当前位置:首页>文档>专题15.32解分式方程100题(分层练习)(提升练)-(人教版)_初中数学_八年级数学上册(人教版)_专题突破练习-V4_2024版

专题15.32解分式方程100题(分层练习)(提升练)-(人教版)_初中数学_八年级数学上册(人教版)_专题突破练习-V4_2024版

  • 2026-04-14 00:38:15 2026-04-12 00:41:26

文档预览

专题15.32解分式方程100题(分层练习)(提升练)-(人教版)_初中数学_八年级数学上册(人教版)_专题突破练习-V4_2024版
专题15.32解分式方程100题(分层练习)(提升练)-(人教版)_初中数学_八年级数学上册(人教版)_专题突破练习-V4_2024版
专题15.32解分式方程100题(分层练习)(提升练)-(人教版)_初中数学_八年级数学上册(人教版)_专题突破练习-V4_2024版
专题15.32解分式方程100题(分层练习)(提升练)-(人教版)_初中数学_八年级数学上册(人教版)_专题突破练习-V4_2024版
专题15.32解分式方程100题(分层练习)(提升练)-(人教版)_初中数学_八年级数学上册(人教版)_专题突破练习-V4_2024版
专题15.32解分式方程100题(分层练习)(提升练)-(人教版)_初中数学_八年级数学上册(人教版)_专题突破练习-V4_2024版
专题15.32解分式方程100题(分层练习)(提升练)-(人教版)_初中数学_八年级数学上册(人教版)_专题突破练习-V4_2024版
专题15.32解分式方程100题(分层练习)(提升练)-(人教版)_初中数学_八年级数学上册(人教版)_专题突破练习-V4_2024版
专题15.32解分式方程100题(分层练习)(提升练)-(人教版)_初中数学_八年级数学上册(人教版)_专题突破练习-V4_2024版
专题15.32解分式方程100题(分层练习)(提升练)-(人教版)_初中数学_八年级数学上册(人教版)_专题突破练习-V4_2024版
专题15.32解分式方程100题(分层练习)(提升练)-(人教版)_初中数学_八年级数学上册(人教版)_专题突破练习-V4_2024版
专题15.32解分式方程100题(分层练习)(提升练)-(人教版)_初中数学_八年级数学上册(人教版)_专题突破练习-V4_2024版
专题15.32解分式方程100题(分层练习)(提升练)-(人教版)_初中数学_八年级数学上册(人教版)_专题突破练习-V4_2024版
专题15.32解分式方程100题(分层练习)(提升练)-(人教版)_初中数学_八年级数学上册(人教版)_专题突破练习-V4_2024版
专题15.32解分式方程100题(分层练习)(提升练)-(人教版)_初中数学_八年级数学上册(人教版)_专题突破练习-V4_2024版
专题15.32解分式方程100题(分层练习)(提升练)-(人教版)_初中数学_八年级数学上册(人教版)_专题突破练习-V4_2024版
专题15.32解分式方程100题(分层练习)(提升练)-(人教版)_初中数学_八年级数学上册(人教版)_专题突破练习-V4_2024版
专题15.32解分式方程100题(分层练习)(提升练)-(人教版)_初中数学_八年级数学上册(人教版)_专题突破练习-V4_2024版
专题15.32解分式方程100题(分层练习)(提升练)-(人教版)_初中数学_八年级数学上册(人教版)_专题突破练习-V4_2024版
专题15.32解分式方程100题(分层练习)(提升练)-(人教版)_初中数学_八年级数学上册(人教版)_专题突破练习-V4_2024版
专题15.32解分式方程100题(分层练习)(提升练)-(人教版)_初中数学_八年级数学上册(人教版)_专题突破练习-V4_2024版
专题15.32解分式方程100题(分层练习)(提升练)-(人教版)_初中数学_八年级数学上册(人教版)_专题突破练习-V4_2024版
专题15.32解分式方程100题(分层练习)(提升练)-(人教版)_初中数学_八年级数学上册(人教版)_专题突破练习-V4_2024版
专题15.32解分式方程100题(分层练习)(提升练)-(人教版)_初中数学_八年级数学上册(人教版)_专题突破练习-V4_2024版
专题15.32解分式方程100题(分层练习)(提升练)-(人教版)_初中数学_八年级数学上册(人教版)_专题突破练习-V4_2024版
专题15.32解分式方程100题(分层练习)(提升练)-(人教版)_初中数学_八年级数学上册(人教版)_专题突破练习-V4_2024版
专题15.32解分式方程100题(分层练习)(提升练)-(人教版)_初中数学_八年级数学上册(人教版)_专题突破练习-V4_2024版
专题15.32解分式方程100题(分层练习)(提升练)-(人教版)_初中数学_八年级数学上册(人教版)_专题突破练习-V4_2024版
专题15.32解分式方程100题(分层练习)(提升练)-(人教版)_初中数学_八年级数学上册(人教版)_专题突破练习-V4_2024版
专题15.32解分式方程100题(分层练习)(提升练)-(人教版)_初中数学_八年级数学上册(人教版)_专题突破练习-V4_2024版
专题15.32解分式方程100题(分层练习)(提升练)-(人教版)_初中数学_八年级数学上册(人教版)_专题突破练习-V4_2024版
专题15.32解分式方程100题(分层练习)(提升练)-(人教版)_初中数学_八年级数学上册(人教版)_专题突破练习-V4_2024版
专题15.32解分式方程100题(分层练习)(提升练)-(人教版)_初中数学_八年级数学上册(人教版)_专题突破练习-V4_2024版
专题15.32解分式方程100题(分层练习)(提升练)-(人教版)_初中数学_八年级数学上册(人教版)_专题突破练习-V4_2024版
专题15.32解分式方程100题(分层练习)(提升练)-(人教版)_初中数学_八年级数学上册(人教版)_专题突破练习-V4_2024版
专题15.32解分式方程100题(分层练习)(提升练)-(人教版)_初中数学_八年级数学上册(人教版)_专题突破练习-V4_2024版
专题15.32解分式方程100题(分层练习)(提升练)-(人教版)_初中数学_八年级数学上册(人教版)_专题突破练习-V4_2024版
专题15.32解分式方程100题(分层练习)(提升练)-(人教版)_初中数学_八年级数学上册(人教版)_专题突破练习-V4_2024版
专题15.32解分式方程100题(分层练习)(提升练)-(人教版)_初中数学_八年级数学上册(人教版)_专题突破练习-V4_2024版
专题15.32解分式方程100题(分层练习)(提升练)-(人教版)_初中数学_八年级数学上册(人教版)_专题突破练习-V4_2024版
专题15.32解分式方程100题(分层练习)(提升练)-(人教版)_初中数学_八年级数学上册(人教版)_专题突破练习-V4_2024版
专题15.32解分式方程100题(分层练习)(提升练)-(人教版)_初中数学_八年级数学上册(人教版)_专题突破练习-V4_2024版
专题15.32解分式方程100题(分层练习)(提升练)-(人教版)_初中数学_八年级数学上册(人教版)_专题突破练习-V4_2024版
专题15.32解分式方程100题(分层练习)(提升练)-(人教版)_初中数学_八年级数学上册(人教版)_专题突破练习-V4_2024版
专题15.32解分式方程100题(分层练习)(提升练)-(人教版)_初中数学_八年级数学上册(人教版)_专题突破练习-V4_2024版
专题15.32解分式方程100题(分层练习)(提升练)-(人教版)_初中数学_八年级数学上册(人教版)_专题突破练习-V4_2024版
专题15.32解分式方程100题(分层练习)(提升练)-(人教版)_初中数学_八年级数学上册(人教版)_专题突破练习-V4_2024版
专题15.32解分式方程100题(分层练习)(提升练)-(人教版)_初中数学_八年级数学上册(人教版)_专题突破练习-V4_2024版
专题15.32解分式方程100题(分层练习)(提升练)-(人教版)_初中数学_八年级数学上册(人教版)_专题突破练习-V4_2024版
专题15.32解分式方程100题(分层练习)(提升练)-(人教版)_初中数学_八年级数学上册(人教版)_专题突破练习-V4_2024版
专题15.32解分式方程100题(分层练习)(提升练)-(人教版)_初中数学_八年级数学上册(人教版)_专题突破练习-V4_2024版
专题15.32解分式方程100题(分层练习)(提升练)-(人教版)_初中数学_八年级数学上册(人教版)_专题突破练习-V4_2024版
专题15.32解分式方程100题(分层练习)(提升练)-(人教版)_初中数学_八年级数学上册(人教版)_专题突破练习-V4_2024版
专题15.32解分式方程100题(分层练习)(提升练)-(人教版)_初中数学_八年级数学上册(人教版)_专题突破练习-V4_2024版
专题15.32解分式方程100题(分层练习)(提升练)-(人教版)_初中数学_八年级数学上册(人教版)_专题突破练习-V4_2024版
专题15.32解分式方程100题(分层练习)(提升练)-(人教版)_初中数学_八年级数学上册(人教版)_专题突破练习-V4_2024版
专题15.32解分式方程100题(分层练习)(提升练)-(人教版)_初中数学_八年级数学上册(人教版)_专题突破练习-V4_2024版
专题15.32解分式方程100题(分层练习)(提升练)-(人教版)_初中数学_八年级数学上册(人教版)_专题突破练习-V4_2024版
专题15.32解分式方程100题(分层练习)(提升练)-(人教版)_初中数学_八年级数学上册(人教版)_专题突破练习-V4_2024版
专题15.32解分式方程100题(分层练习)(提升练)-(人教版)_初中数学_八年级数学上册(人教版)_专题突破练习-V4_2024版
专题15.32解分式方程100题(分层练习)(提升练)-(人教版)_初中数学_八年级数学上册(人教版)_专题突破练习-V4_2024版
专题15.32解分式方程100题(分层练习)(提升练)-(人教版)_初中数学_八年级数学上册(人教版)_专题突破练习-V4_2024版
专题15.32解分式方程100题(分层练习)(提升练)-(人教版)_初中数学_八年级数学上册(人教版)_专题突破练习-V4_2024版
专题15.32解分式方程100题(分层练习)(提升练)-(人教版)_初中数学_八年级数学上册(人教版)_专题突破练习-V4_2024版
专题15.32解分式方程100题(分层练习)(提升练)-(人教版)_初中数学_八年级数学上册(人教版)_专题突破练习-V4_2024版
专题15.32解分式方程100题(分层练习)(提升练)-(人教版)_初中数学_八年级数学上册(人教版)_专题突破练习-V4_2024版
专题15.32解分式方程100题(分层练习)(提升练)-(人教版)_初中数学_八年级数学上册(人教版)_专题突破练习-V4_2024版
专题15.32解分式方程100题(分层练习)(提升练)-(人教版)_初中数学_八年级数学上册(人教版)_专题突破练习-V4_2024版
专题15.32解分式方程100题(分层练习)(提升练)-(人教版)_初中数学_八年级数学上册(人教版)_专题突破练习-V4_2024版
专题15.32解分式方程100题(分层练习)(提升练)-(人教版)_初中数学_八年级数学上册(人教版)_专题突破练习-V4_2024版
专题15.32解分式方程100题(分层练习)(提升练)-(人教版)_初中数学_八年级数学上册(人教版)_专题突破练习-V4_2024版
专题15.32解分式方程100题(分层练习)(提升练)-(人教版)_初中数学_八年级数学上册(人教版)_专题突破练习-V4_2024版
专题15.32解分式方程100题(分层练习)(提升练)-(人教版)_初中数学_八年级数学上册(人教版)_专题突破练习-V4_2024版
专题15.32解分式方程100题(分层练习)(提升练)-(人教版)_初中数学_八年级数学上册(人教版)_专题突破练习-V4_2024版
专题15.32解分式方程100题(分层练习)(提升练)-(人教版)_初中数学_八年级数学上册(人教版)_专题突破练习-V4_2024版
专题15.32解分式方程100题(分层练习)(提升练)-(人教版)_初中数学_八年级数学上册(人教版)_专题突破练习-V4_2024版
专题15.32解分式方程100题(分层练习)(提升练)-(人教版)_初中数学_八年级数学上册(人教版)_专题突破练习-V4_2024版
专题15.32解分式方程100题(分层练习)(提升练)-(人教版)_初中数学_八年级数学上册(人教版)_专题突破练习-V4_2024版
专题15.32解分式方程100题(分层练习)(提升练)-(人教版)_初中数学_八年级数学上册(人教版)_专题突破练习-V4_2024版
专题15.32解分式方程100题(分层练习)(提升练)-(人教版)_初中数学_八年级数学上册(人教版)_专题突破练习-V4_2024版
专题15.32解分式方程100题(分层练习)(提升练)-(人教版)_初中数学_八年级数学上册(人教版)_专题突破练习-V4_2024版
专题15.32解分式方程100题(分层练习)(提升练)-(人教版)_初中数学_八年级数学上册(人教版)_专题突破练习-V4_2024版
专题15.32解分式方程100题(分层练习)(提升练)-(人教版)_初中数学_八年级数学上册(人教版)_专题突破练习-V4_2024版
专题15.32解分式方程100题(分层练习)(提升练)-(人教版)_初中数学_八年级数学上册(人教版)_专题突破练习-V4_2024版
专题15.32解分式方程100题(分层练习)(提升练)-(人教版)_初中数学_八年级数学上册(人教版)_专题突破练习-V4_2024版
专题15.32解分式方程100题(分层练习)(提升练)-(人教版)_初中数学_八年级数学上册(人教版)_专题突破练习-V4_2024版
专题15.32解分式方程100题(分层练习)(提升练)-(人教版)_初中数学_八年级数学上册(人教版)_专题突破练习-V4_2024版
专题15.32解分式方程100题(分层练习)(提升练)-(人教版)_初中数学_八年级数学上册(人教版)_专题突破练习-V4_2024版
专题15.32解分式方程100题(分层练习)(提升练)-(人教版)_初中数学_八年级数学上册(人教版)_专题突破练习-V4_2024版
专题15.32解分式方程100题(分层练习)(提升练)-(人教版)_初中数学_八年级数学上册(人教版)_专题突破练习-V4_2024版
专题15.32解分式方程100题(分层练习)(提升练)-(人教版)_初中数学_八年级数学上册(人教版)_专题突破练习-V4_2024版
专题15.32解分式方程100题(分层练习)(提升练)-(人教版)_初中数学_八年级数学上册(人教版)_专题突破练习-V4_2024版
专题15.32解分式方程100题(分层练习)(提升练)-(人教版)_初中数学_八年级数学上册(人教版)_专题突破练习-V4_2024版
专题15.32解分式方程100题(分层练习)(提升练)-(人教版)_初中数学_八年级数学上册(人教版)_专题突破练习-V4_2024版
专题15.32解分式方程100题(分层练习)(提升练)-(人教版)_初中数学_八年级数学上册(人教版)_专题突破练习-V4_2024版
专题15.32解分式方程100题(分层练习)(提升练)-(人教版)_初中数学_八年级数学上册(人教版)_专题突破练习-V4_2024版
专题15.32解分式方程100题(分层练习)(提升练)-(人教版)_初中数学_八年级数学上册(人教版)_专题突破练习-V4_2024版
专题15.32解分式方程100题(分层练习)(提升练)-(人教版)_初中数学_八年级数学上册(人教版)_专题突破练习-V4_2024版
专题15.32解分式方程100题(分层练习)(提升练)-(人教版)_初中数学_八年级数学上册(人教版)_专题突破练习-V4_2024版
专题15.32解分式方程100题(分层练习)(提升练)-(人教版)_初中数学_八年级数学上册(人教版)_专题突破练习-V4_2024版
专题15.32解分式方程100题(分层练习)(提升练)-(人教版)_初中数学_八年级数学上册(人教版)_专题突破练习-V4_2024版

文档信息

文档格式
docx
文档大小
3.986 MB
文档页数
97 页
上传时间
2026-04-12 00:41:26

文档内容

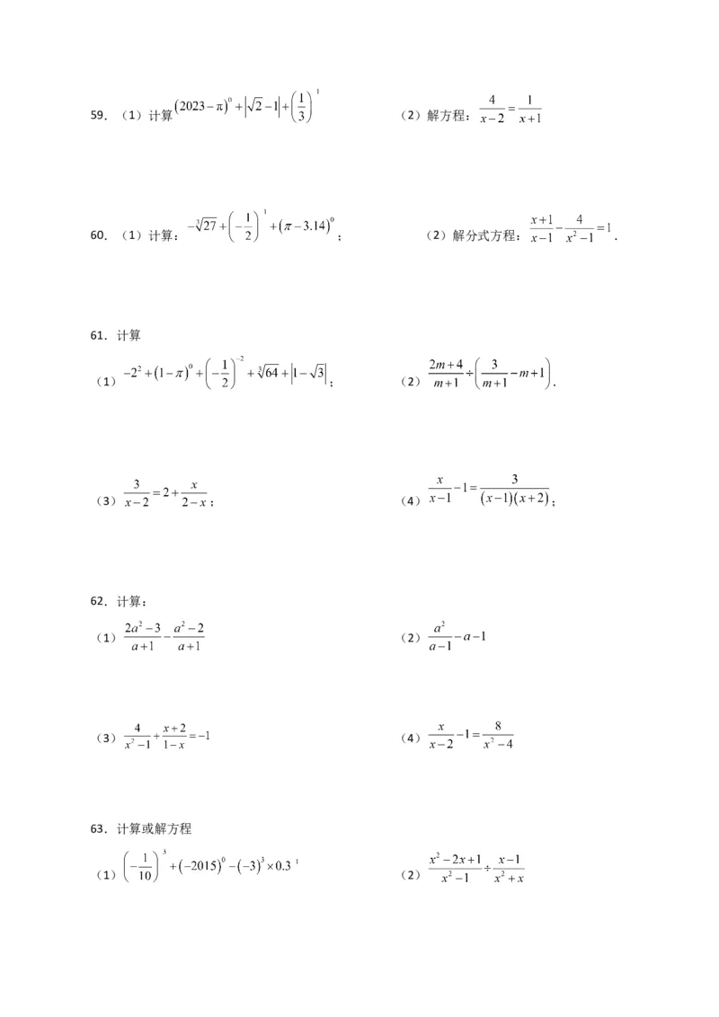
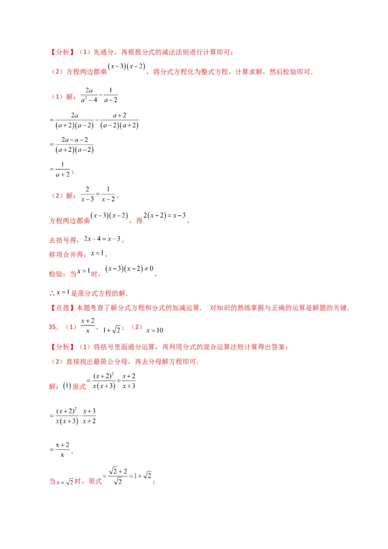
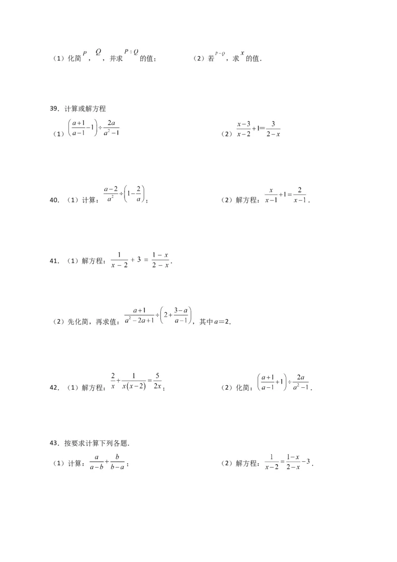
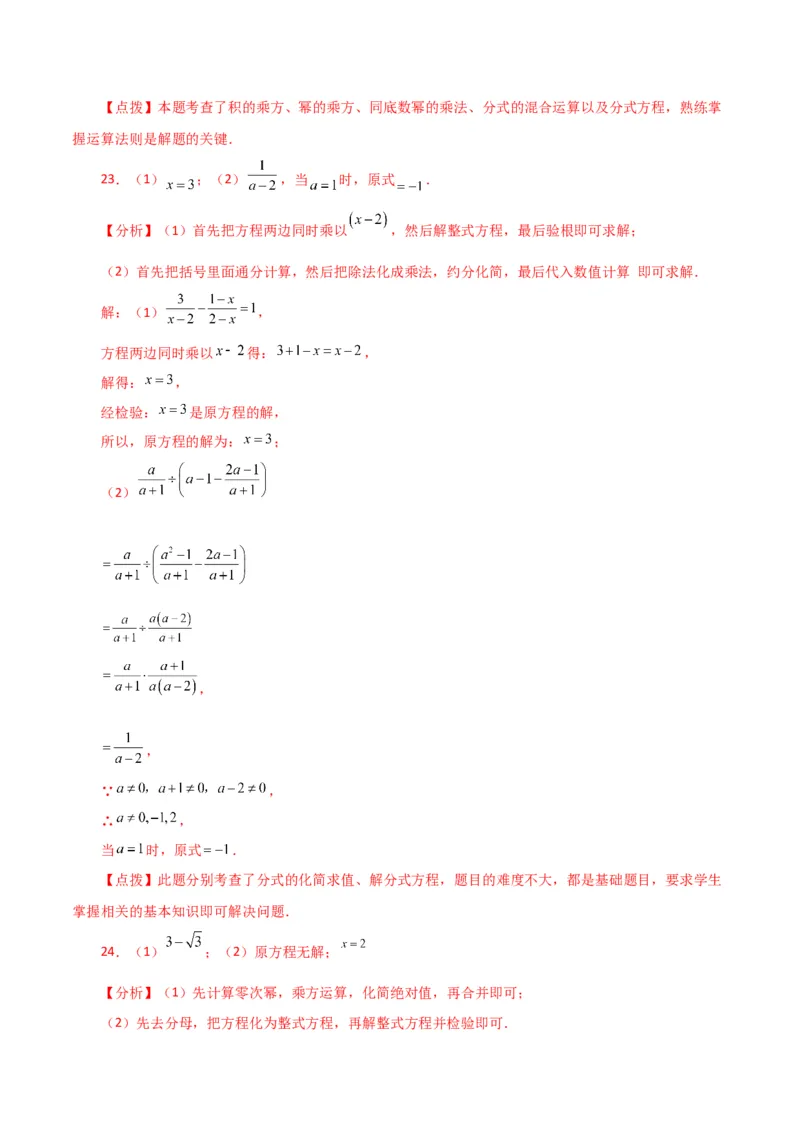
专题15.32 解分式方程100 题(分层练习)(提升练) 一、计算题 1.解方程 (1) ; (2) . 2.解分式方程 (1) (2) 3.解方程: (1) (2) 4.(1)先化简再求值: ,其中 ; (2)解方程: . 5.解分式方程 (1) . (2) . 6.(1)计算: (2)解方程:7.计算: (1) ; (2) . 8.(1)计算 ; (2)解方程 ; (3)先化简再求值: ,然后从0,1,2中选择一个合适的数代入求值. 9.(1)解方程: ① ; ② . (2)计算 ① ; ② 10.(1)计算: ; (2)化简: . (3)解分式方程: .11.(1)计算: . (2)解分式方程: . 12.(1)解分式方程: . (2)先化简,再求值: ,其中 . 13.(1)计算: (2)解方程: . 14.(1)计算: (2)解方程: . 15.(1)解方程: (2)先化简,再求值: ,其中a从 ,2,3中取一个你认为合适的数代入 求值.16.(1)计算: (2)解分式方程: . 17.(1)化简: . (2)解方程: 18.(1)解方程: (2)计算: - 19.(1)计算: ; (2)化简: . (3)计算: . (4)解分式方程: . 20.计算 (1) (2) 21.计算或解方程: (1) ; (2) .22.(1)计算: ; (2)计算: . (3)解方程: ; (4)解方程: . 23.(1)解方程: (2)先化简: ,然后给a选择一个合适的自然数代入求值. 24.(1)计算: . (2)解分式方程: 25.解答下列各题 (1)解分式方程: ; (2)计算: .26.(1)解方程: ; (2)先化简,再求值: ,选择一个你喜欢的 的值代入其中并求值. 27.计算和解方程: (1)计算: (2)计算: . (3)解下列分式方程: ; (4)若关于x的分式方程 无解,求m的值. 28.(1)解方程: ; (2)计算: . 29.(1)计算: ; (2)解方程: .30.化简: . 解: ……(第一步) . ……(第二步) 解方程: . 解:方程两边同时乘以___________,得: ……(第一步) 去括号,得 , ……(第二步) 合并同类项,得: ……(第三步) 移项,得: , ……(第四步) 化系数为1,得: ……(第五步) 任务一:补全题目中空格部分. 任务二:化简题目中,第一步运算是___________,它的依据是______________________; 解方程题目中,第一步运算是___________,它的依据是______________________; 任务三:小长同学通过核对答案,认为解方程的答案是正确的,但小治同学却说解题不能仅看结果, 更要注重过程,他认为上面解方程的过程少了一步.你觉得小治说的对吗?如果你同意小治的说法,那题 目中少了哪一步呢?请先补全这一步,再说明该步骤不能省略的理由! 任务四:反思让人进步,分享使人成长,请你给大家分享你在学习分式(分式方程)中的成功经验. (至少一条) 31.(1)计算: ; (2)解方程: .32.(1)解分式方程: ; (2)先化简,再求值: ,其中 . 33.(1)计算: ; (2)解分式方程: . 34.(1)化简: ; (2)解方程: . 35.(1)先化简,再求值: ,其中 . (2)解分式方程: . 36.(1)化简: ; (2)解方程: . 37.(1)计算: ; (2)解方程: . 38.已知 , .(1)化简 , ,并求 的值; (2)若 ,求 的值. 39.计算或解方程 (1) (2) 40.(1)计算: ; (2)解方程: . 41.(1)解方程: . (2)先化简,再求值: ,其中a=2. 42.(1)解方程: ; (2)化简: . 43.按要求计算下列各题. (1)计算: ; (2)解方程: .44.(1)以下是小明同学解方程 的过程. 【解析】方程两边同时乘 ,得 .第一步 解得 .第二步 检验:当 时, .第三步 所以,原分式方程的解为 .第四步 ①小明的解法从第___________步开始出现错误;出错的原因是___________. ②解分式方程的思想是利用___________的数学思想,把分式方程化为整式方程. A.数形结合 B.特殊到一般 C.转化 D.类比 ③写出解方程 的正确过程. (2)化简: . 45.(1)解方程: ; (2)化简并求值: ,从0、1、2、3几个数中选取一个作为 的值代入. 46.(1)解方程: (2)化简: 47.(1)计算: ; (2)解分式方程: .48.(1)计算: ; (2)解方程: . 49.(1)计算: ; (2)解方程: . 50.(1)化简: ; (2)解方程: . 51.(1)计算: ; (2)解方程: . 52.计算: (1) (2) (3) 53.(1)解方程 (2)化简54.(1)计算: ; (2)解方程: ; (3)先化简,再求值: ,其中 . 55.(1)计算: (2)解分式方程: . 56.(1)解方程: (2)化简: 57.(1)化简 ; (2)解方程 58.(1)先化简,再求值: ,其中 . (2)解方程: .59.(1)计算 (2)解方程: 60.(1)计算: ; (2)解分式方程: . 61.计算 (1) ; (2) . (3) ; (4) ; 62.计算: (1) (2) (3) (4) 63.计算或解方程 (1) (2)(3) ; (4) (5)先化简,再求值: ,从 选择一个合适的整数作为x的值代入求值. 64.(1)计算: (2)解分式方程: 65.(1)计算: ① ; ② (2) 解方程: ① ② 66.(1)计算: ; (2)解方程: 67.以下是小亮同学在解分式方程 的过程:解:去分母得 ………………① 化简得 ……………………………… ② 解得 , …………………………… ③ 经检验, , 是原方程的解……… ④ 所以原方程的解为 , 根据小亮的解题过程,回答下列问题: (1)小亮的解题过程中第 步开始出现了错误. (2)请你写出正确的解答过程. 68.“ ”称为二阶行列式,规定它的运算法则为: ,例如: . (1)计算 ; (2)求等式 中x的值. 69.(1)计算: (2)化简: . (3)解分式方程: .(4)先化简再求值: ,其 从 ,2, ,3中选一个合适的数代入求值. 70.计算及解方程 (1)计算: (2)解方程: (3)解方程: 71.(1)计算: (2)解方程 : 72.(1) ; (2)先化简 ,然后从 的围内选取一个合适的整数为 的值代入求值. 73.(1)先化简再求值: ,再在 ,0,1,2中选择一个合适的数代入求值. (2)74.(1)化简: ; (2)解方程: . 75.(1)计算: (2)解方程: 76.(1)计算: (2)解方程: 77.探索发现: , , …… 根据你发现的规律,回答下列问题: (1) =___________, =___________, (2)利用你发现的规律计算 (3)灵活利用规律解方程: + +……+ = 78.(1)计算: (2)解方程:79.(1)化简计算: (2)解方程: 80.(1)计算: (2)解方程: 81.(1)先化简,在求值: ,再从 、0、1三个数中选择一个你认为合 适的数作为 的值代入求值, (2)解方程: 82.(1)计算: ; (2)解方程: . 83.按要求解答下列各题 (1)解方程: (2)先化简,再求值: ,其中x是不等式组 的整数解.84.(1)解方程: . (2)先化简,再求值: ,其中 . 85.(1)解分式方程: (2)以下是某同学化简分式 的部分运算过程: 解:原式 ① ② ③ … ①上面的运算过程中第________步出现了错误; ②请你写出完整的解答过程. 86.(1)计算: ; (2)解方程: . 87.老师所留的作业中有这样一个分式的计算题: ,甲、乙两位同学完成的过程分别如 下:甲同学: 第一步 第二步 第三步 乙同学: 第一步 第二步 第三步 (1)对于两人的做法,下列判断正确的是:( ) A.甲对乙错 B.甲错乙对 C.甲乙都对 D.甲乙都错 (2)若正确,说明每步做的依据;若错误,则甲同学的解答从第___________步开始出现错误;乙同 学的解答从第___________步开始出现错误;并重新写出完成此题的正确解答过程. (3)解分式方程,体会与分式化简的关系. 88.根据要求解答下列问题. (1)化简: ; (2)解方程: .89.(1)解分式方程: (2)先化简,再求值: ,其中 . 90.(1)计算: ; (2)解方程: . 91.解答下列各题: (1)先化简,再求值: ,请从 ,0,1中,选择一个你喜欢的x代入求值. (2)解分式方程: . 92.计算: (1)先化简再求值: ,取你喜欢的整数m代入求值. (2)解方程: .93.(1)化简: , (2)解方程: . 94.(1)解方程: ; (2)先化简,再求值: ,其中 , . 95.(1)计算: ; (2)解方程: . 96.(1)化简: ; (2)解方程: . 97.按要求解答下列各题 (1)解方程: ; (2)计算: 98.(1)计算: (2)解方程: 99.(1)计算: (2)解方程:100.(1)解分式方程: ; (2)先化简,再求值 ,请你选一个喜欢的数代入并求值. 参考答案: 1.(1) ;(2)无解 【分析】本题考查了解分式方程; (1)方程两边同乘最简公分母将分式方程转化为整式方程,求出整式方程的解,检验后可得答案; (2)方程两边同乘最简公分母将分式方程转化为整式方程,求出整式方程的解,检验后可得答案. (1)解:方程两边同乘 得: , 解得: , 检验:当 时, , 故分式方程的解为 ; (2)解:方程两边同乘 得: , 解得: , 检验:当 时, , 所以 是增根,分式方程无解. 2.(1) ;(2) 【分析】本题考查了解分式方程,熟练掌握分式方程的解法是解题的关键, (1)去分母,转化为整式方程求解即可. (2)去分母,转化为整式方程求解即可.解:(1) 去分母,得 , 移项,合并同类项,得 , 解得 , 经检验, 是原方程的解, 故原方程的解为 . (2) 去分母,得 , 移项,合并同类项,得 , 解得 , 经检验, 是原方程的解, 故原方程的解为 . 3.(1) ;(2) 【分析】此题考查了解分式方程,解分式方程的基本思想是“转化思想”,把分式方程转化为整式方 程求解.解分式方程一定注意要验根. (1)按去分母,移项合并同类项,系数化为1求出其解,再检验解即可; (2)按去分母,去括号,移项合并同类项,系数化为1求出其解,再检验解即可. (1)解:去分母得: , 移项合并得: , 解得: , 检验:把 代入 , ∴ 是分式方程的解; (2)解:去分母得: , 去括号得: , 移项合并得: ,解得: , 检验:把 代入 , ∴ 是分式方程的解. 4.(1) ,2;(2) 【分析】本题考查分式的化简求值、解分式方程,涉及零指数幂和负整数指数幂运算,熟练掌握相应 运算法则和解法步骤是解答的关键. (1)先根据分式的混合运算法则化简原式,再求得x值代入求解即可; (2)先去分母化为整式方程,进而解方程求解即可,注意运算结果要检验. 解:(1) , ∵ , ∴原式 ; (2)去分母,得 , 移项、合并同类项,得 , 化系数为1,得 , 经检验, 是原分式方程的解. 5.(1) ;(2)原方程无解 【分析】本题考查了解分式方程,熟练掌握解分式方程的方法和步骤是解题的关键. (1)先在两边同时乘以 ,将分式方程化为整式方程,即可解答; (2)先在两边同时乘以 ,将分式方程化为整式方程,即可解答. (1)解: ,, 解得: , 检验:当 时, , ∴ 是原方程的根; (2)解: , , 解得: , 检验:当 时, , ∴ 是原方程的增根, ∴原方程无解. 6.(1) ;(2)方程无解. 【分析】(1)利用负整数指数幂、乘方、零指数幂进行运算后,再进行四则混合运算即可; (2)方程两边同乘以 得到整式方程,解方程后检验即可得到答案. 解:(1) (2) 两边同乘以 得, , 解得, , 当 时, , ∴ 是增根, ∴原分式方程无解. 【点拨】此题考查了负整数指数幂、零指数幂、解分式方程等知识,熟练掌握运算法则和分式方程的解法是解题的关键. 7.(1) ;(2) 【分析】(3)根据算术平方根、负指数幂、零指数幂及绝对值的性质进行计算即可; (4)根据分式方程的计算步骤进行计算即可. (1)解:原式 ; (2) 经检验, 是原方程的解; 【点拨】本题主要考查实数的运算及解分式方程,解题的关键是熟练掌握实数的运算法则及解分式方 程的步骤. 8.(1) ;(2) ;(3) ,当 时,原式= 【分析】(1)根据负指数幂、零指数幂以及乘方计算即可; (2)去分母,化为整式方程,解出整式方程,再检验可得分式方程的解; (3)先化简,再将有意义的a的值代入计算即可. 解:(1)原式 ; (2)原方程变形得 , 去分母得: , 去括号得: , ,经检验 是分式方程的解; (3)原式 要使原分式有意义,则 , , , , 当 时, 原式 , . 【点拨】本题考查解实数的混合运算、分式方程和分式化简求值,解题的关键是掌握分式基本性质和 等式基本性质以及零指数幂及负指数幂的运算法则. 9.(1)① ;②原方程无解;(2)① ;② 【分析】(1)①方程两边同乘以 转化为整式方程,解出x并检验即可; ②方程两边同乘以 转化为整式方程,解出x并检验即可; (2)①先通分,根据同分母的分式的减法法则计算即可; ②根据分式的减法和除法可以解答本题. 解:(1)① , 去分母得 , 解得 , 检验:当 时, . 所以 是原方程的解; ② , 去分母得 , 解得 ,检验:当 时, . 所以 是增根,原方程无解; (2)① ; ② . 【点拨】本题主要考查了解分式方程和分式的混合运算,熟练掌握解分式方程的方法是解题的关键, 两分式方程去分母转化为整式方程,求出整式方程的解得到x的值,经检验即可得到分式方程的解. 10.(1) ;(2) ;(3) 【分析】(1)先计算负整数次幂、算术平方根、零次幂、绝对值,再进行加减运算; (2)先将括号内式子通分,化分式除法为乘法,约分化简即可; (3)先将分式方程化为整式方程,求出解后再代入检验即可. 解:(1) ; (2)(3)方程两边同乘 , 得 , 解得: , 检验:当 时, , ∴这个分式方程的解为 . 【点拨】本题考查实数的混合运算、分式约分化简以及解分式方程,属于基础题,正确计算是解题的 关键. 11.(1) ;(2)无解. 【分析】(1)根据零次幂,负整数次幂,绝对值,算术平方根的运算法则计算即可; (2)根据解分式方程的步骤解答即可. 解:(1) . (2) 去分母得: , 去括号得: , 移项合并同类项得: . 检验:当 时, ,所以 不是原分式方程的根, ∴原分式方程无解. 【点拨】本题考查零次幂,负整数次幂,绝对值,算术平方根以及解分式方程,在解分式方程过程中,不要忘记检验是解题的关键. 12.(1) ;(2) , 【分析】(1)分式方程去分母转化为整式方程,求出整式方程的解得到 的值,经检验即可得到分式 方程的解; (2)原式第二项利用除法法则变形,约分后两项利用同分母分式的减法法则计算得到最简结果,把 的值代入计算即可求出值. 解:(1)去分母得: , 解得: , 经检验 是分式方程的解, 即原方程的解为 ; (2)原式 , 当 时,原式 . 【点拨】此题考查了分式的化简求值,以及解分式方程,熟练掌握运算法则是解本题的关键. 13.(1)0;(2) 【分析】(1)根据零指数幂、算术平方根、负整数指数幂的法则计算即可; (2)去分母化为整式方程,解方程后检验即可得到答案. 解:(1) (2)方程两边同乘 ,得 , 解得 . 检验:当 时, , ∴原方程的解为 . 【点拨】此题考查了实数的混合运算和解分式方程,熟练掌握零指数幂、算术平方根、负整数指数幂 的法则以及分式方程的解法是解题的关键. 14.(1) ;(2) 【分析】(1)根据绝对值、零指数幂、负指数幂、二次根式计算即可; (2)先在等式两边同乘 ,再移项即可求解; (1)解:原式= = (2)解: 检验:将 代入 得4, 故 是原方程的根. 【点拨】本题主要考查实数的混合运算,解分式方程,掌握相关知识及求解步骤是解题的关键. 15.(1) ;(2) ,当 时,原式 【分析】(1)根据解分式方程的一般步骤求解即可; (2)先利用分式混合运算法则化简,再根据原分式要有意义得出 ,再代入计算即可. (1)解:方程两边都乘以 得, , 解得 , 经检验: 是原方程的解, 原方程的解为 ;(2)解: = ; 当a取 和2时,分式无意义,故选 ; 把 代入,原式 【点拨】本题考查解分式方程和分式的化简求值,掌握相关运算法则和公式是解题的关键. 16.(1) ;(2) 【分析】(1)先算负整数指数幂,零指数幂,积的乘方,再算加减即可; (2)根据解分式方程的步骤计算即可. (1)解:原式 . (2) 解:去分母得: , 去括号得: , 移项并合并得: , 解得: ,检验:当 时, , 是原方程的解, 原方程的解是: 【点拨】本题考查了解分式方程和实数的混合运算,熟练掌握运算法则计算是解决此题的关键. 17.(1) ;(2) 【分析】(1)利用同分母分式加减法法则,进行计算即可解答; (2)按照解分式方程的步骤,进行计算即可解答. 解:(1) ; (2) , , 解得: , 当 时, , 是原方程的根. 【点拨】本题考查了解分式方程,分式的加减法,准确熟练地进行计算是解题的关键. 18.(1) ;(2) 【分析】(1)去分母,分式方程化为整式方程求解,注意验根; (2)根据二次根式的性质化简,运用二次根式的运算法则处理. 解:(1)原方程变形,得 , , ∴ .时, , 所以, 是原方程解. (2) - . 【点拨】本题考查一元一次方程的求解,二次根式的运算;掌握运算规则是解题的关键,注意分式方 程的验根. 19.(1)0;(2) ;(3) ;(4)无解 【分析】(1)先根据相反数、绝对值、零指数幂和负整数指数幂的意义化简,再算加减即可; (2)括号内通分,并把除法转化为乘法约分化简; (3)括号内通分,并把除法转化为乘法约分化简; (4)去分母化为整式方程求解,然后检验即可. 解:(1) ; (2) . (3). (4) 去分母得: 解得: , 检验:当 时, , 所以: 是原方程的增根,原方程无解. 【点拨】本题考查了零指数幂、负整数指数幂的意义,分式的混合运算,以及解分式方程,熟练掌握 分式方程的解法是解答本题的关键. 20.(1) ;(2) 【分析】(1)直接利用零指数幂的性质、负整数指数幂的性质分别化简,进而得出答案; (2)首先把分式方程转化为整式方程,解整式方程求出x的值,然后再把求出的解代入最简公分母进 行检验. (1)解: ; (2)解: , 去分母得 , 去括号得 , 解得 , 当 时, , ∴原方程的解为 . 【点拨】此题考查了解分式方程,以及实数的运算,熟练掌握运算法则是解本题的关键.21.(1)2;(2) 【分析】(1)先分别计算负整数指数幂,零指数幂,然后进行除法,加法计算即可; (2)去分母将分式方程化为整式方程,解方程,然后进行检验即可. (1)解: ; (2)解: 去分母得, , 去括号得, , 移项合并得, , 系数化为1得, , 检验,将 代入 , ∴ 是原分式方程的解. 【点拨】本题考查了负整数指数幂,零指数幂,解分式方程.解题的关键在于对知识的熟练掌握与灵 活运用. 22.(1) ;(2) ;(3) ;(4)无解 【分析】(1)根据积的乘方、幂的乘方、同底数幂的乘法的运算法则计算即可; (2)先根据平方差公式展开,再约分,然后再根据异分母分数的加减计算即可; (3)将分式方程去分母转化为一般的一元一次方程,再解一元一次方程,求出的解代入检验即可得 出答案; (4)将分式方程去分母转化为一般的一元一次方程,再解一元一次方程,求出的解代入检验即可得 出答案. 解:(1)(2) (3) 去分母得: 移项得: 合并同类项得: 将系数化为1得: 检验:把 代入得: ∴分式方程的解为 ; (4) 去分母得: , 去括号,得: 移项、合并同类项得: 解得: , 检验:把 代入得: , ∴ 是增根,分式方程无解.【点拨】本题考查了积的乘方、幂的乘方、同底数幂的乘法、分式的混合运算以及分式方程,熟练掌 握运算法则是解题的关键. 23.(1) ;(2) ,当 时,原式 . 【分析】(1)首先把方程两边同时乘以 ,然后解整式方程,最后验根即可求解; (2)首先把括号里面通分计算,然后把除法化成乘法,约分化简,最后代入数值计算 即可求解. 解:(1) , 方程两边同时乘以 得: , 解得: , 经检验: 是原方程的解, 所以,原方程的解为: ; (2) , , ∵ , ∴ , 当 时,原式 . 【点拨】此题分别考查了分式的化简求值、解分式方程,题目的难度不大,都是基础题目,要求学生 掌握相关的基本知识即可解决问题. 24.(1) ;(2)原方程无解; 【分析】(1)先计算零次幂,乘方运算,化简绝对值,再合并即可; (2)先去分母,把方程化为整式方程,再解整式方程并检验即可.解:(1) . (2) , 去分母得: , ∴ 即 , 解得: , 检验:当 时, , ∴ 是增根,原方程无解. , 去分母得: , ∴ , 解得: , 检验:把 代入 可得 , ∴方程的解为: . 【点拨】本题考查的是零次幂的含义,实数的加减运算,解分式方程,掌握实数的加减运算的运算顺 序与分式方程的解法是解本题的关键. 25.(1) ;(2) 【分析】(1)先去分母化成整式方程求解,然后检验即可得解; (2)先计算乘方,再计算乘除,最后计算加法即可. (1)解:变形得: , 方程两边都乘 ,得 , 整理,得 , 解得: ,经检验, 是原方程的根, ∴原分式方程的解为: ; (2)解:原式 . 【点拨】本题考查解分式方程,实数的混合运算,解题关键是熟练掌握(1)解分式方程的方法-转化 成整式方程求解,再检验;(2)零指数幂与负整指数运算法则. 26.(1)原分式方程无解;(2) ,1 【分析】(1)根据分式方程的解法步骤求解即可得到答案; (2)根据分式混合运算法则先化简,再根据分式分母不为0选取一个 的值代入求解即可得到答案. 解:(1) 方程两边都乘以 得 , ,解得 , 检验:当 时, , 是增根,原分式方程无解; (2) ,当 时,原式 . 【点拨】本题考查解分式方程及分式化简求值,熟练掌握分式方程的解法及分式混合运算法则是解决 问题的关键. 27.(1) ;(2) ;(3) ;(4) 或 . 【分析】(1)先化简各式,然后再进行计算即可解答; (2)利用分式的除法法则进行计算,即可解答; (3)按照解分式方程的步骤进行计算,即可解答; (4)先解分式方程,再根据分式方程无解,分两种情况:当 时;当 ,即 时, ;然后分别进行计算即可解答. (1)解: ; (2)解: ; (3)解: , , 解得: , 检验:当 时, , ∴ 是原方程的根; (4)解: ,, 化简得: , ∵分式方程无解, ∴分两种情况: 当 时,即 时,方程无解; 当 ,即 时, , 解得: 或 , 把 代入方程 中,此方程无解; 把 代入方程 中得: , 解得: , 综上所述:m的值为 或 . 【点拨】本题考查了解分式方程,分式方程的解,分式的乘除法,实数的运算,零指数幂,负整数指 数幂,准确熟练地进行计算是解题的关键. 28.(1) ;(2) 【分析】两题就是计算题,第一问解分式方程,去分母,解整式方程,检验.第二题整式乘法,前面 用平方差公式,后面多项式乘多项式. 解:(1)方程两边同乘 ,得 整理得: 解得: 检验:当 时, ∴原方程的解为 ;(2)原式= = = ; 【点拨】本题主要考了分式方程及整式的乘法,分式方程检验是关键,整式乘法熟练应用公式及法则 是关键. 29.(1)3;(2) 【分析】(1)原式利用负整数指数幂法则,乘方的意义,以及二次根式乘法法则计算即可求出值; (2)分式方程去分母转化为整式方程,求出整式方程的解得到x的值,经检验即可得到分式方程的解. 解:(1)原式 (2) 去分母得: , 解得: , 检验:把 代入最简公分母,得 . ∴原方程的解是 . 【点拨】此题考查了解分式方程,以及实数的运算,熟练掌握运算法则是解本题的关键. 30.任务一: ;任务二:通分,分式的基本性质,去分母,等式性质2;任务三:小治 说得对,检验,补充及理由见分析;任务四:见分析 【分析】观察分式化简与解分式方程的过程,分别找出第一步的运算及依据,根据分式方程要检验, 注意不要遗忘. 任务一:解:方程两边同时乘以 ,得: , (第一步) 去括号,得 , (第二步) 合并同类项,得: , (第三步) 移项,得: , (第四步)化系数为1,得: . (第五步) 故答案为: ; 任务二: 化简题目中,第一步运算是通分,它的依据是分式的基本性质. 解方程题目中,第一步运算是去分母,它的依据等式的性质. 故答案为:通分,分式的基本性质;去分母,等式的性质; 任务三: 小治的说法正确,解分式方程少了检验过程, 检验:把 代入得: , 分式方程的解为 ; 因为解分式方程去分母转化为整式方程不是同解变形,容易产生增根,所以这一步不能少; 任务四: 解分式方程时检验不要遗忘. 【点拨】此题考查了解分式方程,整式的加减,分式方程的解,分式的化简,熟练掌握运算法则及分 式方程的解法是解本题的关键. 31.(1) ; (2) 【分析】(1)根据负整数指数幂,零指数次幂,绝对值,有理数的乘方进行计算即可; (2)先两边同时乘以 将分式方程化成一元一次方程,再解一元一次方程即可. 解:(1)原式 ; (2)方程两边同时乘以 , 得到: ,解得: 经检验, 是原方程的解, ∴原方程的解是 . 【点拨】本题考查负整数指数次幂,零指数幂,绝对值,有理数的乘方,解分式方程,掌握相关的运 算方法是解题关键. 32.(1) ;(2) , 【分析】(1)根据解分式方程的一般步骤检查方程;(2)先通分,再根据分式的减法法则把原式化简,把 的值代入计算即可. 解:(1)方程两边同乘 ,得 , 解得: , 检验:当 时, , 所以原方程的解为 ; (2)原式 , 当 时,原式 . 【点拨】本题考查的是分式方程的解法,分式的化简求值,掌握解分式方程的一般步骤、分式的加减 混合运算法则是解题的关键. 33.(1) ;(2) 【分析】(1)先通分,因式分解,然后进行除法运算即可; (2)先将分式方程化成整式方程求解,然后进行检验即可. (1)解:原式 . (2)解: , 两边同时乘以 得: , 去括号得, , 移项合并得, , 系数化为1得, . 检验:将 代入 , ∴ 是原分式方程的解. 【点拨】本题考查了分式的化简,解分式方程.解题的关键在于正确的运算. 34.(1) ;(2)【分析】(1)先通分,再根据分式的减法法则进行计算即可; (2)方程两边都乘 ,将分式方程化为整式方程,计算求解,然后检验即可. (1)解: ; (2)解: , 方程两边都乘 ,得 , 去括号得, , 移项合并得: , 检验:当 时, , ∴ 是原分式方程的解. 【点拨】本题考查了解分式方程和分式的加减运算. 对知识的熟练掌握与正确的运算是解题的关键. 35.(1) , ;(2) 【分析】(1)将括号里面通分运算,再利用分式的混合运算法则计算得出答案; (2)直接找出最简公分母,再去分母解方程即可. 解: 原式 , 当 时,原式 ;方程两边同乘以 得: , 解得: , 经检验, 是原方程的根, 故分式方程的解为 . 【点拨】此题主要考查了分式的混合运算以及分式方程的解法,正确掌握相关运算法则是解题关键. 36.(1) ;(2) 【分析】(1)根据异分母分式减法法则计算; (2)先去分母化为整式方程求解,再检验即可. 解:(1) = = = ; (2) 去分母,得 移项,合并,得 , 检验:当 时, , ∴原分式方程的解为 . 【点拨】此题考查了解分式方程,分式的减法计算,正确掌握运算法则是解题的关键. 37.(1) ;(2) 【分析】(1)先根据完全平方公式和平方差公式进行计算,再合并同类项即可; (2)方程两边都乘 得出 ,求出方程的解,再进行检验即可.解:(1) ; (2) , 方程两边都乘 ,得 , 解得: , 检验:当 时, , 所以分式方程的解是 . 【点拨】本题考查了整式的混合运算和解分式方程,能正确根据整式的运算法则进行化简是解(1) 的关键,能把分式方程转化成整式方程是解(2)的关键. 38.(1) , , ;(2) 【分析】(1)先根据分式的加减法则进行化简,再计算分式的除法即可得; (2)根据 建立方程,解分式方程即可得. (1)解: ,, 则 . (2)解:由(1)可知, , , , , 方程两边同乘以 ,得 , 移项、合并同类项,得 , 经检验, 是所列分式方程的解, 所以 的值为 . 【点拨】本题考查了分式的运算、解分式方程,熟练掌握分式的运算法则是解题关键. 39.(1) ;(2) 【分析】(1)利用分式的混合运算法则进行运算即可. (2)根据分式方程的解法法则,先将分式方程化成整式方程,然后再解整式方程. 解:(1) ; (2)去分母得: ∴ ∴ . 检验把 代入 得: , ∴原方程的解是: . 【点拨】本题考查了分式的混合运算与解分式方程,解题的关键是熟练运用相关法则,注意分式方程 需验根. 40.(1) ;(2) 【分析】(1)先算括号里的减法,再算除法即可求解; (2)先去分母转化为整式方程,求出整式方程的解,最后检验即可. 解:(1) ; (2) 方程两边同乘以 ,得: , 解得 , 检验,当 时, , ∴原分式方程的解为: . 【点拨】本题考查了解分式方程:先去分母,把分式方程转化为整式方程,解整式方程,然后把整式 方程的解代入分式方程进行检验,从而确定分式方程的解.也考查了分式的混合运算:分式混合运算注意 先去括号;分子、分母能因式分解的先因式分解;除法要统一为乘法运算.. 41.(1)无解;(2) ,1【分析】(1)先把分式方程化为整式方程,然后解整式方程,最后检验即可; (2)先根据分式的混合计算顺序和法则化简,然后代值计算即可. 解:(1) 两边同时乘以 得: , 去括号得: , 移项合并得: , 解得 , 经检验,当 时, , ∴ 不是原方程的解, ∴原方程无解; (2)原式 . 把 代入, 原式 . 【点拨】本题主要考查了解分式方程,分式的化简求值,熟练掌握解分式方程的一般步骤,化简分式 的步骤顺序与法则,代入计算求值,是解题的关键. 42.(1) ;(2) 【分析】 先去分母,化为整式方程,再解一元一次方程即可,注意检验; 先算括号里的,最后进行分式的乘除运算即可.解: , 去分母,得 , 解得 , 经检验, 是原方程的根, 原方程的解为 ; . 【点拨】本题考查了解分式方程,分式的混合运算,熟练掌握解分式方程的步骤和分式的混合运算法 则是解题的关键. 43.(1)1;(2)无解 【分析】(1)先通过变形让分母相同,然后利用同分母分式的减法法则计算即可; (2)先把分式方程去分母转化为整式方程,再求出整式方程的解,再检验即可解答. (1)解: , , =1. (2)解: 去分母得: ,解得: , 检验:把 代入得: , ∴ 是原方程的增根,原方程无解. 【点拨】本题主要考查了分式的加法、解分式方程等知识点,掌握解分式方程的基本步骤是解答本题 的关键,检验是解答本题的易错点.44.(1)①一;去分母时整数漏乘;②C;③见分析;(2) 【分析】(1)①第一步去分母时整数漏乘;②解分式方程的思想是利用转化的数学思想,把分式方 程化为整式方程;③根据解分式方程的步骤,先确定最简公分母,然后去分母,解整式方程,检验,得出 解. (2)先将括号内的进行通分后,把除法转换为乘法,再进行约分即可得到答案. 解:(1)①小明的解法从第一步开始出现错误.错误的原因是去分母时整数项漏乘; 故答案为:一,去分母时整数项漏乘; ②解分式方程的思想是利用转化的数学思想,把分式方程化为整式方程, 故选:C; ③方程两边同时乘 ,得 . 解得, . 检验:当 时, . 所以,原分式方程的解为 ; (2) = = = . 【点拨】本题考查了分式的混合运算以及解分式方程的问题,解分式方程时确定最简公分母,然后去 分母是解分式方程的首要步骤,在去分母时不要漏乘,注意解分式方程要检验. 45.(1)无解;(1) ,3. 【分析】(1)先去分母,把分式方程化为整式方程,再解出整式方程,然后检验,即可求解; (2)先计算括号内的,然后计算除法,再根据分式有意义的条件,可得x可取2,3,再代入化简后 的结果,即可求解. 解:(1)去分母得: , 解得: , 检验:当 时, , ∴原方程无解; (2) , 根据题意得: , 且 ∴ 和2和0, ∴x取3, 当 时,原式 . 【点拨】本题主要考查了解分式方程,分式的化简求值,熟练掌握相关运算法则是解题的关键. 46.(1)原方程无解;(2) 【分析】(1)按照去分母,去括号,移项,合并同类项,系数化为1的步骤解方程,然后检验即可; (2)根据分式的混合计算法则期间即可. 解:(1) 去分母得: , 去括号得: , 移项得: , 系数化为1得: , 检验,当 时, , ∴ 是原方程的增根, ∴原方程无解;(2) . 【点拨】本题主要考查了解分式方程,分式的混合计算,正确计算是解题的关键,注意解分式方程一 定要检验. 47.(1) (2)原方程无解 【分析】(1)先化简二次根式,零次幂,负整数指数幂的含义,求解立方根,再合并即可; (2)先去分母,化为整式方程,再解整式方程并检验即可. (1)解: . (2) , 在方程两边同乘 , , 解得: , 经检验: 是原方程的增根,原方程无解. 【点拨】本题考查的是实数的混合运算,零次幂与负整数指数幂的含义,分式方程的解法,熟记运算 法则是解本题的关键.48.(1) ;(2) 【分析】(1)根据零指数幂,负整数指数幂和绝对值的运算法则进行计算即可; (2)根据分式方程的解法和平方差公式进行计算即可,计算出方程解再检验. 解:(1)原式 ; (2) , 两边同时乘 得: , 去括号得: , 移项并合并同类项得: , 检验,当 时, , ∴ 是原分式方程的解. 【点拨】本题考查了实数的混合运算和解分式方程,熟练掌握零指数幂,负整数指数幂,绝对值的运 算法则,分式方程的解法,平方差公式是解题的关键. 49.(1) ;(2)无解. 【分析】(1)根据实数的混合运算法则计算即可; (2)把分式方程化为整式方程求解,再检验即可. 解:(1) ; (2) , 方程两边同时乘 ,得: , 整理,得: . 当 时, , 不是原方程的根,故原分式方程无解. 【点拨】本题考查实数的混合运算,解分式方程.掌握实数的混合运算法则和解分式方程的方法和步骤是解题关键. 50.(1) ;(2) 【分析】(1)先利用平方差公式分解因式,括号内通分,再进行除法计算,即可得答案; (2)依次去分母、去括号、移项合并,再进行检验,即可解方程. 解:(1) ; (2) , , , 经检验, 是原方程的根, 分式方程的解是 . 【点拨】本题考查了分式的化简,解分式方程,熟练掌握相关运算法则是解题关键.注意分式方程需 要检验. 51.(1)4;(2) 【分析】(1)根据实数的混合计算法则求解即可; (2)按照去分母,去括号,移项,合并同类项的步骤解方程,然后检验即可. 解:(1)原式 ; (2) 去分母得: , 去括号得: ,移项得: , 合并同类项得: , 检验,当 时, , ∴原方程的解为 . 【点拨】本题主要考查了实数的混合计算,解分式方程,正确计算是解题的关键,注意解分式方程最 后一定要检验. 52.(1) ;(2)无解;(3) 【分析】(1)方程两边乘以 ,把分式方程化为整式方程,解整式方程即可; (2)方程两边乘以 ,把分式方程化为整式方程,解整式方程即可; (3)先计算括号的减法,再算加法即可. (1)解:方程两边乘以 得: , 解得: , 经检验, 是原方程的根, ∴方程的解为 ; (2)解:方程两边乘以 得: , 解得: , 经检验, 是增根, ∴方程无解; (3)解: . 【点拨】本题考查了解分式方程,分式的加减运算,正确计算是解题的关键,注意解分式方程时务必 要检验.53.(1) ;(2) 【分析】(1)分式方程去分母转化为整式方程,求出整式方程的解得到x的值,经检验即可得到分式 方程的解; (2)原式括号中两项通分并利用同分母分式的减法法则计算,约分即可得到结果. 解:(1) 去分母得: 移项合并得: , 经检验 是原方程的解, 所以,方程的解为 ; (2) = = = = . 【点拨】此题考查了解分式方程,解分式方程的基本思想是“转化思想”,把分式方程转化为整式方 程求解解分式方程一定注意要验根,同时还考查了分式的混合运算. 54.(1) ;(2) ;(3) ; 【分析】(1)根据计算算术平方根,负整数指数幂,零指数幂,绝对值的概念,即可解答; (2)先对等式两边的分式进行通分,再解方程即可; (3)利用分式的化简法则进行化简,再代入求值即可. 解:(1), ; (2) 两边同乘以 ,得 , 解得 , 经检验, 是原方程的解; (3) , , , , 当 时,原式 . 【点拨】本题考查了算术平方根,负整数指数幂,零指数幂,绝对值的概念,解分式方程,分式的化 简求值,熟知上述计算法则是解题的关键. 55.(1) ;(2)原方程无解. 【分析】(1)先对括号中的分式进行通分运算,再将除法转化为乘法运算即可化简; (2)去分母,求出整式方程的解,对所求的根进行检验,最后得出结论. 解:(1)原式=; (2) 解得: 检验:把 代入得 , ∴原方程无解. 【点拨】本题考查分式方程的解法,分式的化简,熟练掌握分式的化简方法,分式方程的解法,注意 对分式方程的根进行检验是解题的关键. 56.(1) ;(2) 【分析】(1)按照去分母,去括号,移项,合并同类项,系数化为1的步骤解方程,然后检验即可; (2)根据分式的混合计算法则求解即可. 解:(1) 去分母得: , 去括号得: , 移项得: , 合并同类项得: , 系数化为1得: , 检验,当 时, , ∴原方程的解为 ; (2). 【点拨】本题主要考查了解分式方程,分式的混合计算,正确计算是解题的关键,注意解分式方程最 后一定要检验. 57.(1) (2)该分式方程无解 【分析】(1)根据分式的基本性质和因式分解的知识进行通分与约分即可. (2)先将分式方程化为整式方程,再求解,最后检验即可. 解:(1)原式= = = . (2) , , , , 检验:当 时, , ∴ 不是该方程的解, ∴该分式方程无解. 【点拨】本题考查了分式的化简与解分式方程,解题关键是掌握分式化简的方法与解分式方程的步骤. 58.(1) ,4;(2) 【分析】(1)先因式分解,分式除法变成分式乘法,再约分,再把 的值代入即可求解;(2)先去分母,再解方程,最后进行检验即可. (1)解:原式 . 当 时,原式 . (2)解:方程两边乘 , 得 , 解得 . 检验:当 时, . 所以,原分式方程的解为 . 【点拨】本题主要考查了分式的混合运算及分式方程的解法,解题关键是熟练掌握因式分解及分式方 程的检验. 59.(1) ;(2) 【分析】(1)先根据零指数幂,负整数指数幂,绝对值的性质化简,再计算,即可得解; (2)先去分母,把分式方程化为整式方程,然后解出整式方程,再检验,即可求解. 解:(1) (2) 去分母得: , 解得: , 检验:当 时, , ∴原方程的解为 . 【点拨】本题主要考查了零指数幂,负整数指数幂,解分式方程,熟练掌握相关运算法则是解题的关键. 60.(1) ;(2)无解 【分析】(1)先计算立方根、负整数指数幂、零指数幂,再进行加减计算即可; (2)根据解分式方程的一般步骤解方程即可. (1)解:原式 ; (2)解: , 两边同时乘以 得: , 去括号得: , 移项合并同类项得: , 系数化为1得: , 把 代入 得: , ∴ 是原方程的增根, ∴原方程无解. 【点拨】本题考查实数的运算、立方根、负整数指数幂、零指数幂、解分式方程,熟练掌握相关运算 法则和解分式方程的一般步骤是解题的关键. 61.(1) ;(2) ;(3) ;(4)原方程无解 【分析】(1)根据实数的混合运算法则求解即可; (2)根据分式的混合运算法则求解即可; (3)(4)先把分式方程化为整式方程,然后解方程,最后检验即可. (1)解:原式 ; (2)解:原式; (3)解: 去分母得: , 去括号得: , 移项得: , 合并同类项得: , 系数化为1得: , 经检验, 是原方程的解, ∴原方程的解为 ; (4)解: 去分母得: ,即 , 去括号得: , 移项得: , 合并同类项得: , 检验:当 时, , ∴ 是原方程的增根, ∴原方程无解. 【点拨】本题主要考查了实数的混合运算,分式的混合运算,解分式方程,正确计算是解题的关键, 注意解分式方程最后一定要检验. 62.(1) ;(2) ;(3) ;(4)无解 【分析】(1)根据同分母分式的减法计算法则计算即可求解; (2)先通分,化成同分母分式的减法计算法则计算即可求解; (3)(4)两分式方程去分母转化为整式方程,求出整式方程的解得到x的值,经检验即可得到分式方程的解. (1)解: ; (2)解: ; (3)解: , 去分母得 , 去括号得 , 移项、合并得 , 解得 , 经检验, 是原方程的解; (4)解: , 去分母得 , 去括号得 , 移项、合并得 , 解得 ,经检验, 是原方程的增根, 故,原方程无解. 【点拨】本题主要考查分式的混合运算,把分式化到最简是解答的关键.同时考查了解分式方程,解 分式方程的基本思想是“转化思想”,把分式方程转化为整式方程求解.解分式方程一定注意要验根 63.(1) ;(2)x;(3) ;(4)无解;(5) ; 【分析】(1)首先计算零指数幂,负整数指数幂,有理数的乘方,然后计算乘法,最后计算加法即 可; (2)根据分式的混合运算法则求解即可; (3)方程两边同乘 转化成整式方程求解,最后要检验; (4)方程两边同乘 转化成整式方程求解,最后要检验; (5)首先根据分式的混合运算法则化简,然后根据分母不等于零求出x的取值范围,然后代入求解即 可. 解:(1) ; (2) ; (3) 解得: , 检验:将 代入∴所以分式方程的解是 ; (4) , 解得: , 检验:将 代入 , ∴ 是增根, ∴所以分式方程无解; (5)解: , ∵ ,0 ∴ ∴ . 【点拨】此题考查了实数的混合运算,分式的混合运算以及化简求值,解分式方程,解题的关键是熟 练掌握以上运算法则. 64.(1) ;(2)无解 【分析】(1)原式利用算术平方根,零指数幂、负整数指数幂法则,以及绝对值的代数意义,实数 的乘方计算即可得到结果; (2)分式方程去分母转化为整式方程,求出整式方程的解得到x的值,经检验即可得到分式方程的解. 解:(1)(2) 检验:把 代入最简公分母: 得: , ∴ 是原方程的增根, ∴原方程无解. 【点拨】本题考查了解分式方程和实数的混合运算,熟练掌握运算法则计算是解决此题的关键. 65.(1)① ;② ;(2)① ;②无解 【分析】(1)①根据二次根式的性质、零指数幂、绝对值的性质、有理数的乘方运算法则、负指数 幂等计算即可;②先通分加减,再计算乘除,并约分化简即可; (2)乘以最简公分母化成整式方程,然后解整式方程,并将数值代入最简公分母检验即可; 解:(1)① ; 原式 , . ②解: , , , , , (2) ① 解:方程两边同乘以 ,得:, 解得: , 检验: 时, , ∴原方程的解是 . ②解: , , , , 检验:当 时, , ∴ 是原方程的增根, ∴原方程无解. 【点拨】本题考查了实数的运算,包括(二次根式的性质、零指数幂、绝对值的性质、有理数的乘方 运算法则、负指数幂)等,以及分式方程的解法、分式的化简等知识点,准确的计算是本题正确的关键. 66.(1) ;(2) 【分析】(1)先分别计算负整数指数幂,零指数幂,乘方,去绝对值,然后进行加减运算即可; (2)先去分母,然后移项合并,最后进行检验即可. 解:(1)解:原式 . (2)解:方程的两边同乘 得, , 移项合并得, , 检验:把 代入 , ∴原方程的解为 .【点拨】本题考查了负整数指数幂,零指数幂,乘方,去绝对值,解分式方程.解题的关键在于正确 的运算. 67.(1)①;(2)见分析 【分析】(1)根据分式方程的解法进行分析即可得到答案; (2)先去分母变分式方程为整式方程,然后解整式方程,对方程的解进行检验即可. (1)解:由题意可知,小亮的解题过程中第①步开始出现了错误, 故答案为:①; (2)解: , 去分母,得: , 去括号,得: , 移项合并同类项,得: , 检验:把 代入 , 所以原方程的解为 . 【点拨】本题考查的是解分式方程,熟练掌握分式方程的解法和步骤是解题关键. 68.(1) ;(2)4 【分析】(1)根据题意,可以将所求式子展开,然后计算即可; (2)根据题意,可以将所求的方程转化为分式方程,然后解方程即可,注意要检验. (1)解:由题意可得, ;(2) , , 去分母,得: , 移项及合并同类项,得: , 检验:当 时, , 是原分式方程的解, 即 的值为 . 【点拨】本题考查分式方程的应用、新定义,解答本题的关键是明确题意,利用新定义解答. 69.(1) ;(2) ;(3) ;(4) ,当 时,原式 ;当 时,原式 【分析】(1)先将乘方,负整数幂,0次幂化简,再进行计算; (2)将除法改写为乘法,各个分子分母能因式分解的先因式分解,再按照分式混合运算的运算法则 和运算顺序进行计算即可; (3)先去分母,再去括号,最后移项合并,化系数为1,即可求解; (4)先根据分式混合运算的运算法则和运算顺序进行化简,再根据分式有意义的条件,选择合适的 值代入进行计算即可. (1)解:原式 ; (2)解:原式 ; (3)解: , ,, 经检验, 是原分式方程的解; (4)解:原式 ; ∵ , ∴ , 当 时,原式 ; 当 时,原式 . 【点拨】本题主要考查了实数的混合运算,分式的混合运算,解分式方程,分式的化简求值,解题的 关键是掌握实数的混合运算顺序,分式的混合运算顺序和运算法则,解分式方程的步骤,分式有意义的条 件. 70.(1) ;(2)无解;(3) 【分析】(1)根据乘方,算术平方根,绝对值,零指数幂,负整数指数幂进行计算,再算加减即可; (2)方程两边同时乘以最简公分母 ,转化为整式方程再计算即可; (3)方程两边同时乘以最简公分母 ,转化为整式方程再计算即可. (1)解: , ,; (2) , 去分母得: 去括号得: , 解得: , 检验:当 时, , 是增根,原方程无解; (3) 去分母得: 去括号得: , 解得: , 检验:当 时, , 是分式方程的解. 【点拨】本题考查了零指数幂,负整数指数幂,实数的混合运算和解分式方程等知识,解分式方程的 基本思想是“转化思想”,掌握运算法则,把分式方程转化成整式方程求解是解答本题的关键,解分式方 程一定要验根. 71.(1) ;(2)原分式方程无解 【分析】(1)根据分式运算法则计算即可; (2)先去分母转化为整式方程,求出整式方程的解,最后检验即可. 解:(1) ;(2) , , 方程两边同乘以 得, , , , , 检验:当 时, , ∴ 是增根,舍去, ∴原分式方程无解. 【点拨】本题主要考查了分式的加法运算,分式方程的解法,解分式方程时注意要检验. 72.(1)无解;(2) ;当 时,原式 ;当 时,原式 【分析】(1)方程两边同时乘以 ,化为整式方程,解方程即可求解,最后要检验; (2)先利用平方差和完全平方公式化简,得到 , ,再从 选择其他整数中一个代 入求解即可. 解:(1) , 方程两边同时乘以 得: , 即 , ∴ , 解得 , 检验:当 时, , ∴ 是原方程的增根,原方程无解;(2) , ∵ , ,且 为整数, ∴当 时,原式 , 当 时,原式 . 【点拨】本题考查了分式的混合运算与化简求值、解分式方程,熟练掌握分式方程的解法,平方差和 完全平方公式是解题的关键. 73.(1) , ;(2)无解 【分析】(1)先计算括号内的减法,然后再算除法,再结合分式成立的条件选取合适的数代入求值; (2)将分式方程转化为整式方程进行计算,注意结果要进行检验 解:(1) ; 根据分式有意义的条件可知: ,且 ,故取 ,当 时, ; (2)解: , 去分母,得: , 去括号,得: , 移项,合并同类项,得: , 系数化1,得: , 检验:当 时,原方程分母为零,方程无意义, ∴ 是原分式方程的增根, ∴原分式方程无解. 【点拨】本题考查了分式的化简求值和解分式方程,掌握分式混合运算的运算法则及解分式方程的步 骤是解题关键. 74.(1) ;(2)无解 【分析】(1)根据分式的混合计算法则求解即可; (2)先把分式方程化为整式方程求解,然后检验即可. 解:(1) ; (2) 去分母得,去括号得, 解得 检验:将 代入 , ∴ 是原方程的增根,应舍去, ∴原方程无解. 【点拨】本题主要考查了分式的混合计算,解分式方程,正确计算是解题的关键. 75.(1)6;(2)无解 【分析】(1)原式利用零指数幂、负整数指数幂法则,化简绝对值,以及化简二次根式,再进行加 减计算即可得到结果; (2)分式方程去分母转化为整式方程,求出整式方程的解得到x的值,经检验即可得到分式方程的解. 解:(1) ; (2) 方程两边同时乘以 : , 解得: , 检验:把 代入得: , ∴ 是方程的增根, 即:原方程无解. 【点拨】此题考查了解分式方程,实数的运算,分式的混合运算,零指数幂、负整数指数幂,化简绝 对值,化简二次根式,熟练掌握运算法则及分式方程的解法是解本题的关键. 76.(1) ;(2)无解 【分析】(1)先算乘方,负整数指数幂,零指数幂,再算乘除,最后计算加减; (2)将分式方程转化成一元一次方程,求解再验根即可. (1)解:原式; (2)解:方程两边同时乘 ,得: , 化简得: , 解得: , 经检验, 是原方程的增根, 原方程无解. 【点拨】本题考查了实数的混合运算,解分式方程,熟练掌握运算法则和运算顺序是解题的关键,注 意分式方程需要验根. 77.(1) , ;(2) ;(3)50; 【分析】(1)根据题目中分母的规律计算求值即可; (2)将式子中的每项进行拆分,正负项抵消合并即可; (3)由 可得 ,然后将方程左边的每项 进行拆分,正负项抵消后再解分式方程解即可; (1)解: , ; (2)解:原式= = = ; (3)解:∵ , ∴ , 同理可得 ,…, ,∴原方程可化为 , ∴ , ∴ , ∴ , ∴ , 解得: , 经检验 是方程的解; 所以方程的解为 . 【点拨】本题考查了分式的通分,解分式方程等知识;根据已知条件对所求式子变形化简是解题关键. 78.(1) ;(2) 【分析】(1)先计算立方根,零次幂,负指数幂及绝对值,再计算加减法; (2)去分母化为整式方程,求解,再检验即可. 解:(1) ; (2) 去分母,得 化简,得 , 检验:当 时, ∴ 是分式方程的解. 【点拨】此题考查了计算能力,正确掌握立方根,零次幂,负指数幂及绝对值的计算,分式方程的解 法是解题的关键. 79.(1) ;(2)无解 【分析】(1)通分,合并同类项,再作乘除;(2)找公分母,去分母,二次项抵消,变成一元一次方程,即可解出 解:(1) (2)解: 经检验: 是原方程的增根,原分式方程无解 【点拨】本题考查分式的化简和分式方程的求解,掌握方法和技巧是本题关键 80.(1)0;(2) 【分析】(1)先计算零指数幂,负整数指数幂,然后根据含乘方的有理数混合计算法则求解即可; (2)先把分式方程化为整式方程求解,然后检验即可. 解:(1)原式 ; (2) 去分母得: ,去括号得: , 移项得: , 合并同类项得: , 系数化为1得: , 经检验, 是原方程的解, ∴原方程的解为 . 【点拨】本题主要考查了解分式方程,零指数幂,负整数指数幂,含乘方的有理数混合计算,正确计 算是解题的关键. 81.(1) , ;(2)无解 【分析】(1)原式括号中两项通分并利用同分母分式的减法法则计算,同时利用除法法则变形,约 分得到最简结果,代入一个使分式有意义的值计算即可; (2)根据去分母,去括号,移项,合并同类项,系数化为1,验根的步骤解方程即可. (1)解:原式 , 要使分式有意义, 不能取 ,1, 则当 时,原式 . (2)解: 去分母,得 , 去括号,得: , 移项、合并同类项得 ,检验,当 时, ,故 是该方程的增根. 故此分式方程无解. 【点拨】本题考查了分式的化简求值,解分式方程,使分式有意义的条件,熟练掌握知识点是解题的 关键. 82.(1) ;(2) 【分析】(1)根据算术平方根的定义,零指数幂、负整数指数幂的意义以及绝对值的意义计算即可; (2)根据解分式方程的步骤求解即可. 解:(1)原式 ; (2) 去分母,得 , 去括号,得 , 移项,并合并同类项,得 , ∴ , 检验,当 时, , ∴原分式方程的解为 . 【点拨】本题考查了算术平方根的定义,零指数幂、负整数指数幂的意义以及绝对值的意义,解分式 方程等知识,掌握相关知识是解题的关键. 83.(1)原分式方程无解;(2) ,当x=0时, 【分析】(1)先通过去分母将分式方程化成整式方程求解,最后再检验即可; (2)先根据分式的混合运算法则化简原分式得到 ,然后再求不等式组 的整数解,确定符合条件的x的值,最后代入求解即可. (1)解:方程两边同乘 可得 ,解得 检验:当 时, , ∴ 不是原分式方程的解, ∴原分式方程无解. (2)解: 解不等式组 得 ∵x是整数, ∴x=-2,-1,0,1 ∵当x=-2,-1,1时,原分式无意义, ∴ x只能取0.当x=0时,原式 . 【点拨】本题主要考查了解分式方程、分式的化简求值、解不等式组等知识点,灵活运用分式的混合 运算法则以及确定x的值是解答本题的关键. 84.(1) (2) , 【分析】(1)按照去分母,去括号,移项,合并同类项的步骤求解,并检验即可获得答案; (2)按照完全平方公式和平方差公式进行化简,然后代入求值即可. 解:(1) , 去分母,得 , 去括号,得 , 移项,得 , 合并同类项,得 ,经检验, 是原方程的解, ∴该分式方程的解为 ; (2)原式 , 当 时, 原式 . 【点拨】本题主要考查了解分式方程以及整式化简求值,熟练掌握相关知识是解题关键. 85.(1) ;(2)① ③;②见分析 【分析】(1)去分母变为整式方程,解方程后检验即可; (2)先计算括号内异分母分式的减法,再计算除法运算即可. (1)解:方程两边同时乘以 , 得 , 解得 , 经检验, 是原分式方程的解, ∴ . (2)解:① 第③步分子相减的过程中 没有变号, 故答案为:③ ②原式 . 【点拨】此题考查了解分式方程和分式的四则混合运算,熟练掌握分式方程的解法和分式混合运算法 则是解题的关键. 86.(1)6;(2)【分析】(1)根据算术平方根,绝对值,零指数幂和负整数指数幂求解即可; (2)去分母,将分式方程化为一元一次方程,再按照解一元一次方程的步骤求解即可. 解:(1) ; (2)去分母,得 , 整理,得 , 解得 , 经检验, 是原方程的根, ∴ . 【点拨】本题考查了算术平方根,绝对值,零指数幂,负整数指数幂,解分式方程等,熟练掌握这些 知识是解题的关键. 87.(1)D;(2)一、二, ,见分析;(3) 是增根,原方程无解 【分析】(1)根据分式的加减运算法则对甲乙的解答过程进行判断即可; (2)根据分式的加减运算法则作答即可; (3)根据分式方程的解法进行作答即可. 解:(1)甲同学: ,故甲计算错误; 乙同学: ,故乙计算错误; 故选:D; (2)由(1)可知则甲同学的解答从第一步开始出现错误;乙同学的解答从第二步开始出现错误; 正确的解答过程为:, 故答案为:一、二、 ; (3) , 即: , 经检验, 是原方程的增根, 故原方程无解. 【点拨】本题主要考查了分式的混合运算以及解分式方程的知识,解题的关键是掌握分式的混合运算 顺序和运算法则. 88.(1) ;(2) 【分析】(1)根据通分、因式分解、约分等手段化简即可. (2)按照解分式方程的基本步骤求解即可. 解:(1). (2) 方程的两边同乘 ,得 , 解得: . 检验:把 代入 . ∴原方程的解为 . 【点拨】本题考查了分式的化简求值,解分式方程,熟练掌握化简的技能,规范解方程的基本步骤是 解题的关键. 89.(1) ;(2) ; 【分析】(1)分式方程去分母转化为整式方程,求出整式方程的解得到x的值,经检验即可得到分式 方程的解; (2)原式括号中两项通分并利用同分母分式的加法法则计算,同时利用除法法则变形,约分得到最 简结果,把a的值代入计算即可求出值. 解:(1) 方程两边乘 ,得 解得 经检验, 所以,原分式方程的解为 (2)当 时,原式 【点拨】此题考查了分式的化简求值,以及解分式方程,熟练掌握运算法则是解本题的关键. 90.(1) ;(2) 【分析】(1)先进行乘方,零指数幂,负整数指数幂的运算,再进行乘法运算,最后算加减; (2)去分母,去括号,移项,合并同类项,系数化1,检验,解分式方程即可. 解:(1)原式 . (2)方程两边同乘最简公分母 ,得 . 移项、合并同类项,得 . 系数化为1,得 . 检验:把 代入原方程,得左边 右边,所以 是原方程的解, ∴原方程的解为 . 【点拨】本题考查零指数幂,负整数指数幂,解分式方程.熟练掌握相关运算法则,解分式方程的步 骤,是解题的关键. 91.(1) ; ;(2) 【分析】(1)先计算括号内的,再计算除法,然后根据分式有意义的条件可得 ,再代入,即可 求解; (2)先去分母,把分式方程化为整式方程,再解出整式方程,然后检验,即可求解. (1)解:根据题意得: , ∴ , ∴ , ∴原式 (2)解: 去分母得: , 解得: , 检验:当 时, , ∴原方程的解为 . 【点拨】本题主要考查了分式的化简求值,解分式方程,熟练掌握相关运算法则是解题的关键. 92.(1) , ;(2) 【分析】(1)先计算括号内的异分母分式加法,再计算乘法,最后代入 计算即可; (2)去分母化为整式方程求出解,再检验即可得到分式方程的解. (1)解:原式 , 当 时,原式 ; (2)解: , 检验:当 时, , ∴ 是原分式方程的解.【点拨】此题考查了分式的化简求值,解分式方程,分式的混合运算,正确掌握分式混合运算的计算 法则及分式方程的解法是解题的关键. 93.(1) ;(2) 【分析】(1)根据分式的混合计算法则求解即可; (2)先把分式方程化为整式方程求解,然后检验即可. 解:(1) ; (2) 去分母得: , 去括号得: , 移项得: , 合并同类项得: , 系数化为1得: , 经检验, 是原方程的解, ∴原方程的解为 . 【点拨】本题主要考查了分式的混合计算,解分式方程,熟知相关计算方法是解题的关键. 94.(1)无解;(2) , 【分析】(1)方程两边乘 去分母,然后按照去括号、移项、合并同类项的步骤求解,并 进行检验即可; (2)按照多项式乘多项式法则、完全平方公式以及多项式除以单项式法则进行化简,然后代入求值 即可. 解:(1) ,方程两边乘 ,得 , 去括号,得 , , 解得 , 检验:当 时, , 因此 不是原分式方程的解,所以原分式方程无解; (2)原式 , 当 , 时, 原式 . 【点拨】本题主要考查了解分式方程和整式化简求值,熟练掌握解分式方程的步骤和整式的运算法则 是解题关键. 95.(1) ;(2) 【分析】(1)先分别计算零指数幂、负指数幂、立方根,再计算加减; (2)先分式两边同时乘以 ,再去括号移项合并同类项,最后检验. (1)解:原式= . (2)解:分式两边同时乘以 得 , 去括号得 移项合并同类项得 .检验:把 代入 ,得 ∴ 是原分式方程的解. 【点拨】本题考查了零指数幂、负指数幂、立方根和解分式方程,熟练掌握运算法则是解题的关键. 96.(1) ;(2) 【分析】(1)先提公因式 ,然后运算化简即可; (2)先将分式方程化为整式方程计算求解,然后将值进行检验即可. 解:(1) (2) 解:两边同时乘以 得: 去括号得: 移项合并得: 系数化为1得: 将 代入 ,经检验 是原分式方程的解. 【点拨】本题考查了整式的混合运算,解分式方程等知识.解题的关键在于正确的计算. 97.(1) ;(2)1 【分析】(1)先通过分式的基本性质将分式方程转换成整式方程,然后再解方程,最后检验即可; (2)先运用绝对值、负整数次幂、零次幂的知识化简,然后再计算即可. (1)解:检验:当 时, , 所以 是原方程的根. (2)解: . 【点拨】本题主要考查了解分式方程、实数的混合运算等知识点,解分式方程中的检验是解答本题的 关键. 98.(1) ;(2) 【分析】(1)根据同分母的分式加法运算法则和分式的性质求解即可; (2)先去分母化为整式方程,再根据整式方程的解法步骤解方程即可,注意结果要检验. 解:(1) ; (2)去分母,得 , 去括号,得 , 移项、合并同类项,得 , 化系数为1,得 , 经检验, 是原分式方程的解. 【点拨】本题考查分式的加法、解分式方程,熟练掌握分式方程的解法步骤,正确求解是解答的关键, 注意解分式方程时,结果要检验. 99.(1)0;(2) 【分析】(1)首先根据有理数的乘方运算、负整数指数幂和零指数幂的运算法则进行运算,再进行 有理数的混合运算,即可求得其值;(2)根据解分式方程的步骤解方程,即可求解. 解:(1) ; (2)解方程: 方程两边同乘以 ,约去分母,得 解这个整式方程,得 , 经检验 是原方程的解, 所以,此方程的解为 . 【点拨】本题考查了负整数指数幂和零指数幂的运算法则,解分式方程,熟练掌握和运用各运算法则 和方法是解决本题的关键. 100.(1) ;(2) ,当 时,原式 . 【分析】(1)先把分式方程化为整式方程,进而解整式方程代入原分式方程的最简公分母检验即可 得解; (2)先把分式化简,再代入恰当的值解答即可. 解:(1) , , , 经检验 是原方程的解, ∴原方程的解是 ; (2), ∵ 且 ,即 且 , ∴x取1和0之外的一切实数, ∴当 时,原式 . 【点拨】此题考查解分式方程以及分式的混合运算并求值,解题的关键是掌握解分式方程的步骤和把 分式化简.