压强p、p、p 由大到小的顺序 2 1 2 3 为___________;图乙中T 温度时,三条曲线几乎交于一点的原因是___________。 1 (4)为同时提高CO 的平衡转化率和CHOH的平衡产率,应选择的反应条件为_________(填标号)。 2 3 A.低温、高压 B.高温、低压 C.低温、低压 D.高温、高压 7.(2020年浙江卷)研究 氧化 制 对资源综合利用有重要意义。相关的主要化学反应有: Ⅰ. Ⅱ. Ⅲ. Ⅳ. 已知: 时,相关物质的相对能量(如图1)。可根据相关物质的相对能量计算反应或变化的 ( 随温度变化可忽略)。例如: 。 请回答: (1)①根据相关物质的相对能量计算 _____ 。 ②下列描述正确的是_____ A.升高温度反应Ⅰ的平衡常数增大 B.加压有利于反应Ⅰ、Ⅱ的平衡正向移动 C.反应Ⅲ有助于乙烷脱氢,有利于乙烯生成 D.恒温恒压下通水蒸气,反应Ⅳ的平衡逆向移动 ③有研究表明,在催化剂存在下,反应Ⅱ分两步进行,过程如下: ,且第二步速率较慢(反应活化能为 )。根据相关物质的相对能量,画出反应Ⅱ分两步进行的“能量−反应过程图”,起点从 的能量 ,开始(如图2)。(2)① 和 按物质的量1:1投料,在 和保持总压恒定的条件下,研究催化剂X对“ 氧化 制 ”的影响,所得实验数据如下表: 催化剂 转化率 转化率 产率 催化剂X 19.0 37.6 3.3 结合具体反应分析,在催化剂X作用下, 氧化 的主要产物是______,判断依据是_______。 ②采用选择性膜技术(可选择性地让某气体通过而离开体系)可提高 的选择性(生成 的物质的量 与消耗 的物质的量之比)。在 ,乙烷平衡转化率为 ,保持温度和其他实验条件不变,采 用选择性膜技术,乙烷转化率可提高到 。结合具体反应说明乙烷转化率增大的原因是_____。 2020届高考模拟试题 8.(2020年北京市东城区第二学期高三4月新高考适应试卷)下列事实不能用平衡移动原理解释的是 A. 开启啤酒瓶后,瓶中马上泛起大量泡沫B. 由H(g)、I(g)、HI(g)组成的平衡体系加压后颜色变深 2 2 C. 实验室制取乙酸乙酯时,将乙酸乙酯不断蒸出 D. 石灰岩受地下水长期溶蚀形成溶洞 9.(天津市和平区2020届高三一模)在300mL的密闭固定容器中,一定条件下发生Ni(s)+4CO(g) Ni(CO) (g)的反应,该反应平衡常数(K)与温度(T)的关系如下表所示: 4 T/℃ 25 80 230 K 5×104 2 1.9×10﹣5 下列说法不正确的是( ) A.上述生成Ni(CO) (g)的反应为放热反应 4 B.230℃时,该反应的正反应为不自发的反应 C.80℃达到平衡时,测得n(CO)=0.3mol,则Ni(CO) 的平衡浓度为2 mol·L−1 4 D.25℃时反应Ni(CO) (g) Ni(s)+4CO(g)的平衡常数为2×10−5 4 10.(成都七中2020届高三考前热身考试)某小组探究实验条件对反应速率的影响,设计如下实验,并记录 结果如下: 1%淀粉溶液体 编号 温度 HSO 溶液 KI溶液 出现蓝色时间 2 4 积 ① 20℃ 0.10 mol·L−110 mL 0.40 mol·L−1 5 mL 1mL 40 s② 20℃ 0.10 mol·L−110 mL 0.80 mol·L−1 5 mL 1mL 21 s ③ 50℃ 0.10 mol·L−110 mL 0.40 mol·L−1 5 mL 1mL 5s ④ 80℃ 0.10 mol·L−110 mL 0.40 mol·L−1 5 mL 1mL 未见蓝色 下列说法正确的是 A.由实验①②可知,反应速率v与c(I−)成正比 B.实验①−④中,应将HSO 溶液与淀粉溶液先混合 2 4 C.在I−被O 氧化过程中,H+只是降低活化能 2 D.由实验③④可知,温度越高,反应速率越慢 11.(杭州高级中学2020届高三仿真模拟)在容积为2L的刚性密闭容器中加入1molCO 和3molH ,发生反 2 2 应:CO(g)+3H(g) CHOH(g)+H O(g)。在其他条件不变的情况下,温度对反应的影响如图所示(注: 2 2 3 2 T、T 均大于300℃)。下列说法正确的是( ) 1 2 A.该反应在T 时的平衡常数比在T 时的小 1 2 B.处于A点的反应体系从T 变到T,达到平衡时 减小 1 2 C.T 时,反应达到平衡时生成甲醇的反应速率v(CHOH)= mol·L−1·min−1 2 3 D.T 时,若反应达到平衡后CO 的转化率为x,则容器内的压强与起始压强之比为(2−x)∶2 1 2 12.(杭州高级中学2020届高三仿真模拟)25℃,向40mL0.05mol/L的FeCl 溶液中加入10mL0.15mol/L的 3 KSCN溶液,发生反应:Fe3++3SCN− Fe(SCN) ,混合溶液中c(Fe3+)与反应时间(t)的变化如图所示。(盐 3 类的水解影响忽略不计)下列说法正确的是( )A.在该反应过程中,A点的正反应速率小于B点的逆反应速率 B.E点对应的坐标为(0,0.05) C.该反应的平衡常数K= D.t 时向溶液中加入50mL0.1mol/LKCl溶液,平衡不移动 4 13.(浙江省宁波市五校2020届高三适应性考试)1 L恒容密闭容器中充入2molNO和1molCl 反应:2NO(g) 2 +Cl(g) 2NOCl(g),在温度分别为T、T 时测得NO的物质的量与时间的关系如表所示,正确的是 2 1 2 t/min 0 5 8 13 温度/℃ T 2 1.5 1.3 1.0 1 T 2 1.15 1.0 1.0 2 A.T>T 1 2 B.T 时,反应前5min的平均速率为v(Cl )=0.5mol·L−1·min−1 1 2 C.反应达平衡时,升高温度促进反应向正反应方向进行 D.T 时,向反应后的容器中充入2molNOCl(g),再次平衡时,c(NOCl)>2mol·L−1 2 14.(北京大学附中2020届高三化学阶段性测试)反应 2SiHCl (g) SiHCl(g) + SiCl (g)在催化剂作用下, 3 2 2 4 于323 K 和 343 K 时充分反应,SiHCl 的转化率随时间变化的结果如图所示: 3下列说法不正确的是 A.343 K 时反应物的平衡转化率为 22% B.a、b 处反应速率大小:v>v a b C.要提高 SiHCl 转化率,可采取的措施是降温和及时移去反应产物 3 D.已知反应速率 ,k 、k 分别为正、逆反应速率常数,x为物质 正 逆 的量分数,则 343 K 时 15.(江苏省七市2020届高三第二次调研)温度为T℃,向体积不等的恒容密闭容器中分别加入足量活性炭 和1mol NO ,发生反应:2C(s)+2NO (g) N(g)+2CO (g)反应相同时间,测得各容器中NO 的转化率与容器 2 2 2 2 2 体积的关系如图所示。下列说法正确的是⇌ A.T℃时,该反应的化学平衡常数为 B.图中c点所示条件下,v(正)>v(逆) C.向a点平衡体系中充入一定量的NO ,达到平衡时,NO 的转化率比原平衡大 2 2 D.容器内的压强:P:P >6:7 a b 16.(泰安市肥城市2020届高三适应性训练一)利用传感技术可以探究压强对2NO (g) NO(g)化学平衡 2 2 4 移动的影响。在室温、100kPa条件下,往针筒中充入一定体积的NO 气体后密封并保持活塞位置不变。分 2 别在t、t 时刻迅速移动活塞并保持活塞位置不变,测定针筒内气体压强变化如图所示。下列说法正确的是 1 2( ) A.B点处NO 的转化率为3% 2 B.E点到H点的过程中,NO 的物质的量先增大后减小 2 C.E、H两点对应的正反应速率大小为v >v H E D.B、E两点气体的平均相对分子质量大小为M >M B E 17.(宁夏大学附属中学2020届高三第五次模拟)“绿水青山就是金山银山”,近年来,绿色发展、生态保 护成为中国展示给世界的一张新“名片”。 (I)汽车尾气是造成大气污染的重要原因之一,减少氮的氧化物在大气中的排放是环境保护的重要内容之一。 请回答下列问题: (1)已知: 若某反应的平衡常数表达式为 ,则此反应的热化学方程式为_______。 (2) 在一定条件下可发生分解: ,一定温度下,在恒容密闭容器中充入一 定量 进行该反应,能判断反应已达到化学平衡状态的是_____(填字母)。 A. 和 的浓度比保持不变 B.容器中压强不再变化 C. D.气体的密度保持不变 (Ⅱ)甲醇、乙醇来源丰富、价格低廉、运输贮存方便,都是重要的化工原料,有着重要的用途和应用前景,可以用多种方法合成。 CO(g) + 3H(g) CHOH(g) + H O(g) 2 2 3 2 (3)将 和 按物质的量之比1:3充入体积为2.0L的恒容密闭容器中反应生成 ,如图1表示 压强为0.1 MPa和5.0 MPa下 转化率随温度的变化关系。 ①a、b两点化学反应速率分别用 ,表示,则 _____ (填“大于”、“小于”或“等于”) ②列出a点对应的平衡常数表达式K= ____________________。 (4)在1.0 L恒容密闭容器中投入1 mol 和2.75 mol 发生反应:CO(g) + 3H(g) CHOH(g) + 2 2 3 HO(g),实验测得不同温度及压强下,平衡时甲醇的物质的量变化如图2所示,下列说法正确的是 2 ________。 A.该反应的正反应为放热反应 B.压强大小关系为P<P<P 1 2 3 C.M点对应的平衡常数K的值约为 D.在 及512 K时,图中N点(5) 催化加氢合成乙醇的反应为:2CO(g) + 6H(g) C HOH(g) + 3H O(g) ;m代表起始时的投 2 2 2 5 2 料比,即 。 ①图3中投料比相同,温度 ,则该反应的焓变 _______0(填 )。 ②m=3时,恒压条件下各物质的物质的量分数与温度的关系如图4所示,则曲线b代表的物质为 _________(填化学式)。 (6)以甲醇为主要原料,电化学合成碳酸二甲酯的工作原理如图5所示。离子交换膜a为 ______(填“阳 膜”、“阴膜”),阳极的电极反应式为_______________________________________ 18.(江西省2020届高三毕业班新课程教学质量监测)(1)①已知反应A(g)+B(g) 2D(g),若在起始时 c(A)=a mol• L−1, c(B)=2amol• L−1,则该反应中各物质浓度随时间变化的曲线是_______(选填字母序号)。 ②在298K时,反应A(g) 2B(g)的 K =0.1132kPa,当分压为 p(A)=p(B)=1kPa时,反应速率υ P 正 ______υ (填 “ <” “ =” 或 “ >” )。 逆 ③温度为 T时,某理想气体反应 A(g)+B(g) C(g)+M(g),其平衡常数 K为0.25,若以 A∶B = 1∶1发生反应,则 A的理论转化率为_____%(结果保留3位有效数字)。 (2)富勒烯 C 和 C 可近似看作“ 完美的” 球体,富勒烯的生成时间很快,典型的是毫秒级,在所有的 60 180 合成技术中得到的 C 的量比 C 的量大得多。已知两个转化反应:反应物 3C ,反应物 60 180 60C ,则势能(活化能)与反应进程的关系正确的是______(选填字母序号)。 180 (3)甲醇脱氢和甲醇氧化都可以制取甲醛,但是O 氧化法不可避免地会深度氧化成CO。脱氢法和氧化法涉 2 及的三个化学反应的 lgK随温度 T的变化曲线如图所示。写出图中曲线①的化学反应方程式________; 曲线③的化学反应方程式为________;曲线②对应的化学反应是____(填“ 放热” 或“ 吸热” )反应。 19.(合肥七中等五校联考2020届高三冲刺高考“最后一卷”)热化学碘硫循环可用于大规模制氢气,SO 2 水溶液还原I 和HI分解均是其中的主要反应。回答下列问题: 2 (1)以太阳能为热源,热化学硫碘循环分解水是一种高效、无污染的制氢方法。其反应过程如图所示。 反应II包含两步反应: ①HSO (l)=SO (g)+HO(g) H=+177kJ/mol 2 4 3 2 1 ②2SO (g)=2SO(g)+O(g) △H=+196kJ/mol 3 2 2 2 ①写出反应①自发进行的条△件是:________。 ②写出反应Ⅱ的热化学方程式:________。 (2)起始时 HI的物质的量为1mo1,总压强为0.1MPa下,发生反应HI(g) H(g)+ I(g) 平衡时各 2 2 物质的物质的量随温度变化如图所示:①该反应的△H ________ (“>”或“<”)0。 ②600℃时,平衡分压p(I)=___MPa,反应的平衡常数K=______(K 为以分压表示的平衡常数)。 2 p p (3)反应H(g)+I(g) 2HI(g)的反应机理如下: 2 2 第一步:I 2I(快速平衡) 2 第二步:I+H HI(快速平衡) 2 2 第三步:HI+I 2HI (慢反应) 2 ①第一步反应_____(填“放出”或“吸收”)能量。 ②只需一步完成的反应称为基元反应,基元反应如aA+dD = gG+hH 的速率方程,v= kca(A)•cd(D),k为 常数;非基元反应由多个基元反应组成,非基元反应的速率方程可由反应机理推定。H(g)与I(g)反应生成 2 2 HI(g)的速率方程为v= ____(用含k、k 、k…的代数式表示)。 1 −1 2 20.(沈阳市2020届高三教学质量监测三)丙烯(C H)是石油化工行业重要的有机原料之一,主要用于生产 2 6 聚丙烯、二氯丙烷、异丙醇等产品。 (1)丙烷脱氢制备丙烯。由图可得C H(g) C H(g)+H(g) ∆H=____________kJ/mol 3 8 3 6 2 ⇌ ①为了同时提高反应速率和反应物的平衡转化率,可采取的措施是________。 ②目前在丙烷脱氢制丙烯时常通入适量的O,让其同时发生下列反应:2C H(g) +O (g) 2C H(g)+2HO(g) 2 3 8 2 3 6 2 ⇌∆H=−235kJ/mol,通入O 的目的是_______。 2 (2)以C H 和C H 为原料发生烯烃歧化反应C H(g)+C H(g) 2C H(g) ∆H>0 4 8 2 4 4 8 2 4 3 6 ①某温度下,上述反应中,正反应速率为v =K c(C H)∙c(⇌C H)、逆反应速率为v =K c2(C H),其中K 正 正 4 8 2 4 逆 逆 3 6 、K 为速率常数,该反应使用WO/SiO 为催化剂,下列说法中正确的是_____________ 正 逆 3 2 A.催化剂参与了歧化反应,但不改变反应历程 B.催化剂使K 和K 增大相同的倍数 正 逆 C.催化剂降低了烯烃歧化反应的活化能,增大了活化分子百分数 D.速率常数的大小与反应程度无关系 ②已知tmin时达到平衡状态,测得此时容器中n(C H)=amol,n(C H)=2amol,n(C H)=bmol,且平衡时 1 4 8 2 4 3 6 C H 的体积分数为25%。再往容器内通入等物质的量的C H 和C H,在新平衡中C H 的体积分数 3 6 4 8 2 4 3 6 ___________25%(填“>”、“<”、“=”)。 (3)工业上可用丙烯加成法制备1,2−二氯丙烷(CHClCHClCH ),主要副产物为3−氯丙烯(CH=CHCHCl), 2 3 2 2 反应原理为: Ⅰ. CH=CHCH(g)+Cl (g) CHClCHClCH (g) 2 3 2 2 3 II. CH =CHCH(g)+Cl (g) ⇌CH=CHCHCl(g)+HCl(g) 2 3 2 2 2 一定温度下,向恒容密闭⇌容器中充入等物质的量的CH 2 =CHCH 3 (g)和Cl 2 (g)。在催化剂作用下发生反应Ⅰ, 容器内气体的压强随时间的变化如表所示。 时间/min 0 60 120 180 240 300 360 压强/kPa 80 74.2 69.2 65.2 61.6 57.6 57.6 ①用单位时间内气体分压的变化来表示反应速率,即 ,则前120min内平均反应速率 v(CHClCHClCH )=____________kPa∙min−1。 2 3 ②该温度下,若平衡时HCl的体积分数为12.5%,反应Ⅰ的平衡常数K=__________kPa−1(K 为以分压表示 p p 的平衡常数,保留小数点后2位)。 21.(陕西省安康市2020届高三第四次联考)乙酸甲酯是树脂、涂料、油墨、油漆、胶粘剂、皮革生产过程 所需的有机溶剂,而且乙酸甲酯还可作为原料制备燃料乙醇。已知:乙酸甲酯可由乙酸和甲醇进行酯化反 应得到。请回答下列问题: (1)①CHCOOH(l)+2O (g)=2CO (g)+2HO(l) ∆H =−874.5kJ/mol 3 2 2 2 1 ②2CHOH(l)+3O (g)=2CO (g)+4HO(l) ∆H =−1453kJ/mol 3 2 2 2 2 ③2CHCOOCH (l)+7O (g)=6CO (g)+6HO(l) ∆H =−3189.8kJ/mol 3 3 2 2 2 3由上述反应,可求出CHCOOH(l)+CH OH(l)=CH COOCH (l)+H O(l)的∆H=________ 。 3 3 3 3 2 (2)对于反应CH 3 COOH(l)+CH 3 OH(l)⇌CH 3 COOCH 3 (l)+H 2 O(l),判断下列选项可以提高乙酸平衡转化率的是 ______ A.加入催化剂,增快反应速率 B.加入过量的甲醇 C.加入过量的乙酸 D.将乙酸甲酯从体系中分离 E.适当地提高反应温度 F.适当地降低反应温度 (3)在刚性容器压强为1.01MPa时,乙酸甲酯与氢气制备乙醇发生了两个反应: 主反应:CH 3 COOCH 3 (g)+2H 2 (g) ⇌ CH 3 OH(g)+CH 3 CH 2 OH(g) ∆H<0, 副反应:CH 3 COOCH 3 (g)+H 2 (g) ⇌ CH 3 OH(g)+CH 3 CHO(g) ∆H>0,实验测得,在相同时间内,反应温度与 CHCHOH和CHCHO的产率之间的关系如图所示: 3 2 3 ①在540℃之前CHCHO的产率远低于CHCHOH产率的原因是________。 3 3 2 ②在470℃之后CHCHO与CHCHOH产率变化趋势可能的原因是________。 3 3 2 (4)若在470℃时,以n(CHCOOCH ):n(H)=1:10的投料比只进行主反应(不考虑副反应),乙酸甲酯转化率与 3 3 2 气体总压强的关系如图所示: ①A点时,CHCOOCH (g)的平衡分压为________MPa,CHCHOH(g)的体积分数________%(保留一位小 3 3 3 2 数)。 ②470℃时,该反应的化学平衡常数K=________(MPa)−1(K 为以分压表示的平衡常数,列出计算式,不要 p p求计算结果)。