当前位置:首页>文档>第60练高分子材料-2023年高考化学一轮复习小题多维练(原卷版)_05高考化学_通用版(老高考)复习资料_2023年复习资料_一轮复习_2023年高考化学一轮复习小题多维练(全国通用)

第60练高分子材料-2023年高考化学一轮复习小题多维练(原卷版)_05高考化学_通用版(老高考)复习资料_2023年复习资料_一轮复习_2023年高考化学一轮复习小题多维练(全国通用)

  • 2026-04-01 03:39:26 2026-03-29 12:02:29

文档预览

第60练高分子材料-2023年高考化学一轮复习小题多维练(原卷版)_05高考化学_通用版(老高考)复习资料_2023年复习资料_一轮复习_2023年高考化学一轮复习小题多维练(全国通用)
第60练高分子材料-2023年高考化学一轮复习小题多维练(原卷版)_05高考化学_通用版(老高考)复习资料_2023年复习资料_一轮复习_2023年高考化学一轮复习小题多维练(全国通用)
第60练高分子材料-2023年高考化学一轮复习小题多维练(原卷版)_05高考化学_通用版(老高考)复习资料_2023年复习资料_一轮复习_2023年高考化学一轮复习小题多维练(全国通用)
第60练高分子材料-2023年高考化学一轮复习小题多维练(原卷版)_05高考化学_通用版(老高考)复习资料_2023年复习资料_一轮复习_2023年高考化学一轮复习小题多维练(全国通用)
第60练高分子材料-2023年高考化学一轮复习小题多维练(原卷版)_05高考化学_通用版(老高考)复习资料_2023年复习资料_一轮复习_2023年高考化学一轮复习小题多维练(全国通用)
第60练高分子材料-2023年高考化学一轮复习小题多维练(原卷版)_05高考化学_通用版(老高考)复习资料_2023年复习资料_一轮复习_2023年高考化学一轮复习小题多维练(全国通用)
第60练高分子材料-2023年高考化学一轮复习小题多维练(原卷版)_05高考化学_通用版(老高考)复习资料_2023年复习资料_一轮复习_2023年高考化学一轮复习小题多维练(全国通用)
第60练高分子材料-2023年高考化学一轮复习小题多维练(原卷版)_05高考化学_通用版(老高考)复习资料_2023年复习资料_一轮复习_2023年高考化学一轮复习小题多维练(全国通用)
第60练高分子材料-2023年高考化学一轮复习小题多维练(原卷版)_05高考化学_通用版(老高考)复习资料_2023年复习资料_一轮复习_2023年高考化学一轮复习小题多维练(全国通用)
第60练高分子材料-2023年高考化学一轮复习小题多维练(原卷版)_05高考化学_通用版(老高考)复习资料_2023年复习资料_一轮复习_2023年高考化学一轮复习小题多维练(全国通用)
第60练高分子材料-2023年高考化学一轮复习小题多维练(原卷版)_05高考化学_通用版(老高考)复习资料_2023年复习资料_一轮复习_2023年高考化学一轮复习小题多维练(全国通用)
第60练高分子材料-2023年高考化学一轮复习小题多维练(原卷版)_05高考化学_通用版(老高考)复习资料_2023年复习资料_一轮复习_2023年高考化学一轮复习小题多维练(全国通用)
第60练高分子材料-2023年高考化学一轮复习小题多维练(原卷版)_05高考化学_通用版(老高考)复习资料_2023年复习资料_一轮复习_2023年高考化学一轮复习小题多维练(全国通用)
第60练高分子材料-2023年高考化学一轮复习小题多维练(原卷版)_05高考化学_通用版(老高考)复习资料_2023年复习资料_一轮复习_2023年高考化学一轮复习小题多维练(全国通用)
第60练高分子材料-2023年高考化学一轮复习小题多维练(原卷版)_05高考化学_通用版(老高考)复习资料_2023年复习资料_一轮复习_2023年高考化学一轮复习小题多维练(全国通用)
第60练高分子材料-2023年高考化学一轮复习小题多维练(原卷版)_05高考化学_通用版(老高考)复习资料_2023年复习资料_一轮复习_2023年高考化学一轮复习小题多维练(全国通用)
第60练高分子材料-2023年高考化学一轮复习小题多维练(原卷版)_05高考化学_通用版(老高考)复习资料_2023年复习资料_一轮复习_2023年高考化学一轮复习小题多维练(全国通用)

文档信息

文档格式
docx
文档大小
1.244 MB
文档页数
13 页
上传时间
2026-03-29 12:02:29

文档内容

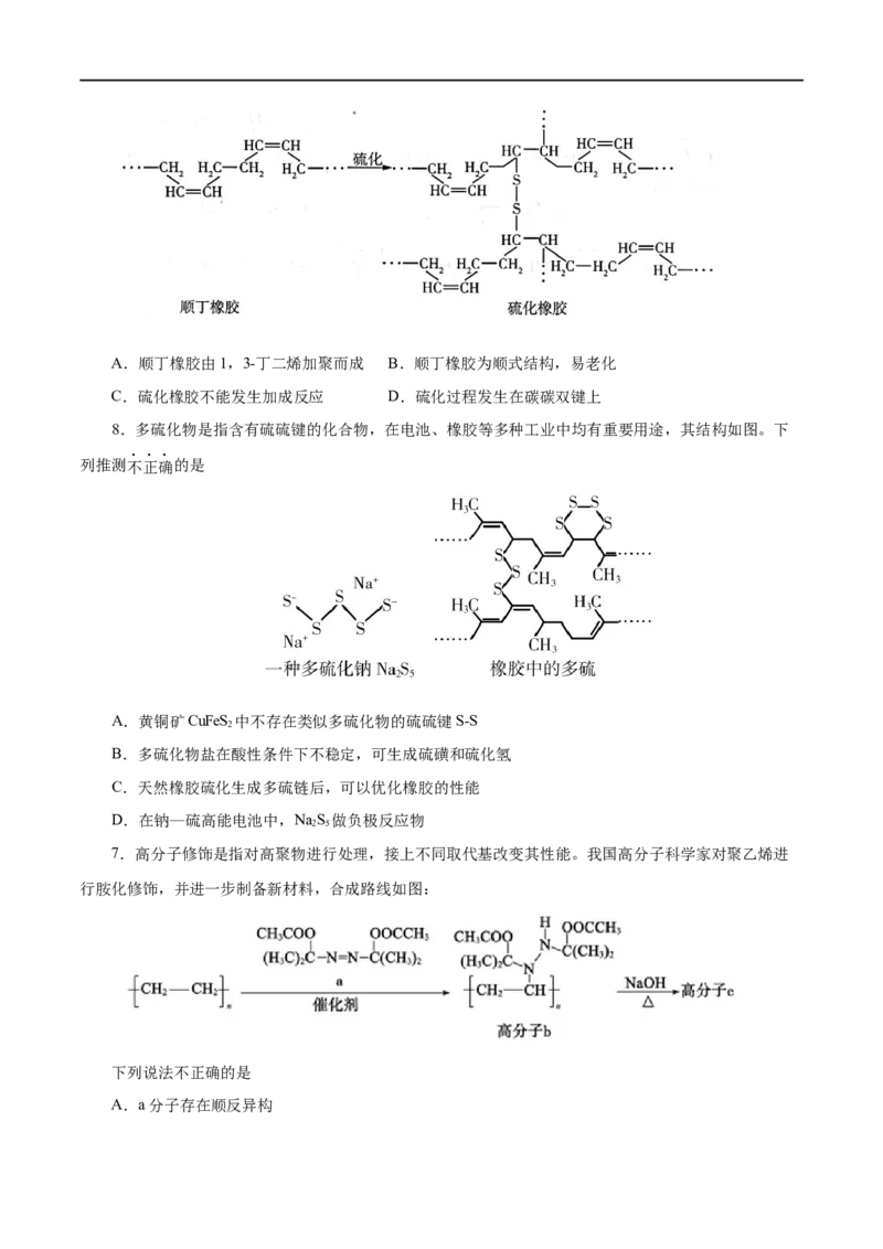
专题 20 合成高分子 第 60 练 高分子材料 1.下列塑料的合成,所发生的化学反应类型与另外三种不同的是( ) A.聚乙烯塑料 B.聚氯乙烯塑料 C.酚醛树脂 D.聚苯乙烯塑料 2.焚烧下列物质,严重污染大气的是( ) A.聚氯乙烯 B.聚乙烯 C.聚丙烯 D.有机玻璃 3.PE是指: A.聚乙烯塑料 B.聚氯乙烯塑料 C.聚丙烯塑料 D.聚苯乙烯塑料 4.化工塑料PVC指的是( ) A.聚丙烯腈 B.聚丙烯 C.聚氯乙烯 D.聚乙烯 5.下列高分子材料中,属于体型结构的是( ) A.有机玻璃 B.硫化橡胶 C.聚氯乙烯 D.聚乙烯 6.“白色污染”泛指塑料污染,常见的塑料有:①聚乙烯 ②聚丙烯 ③聚氯乙烯 ④聚苯乙烯, 下列关于它们的叙述正确的是( ) A.都是烯烃 B.分子内部都含有双键 C.它们的单体都能发生加聚反应 D.它们的分子结构都是空间网状结构 7.温室效应引起国际的关注,我国也积极应对,采取措施。中科院首创用 CO 合成可降解塑料聚二 2 氧化碳。下列相关说法合理的是( ) A.聚二氧化碳塑料是通过加聚反应制得的 B.聚二氧化碳塑料与干冰互为同素异形体 C.聚二氧化碳塑料的使用也会产生白色污染 D.聚二氧化碳塑料与干冰都属于纯净物 8.航天科学家正在考虑用塑料飞船代替铝制飞船进行太空探索。其依据是( ) A.塑料是一种高分子化合物,可以通过取代反应大量生产 B.塑料生产中加入添加剂可得到性能比铝优良的新型材料 C.塑料用途广泛,可从自然界中直接得到 D.塑料是有机物,不会和强酸强碱作用 9.下列高聚物经简单处理可以从线型结构变成网状结构的是( )A.①② B.③④ C.①④ D.②③ 10.对塑料的叙述不正确的是 ( ) A.热塑性塑料具有长链状的线型结构 B.热固性塑料在形成初期是长链状的 C.热固性塑料链与链之间会形成共价键,产生一些交联 D.热固性塑料在高温时共价键也不断裂 11.下列有关塑料问题的叙述不正确的是 A.塑料是一种人工合成的高分子材料,具有良好的成膜性、绝缘性、耐腐蚀性能特点 B.普通的塑料膜碎片在土壤中很快会被降解 C.废塑料的焚烧会产生大量的污染物 D.塑料的分类是回收和利用的一大障碍 12.下列有关聚乙烯的说法正确的是( ) A.聚乙烯是通过缩聚反应生成的 B.聚乙烯能使溴水褪色 C.高压聚乙烯可用于制作食品包装袋等薄膜制品 D.聚乙烯是热固性塑料,性质稳定,故不易造成污染 13.高分子分离膜可以让某些物质有选择地通过而将物质分离,下列应用不属于高分子分离膜的应用 范围的是( ) A.分离工业废水,回收废液中的有用成分 B.食品工业中,浓缩天然果汁,乳制品加工和酿酒 C.将化学能转换成电能,将热能转换成电能 D.海水淡化 1.用尿素和甲醛可以合成电玉(脲醛树脂),其结构如下: ,则合成电玉的反应属于( ) A.化合反应 B.加聚反应 C.缩聚反应 D.分解反应 2.下列几种橡胶中,最不稳定、长期见光与空气作用就会逐渐被氧化而变硬变脆的是( ) A.天然橡胶( ) B.硅橡胶( ) C.乙丙橡胶( ) D.硫化橡胶(天然橡胶中加硫黄,使 断裂,使其由线型结构变成体型结构) 3.某树脂的结构片断如图所示,下列关于该树脂的说法不正确的是( )(图中~~~表示链延长) A.合成该树脂的反应为缩聚反应 B.理论上合成该树脂的原料比例相同 C.合成该树脂的单体之一甲醛可由甲醇氧化得到 D.该树脂难溶于水 4.塑料制品废弃物常称为“白色污染”。防治这种污染的一条重要途径是将合成的高分子化合物重 新变成小分子化合物。如 已成功实现了这种处理。试分析若用 甲醇来处理它,能得到的有机物可能是( ) A. B. C. D.HOCH CHOH 2 2 5.一种高聚物分子B结构如图所示B是制造优良高频电绝缘材料的树脂,它是由a、b、c 3种单体通过缩聚反应脱掉小分子HO而生成 2 的,则a、b、c 3种单体的结构简式依次是 A. 、HCHO和 B. 、CHOH和 3 C. 、HCHO和 D. 、CHCHO和 3 6.最近, 科学家发现一种细菌在两种酶的帮助下,能够“切割”聚对苯二甲酸乙二酯 (PET) 塑料得 到单体对苯二甲酸和乙二醇。下列说法中正确的是 A.细菌“切割”PET 塑料的过程是一个物理过程 B.细菌“切割”PET 塑料优势是条件温和 C.温度越高细菌“切割”PET 塑料的速度越快 D.处理废弃 PET 塑料的理想方法是“填埋” 7.高聚物(L)是一种来源于生物学灵感的新型粘合剂,其原料取材于植物和贻贝。下列关于高聚物(L) 的说法中不正确的是( ) A.单体之一为 B.在一定条件下能发生水解反应 C.生成1mol L的同时,会有(x+y-1)mol H O生成 2 D.1mol L最多可与3mol H 发生加成反应 2 8.阴离子型聚丙烯酰胺(APAM)的水溶液广泛用于电镀厂、钢铁厂等废水(含铬离子、铜离子等)的絮凝沉降,其结构为: 。下列说法正确的是( ) A.APAM是由一种单体加聚而成的 B.APAM难溶于水 C.APAM不发生水解 D.APAM能与金属阳离子结合成不溶性凝胶体聚沉 9.由有机物X合成有机高分子粘合剂G的流程图如下: 下列叙述错误的是( ) A.有机物X中的含氧官能团是羧基和羟基 B.Z的结构简式一定是 C.由X生成I molY时,有1 mol H O生成 2 D.反应Ⅲ发生加聚反应生成G 10.用于制造隐形眼镜的功能高分子材料E的合成路线如图: 下列相关说法错误的是( ) A.物质A中所有原子可以共面 B.物质C和D均可使酸性高锰酸钾溶液褪色 C.D→E的反应类型是缩聚反应 D.材料E应该具有良好的亲水性 11.光刻胶是制芯片过程中用到的一种功能性胶水,其中一种胶水的主要成份是聚乙烯醇肉桂酸酯, 可通过如下反应制得:下列有关说法不正确的是 A.该反应属于酯化反应 B.聚乙烯醇的单体是乙烯醇 C.肉桂酸的9个碳原子可能共平面 D.聚乙烯醇肉桂酸酯可溶于NaOH溶液中 12.某吸水性高分子化合物(Z)的一种合成路线如下: 下列说法正确的是 A.X、Y、Z均为纯净物 B.X→Y的反应条件及试剂分别为Cu、加热,O 2 C.Y中至少有7个碳原子共面 D.X、Y、Z都不能使溴水褪色 13.一种自修复材料在外力破坏后能够复原,其结构简式(图1)和修复原理(图2)如图所示,下列说法 错误的是 A.该高分子可通过加聚反应合成 B.使用该材料时应避免接触强酸或强碱 C.合成该高分子的两种单体含有相同的官能团 D.自修复过程中“-COOCH CHCHCH”基团之间形成了化学键 2 2 2 314.线型PAA( )具有高吸水性,网状PAA在抗压性、吸水性等方面优于线型 PAA。网状PAA的制备方法是:将丙烯酸用NaOH中和,加入少量交联剂a,再引发聚合。其部分结构片 段如图所示,下列说法不正确的是 A.线型PAA的单体不存在顺反异构现象 B.形成网状结构的过程发生了缩聚反应 C.交联剂a的结构简式是 D.PAA的高吸水性与-COONa有关 1.PBT是最坚韧的工程热塑性材料之一,它是半结晶材料,有非常好的化学稳定性、机械强度、电 绝缘性和热稳定性,其结构简式为 下列叙述错误的是( ) A.PBT具有热固性,受热不熔化 B.PBT的单体是对苯二甲酸和丁二醇 C.由单体合成PBT的反应属于缩聚反应 D.1 mol PBT与NaOH溶液反应时,最多可消耗 2n mol NaOH 2.以纤维素为原料合成PEF塑料路线如图。下列有关说法错误的是A.纤维素是天然高分子化合物 B.葡萄糖和果糖互为同分异构体 C.可用酸性KMnO 溶液直接将5—HMF氧化为FDCA 4 D.单体a是乙二醇 3.尿素( )中与氮原子相连的氢原子可以像苯酚中苯环上的氢原学那样与甲醛发生反应, 生成交联脲醛树脂,其结构片段如图所示(图中 表示链延长)。下列说法错误的是 A.尿素可以与甲醛发生加成反应生成 B.合成交联脲醛树脂的反应为加聚反应 C.交联脲醛树脂在一定条件下可以发生水解反应,不能重新生成尿素和甲醛 D.甲醛可以使 交联成网状结构的脲醛树脂 4.神奇塑料K是一种能够自愈内部细微裂纹的塑料,其结构简式为 。以环戊二烯为原 料合成该塑料的路线如图所示:下列说法不正确的是 A.神奇塑料的分子式为(C H ),该路线的两步均符合最高原子利用率 10 12 n B.环戊二烯的同系物M ( ) 与H 发生1:1加成时可能有三种产物 2 C.中间产物的一氯代物有10种(不考虑立体异构) D.合成路线中的三种物质仅有前两种能够发生加成反应和加聚反应 5.为了减少白色污染,科学家合成了PLA塑料,其结构片段如图所示(图中 表示链延长)。下列 说法不正确的是 A.PLA聚合物的链节为 B.PLA可由 通过缩聚反应制得 C.PLA制取过程中可能生成副产物 D.PLA相比于聚氯乙烯塑料的优点是易降解 6.维纶(聚乙烯醇缩甲醛纤维)可用于生成服装、绳索等。其合成路线如下: 下列说法正确的是 A.反应①是缩聚反应 B.高分子A的链节中含有酯基和碳碳双键 C.通过质谱法测定高分子B的平均相对分子质量,可得其聚合度 D.反应③原子利用率100%,符合原子经济性 7.顺丁橡胶在硫化过程中结构片段发生如下变化,下列说法错误的是A.顺丁橡胶由1,3-丁二烯加聚而成 B.顺丁橡胶为顺式结构,易老化 C.硫化橡胶不能发生加成反应 D.硫化过程发生在碳碳双键上 8.多硫化物是指含有硫硫键的化合物,在电池、橡胶等多种工业中均有重要用途,其结构如图。下 列推测不正确的是 A.黄铜矿CuFeS 中不存在类似多硫化物的硫硫键S-S 2 B.多硫化物盐在酸性条件下不稳定,可生成硫磺和硫化氢 C.天然橡胶硫化生成多硫链后,可以优化橡胶的性能 D.在钠—硫高能电池中,NaS 做负极反应物 2 5 7.高分子修饰是指对高聚物进行处理,接上不同取代基改变其性能。我国高分子科学家对聚乙烯进 行胺化修饰,并进一步制备新材料,合成路线如图: 下列说法不正确的是 A.a分子存在顺反异构B.合成路线中生成高分子b的反应为加成反应 C.1mol高分子b最多可与2molNaOH反应 D.高分子c的水溶性比聚乙烯的好 8.聚脲具有防腐、防水、耐磨等特性,合成方法如下: n +n 下列说法不正确的是 A.M和N通过加聚反应形成聚脲 B.M分子中碳原子的杂化方式有3种 C.N苯环上的一氯代物有2种 D.一定条件下聚脲能发生水解生成M和N 9.水凝胶材料要求具有较高的含水率,以提高其透氧性能,在生物医学上有广泛应用。由N—乙烯基 吡咯烷酮(NVP)和甲基丙烯酸β—羟乙酯(HEMA)合成水凝胶材料高聚物A的路线如下图: 下列说法正确的是 A.NVP具有顺反异构 B.高聚物A具有一定的亲水性 C.HEMA和NVP通过缩聚反应生成高聚物AD.制备过程中引发剂浓度对含水率影响关系如上图,聚合过程中引发剂的浓度越高越好