当前位置:首页>文档>八上数学第四章一次函数测试·基础卷(答案及评分标准)_北师大初中数学_8上-北师大版初中数学_初中数学北师大8上-2025秋季新版_第二套推荐25_07习题试卷_单元测试卷

八上数学第四章一次函数测试·基础卷(答案及评分标准)_北师大初中数学_8上-北师大版初中数学_初中数学北师大8上-2025秋季新版_第二套推荐25_07习题试卷_单元测试卷

  • 2026-04-13 22:28:45 2026-04-13 22:19:29

文档预览

八上数学第四章一次函数测试·基础卷(答案及评分标准)_北师大初中数学_8上-北师大版初中数学_初中数学北师大8上-2025秋季新版_第二套推荐25_07习题试卷_单元测试卷
八上数学第四章一次函数测试·基础卷(答案及评分标准)_北师大初中数学_8上-北师大版初中数学_初中数学北师大8上-2025秋季新版_第二套推荐25_07习题试卷_单元测试卷
八上数学第四章一次函数测试·基础卷(答案及评分标准)_北师大初中数学_8上-北师大版初中数学_初中数学北师大8上-2025秋季新版_第二套推荐25_07习题试卷_单元测试卷
八上数学第四章一次函数测试·基础卷(答案及评分标准)_北师大初中数学_8上-北师大版初中数学_初中数学北师大8上-2025秋季新版_第二套推荐25_07习题试卷_单元测试卷
八上数学第四章一次函数测试·基础卷(答案及评分标准)_北师大初中数学_8上-北师大版初中数学_初中数学北师大8上-2025秋季新版_第二套推荐25_07习题试卷_单元测试卷
八上数学第四章一次函数测试·基础卷(答案及评分标准)_北师大初中数学_8上-北师大版初中数学_初中数学北师大8上-2025秋季新版_第二套推荐25_07习题试卷_单元测试卷
八上数学第四章一次函数测试·基础卷(答案及评分标准)_北师大初中数学_8上-北师大版初中数学_初中数学北师大8上-2025秋季新版_第二套推荐25_07习题试卷_单元测试卷
八上数学第四章一次函数测试·基础卷(答案及评分标准)_北师大初中数学_8上-北师大版初中数学_初中数学北师大8上-2025秋季新版_第二套推荐25_07习题试卷_单元测试卷
八上数学第四章一次函数测试·基础卷(答案及评分标准)_北师大初中数学_8上-北师大版初中数学_初中数学北师大8上-2025秋季新版_第二套推荐25_07习题试卷_单元测试卷
八上数学第四章一次函数测试·基础卷(答案及评分标准)_北师大初中数学_8上-北师大版初中数学_初中数学北师大8上-2025秋季新版_第二套推荐25_07习题试卷_单元测试卷
八上数学第四章一次函数测试·基础卷(答案及评分标准)_北师大初中数学_8上-北师大版初中数学_初中数学北师大8上-2025秋季新版_第二套推荐25_07习题试卷_单元测试卷

文档信息

文档格式
docx
文档大小
0.660 MB
文档页数
7 页
上传时间
2026-04-13 22:19:29

文档内容

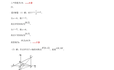
2025-2026 学年八年级上册数学单元检测卷 第四章 一次函数·基础通关(参考答案) 一、选择题(本大题共10小题,每小题3分,共30分) 题号 1 2 3 4 5 6 7 8 9 10 答案 D D C D B B A C D C 二、填空题(本大题共6小题,每小题3分,共18分) 11. 12. 13. 14.5 15. 16. 或 三、解答题(第17,18,19,20题,每题6分;第21,22,23题,每题8分;第24,25题,每题12分; 共9小题,共72分) 17. 【详解】(1)解: 一次函数 (k为常数,且 )的图象经过点 , ∴ , 解得 , 即该一次函数的表达式为 ;........4分 (2)解:一次函数图象沿y轴向下平移3个单位后所得图象对应的函数表达式为 .........6分 18. 【详解】(1)解:当 时, , ,当 时, , , ;........3分 (2)解:点 在 轴上,若 的面积为6, , , , ∵当点 在点 上方时, ∴ .........6分 19. 【详解】(1)解:∵ ,且 是关于 的正比例函数, ∴ , ∴ , ∴ ;........3分 (2)解:在 中,当 时, , ∵在 中, , ∴y随x增大而减小, ∴当 ,函数 的最小值为 .........6分 20. 【详解】(1)解:设 把 代入, 得 解得∴ , 即 ;........3分 (2)解:把 代入 , 得 解得 ∴ 的值为14.........6分 21. 【详解】(1)解:对于 , 令 ,得 , 故点B的坐标为 ; 令 ,得 , 故点C的坐标为 ; 故答案为: ;........2分 (2)解:作点B关于x轴的对称点 ,连接 , ∴ ,当且仅当 三点共线时,等号成立, ∴ 的最小值为 ,此时P是 与x轴的交点. 设 所在直线的表达式为 , 根据题意,得 ,将①代入②,得 , ∴ : , 令 ,则 ,解得 , ∴ .........8分 22. 【详解】(1)解:设每台空调的进价为 元,则每台电冰箱的进价为 元, , 解得: , (元), 每台空调进价1600元,每台电冰箱进价为2000元.........3分 (2)解:设购进电冰箱 台,则购进空调 台,利润为 元. , , 随 的增大而减小, , 当 时, 有最大值, 即购进电冰箱33台,空调67台时,利润最大.........8分 23. 【详解】(1)解:已知一次函数 的图象与x轴,y轴分别交于点A,B, 当 时, , , 当 时, 解得 , ,函数图象如图. ........4分 (2)解:①由图象可知,一次函数 随x的增大而减小, 点 , 在该一次函数的图象上,且 , , 故答案为:>; ②由图象可知,当 时,y的取值范围是 , 故答案为: ;........6分 (3)解:将一次函数 的图象沿y轴向上平移 个单位长度,得到 , 令 ,则求得 , , , , , 的值为 ........8分 24. 【详解】(1)解:由图象可知:甲、乙两地之间的距离是900千米, 由图象可知慢车行驶900千米,用12小时, ∴慢车的速度: (千米/小时), ∵行驶4小时,慢车和快车相遇,∴慢车和快车行驶速度之和为: (千米/小时), ∴快车的速度: (千米/小时), 故答案为:900;75;150........3分 (2)解:观察图象得:转折点 表示的实际意义为快车到达乙地时,两车的距离; 故答案为:快车到达乙地时,两车之间的距离;........7分 (3)解:∵第一列快车与慢车相遇30分钟后,第二列快车与慢车相遇, ∴当慢车与第二列快车相遇时,与第一列快车的距离是 (千米), 而此时慢车与第一列快车之间的距离等于两列快车之间的距离 千米, ∴两列快车出发的间隔时间: (小时), ∴第二列快车比第一列快车晚出发 小时.........12分 25. 【详解】(1)直线 与x轴, y轴分别交于A,B两点, ∴点A的坐标为 ,点B的坐标为 , 如图 ,过点 作 轴于点 , , , , , , 在 和 中, , ,, , 点的坐标为 ;........5分 (2)由题意可设 ,代入直线 , 得 ,解得 , F的坐标为 , 过点 F分别作 轴于 S点, 轴于T点, , , 在 和 中, , , , , , .........12分