当前位置:首页>文档>专题一 微拓展 导数新定义问题的应用_02高考数学_2025年新高考资料_二轮复习_2025年高考数学大二轮_2025数学二轮专题复习学生用书Word版文档_专题复习_专题一 函数与导数

专题一 微拓展 导数新定义问题的应用_02高考数学_2025年新高考资料_二轮复习_2025年高考数学大二轮_2025数学二轮专题复习学生用书Word版文档_专题复习_专题一 函数与导数

  • 2026-04-14 08:42:04 2026-04-14 07:33:50

文档预览

专题一 微拓展 导数新定义问题的应用_02高考数学_2025年新高考资料_二轮复习_2025年高考数学大二轮_2025数学二轮专题复习学生用书Word版文档_专题复习_专题一 函数与导数
专题一 微拓展 导数新定义问题的应用_02高考数学_2025年新高考资料_二轮复习_2025年高考数学大二轮_2025数学二轮专题复习学生用书Word版文档_专题复习_专题一 函数与导数
专题一 微拓展 导数新定义问题的应用_02高考数学_2025年新高考资料_二轮复习_2025年高考数学大二轮_2025数学二轮专题复习学生用书Word版文档_专题复习_专题一 函数与导数
专题一 微拓展 导数新定义问题的应用_02高考数学_2025年新高考资料_二轮复习_2025年高考数学大二轮_2025数学二轮专题复习学生用书Word版文档_专题复习_专题一 函数与导数
专题一 微拓展 导数新定义问题的应用_02高考数学_2025年新高考资料_二轮复习_2025年高考数学大二轮_2025数学二轮专题复习学生用书Word版文档_专题复习_专题一 函数与导数
专题一 微拓展 导数新定义问题的应用_02高考数学_2025年新高考资料_二轮复习_2025年高考数学大二轮_2025数学二轮专题复习学生用书Word版文档_专题复习_专题一 函数与导数
专题一 微拓展 导数新定义问题的应用_02高考数学_2025年新高考资料_二轮复习_2025年高考数学大二轮_2025数学二轮专题复习学生用书Word版文档_专题复习_专题一 函数与导数
专题一 微拓展 导数新定义问题的应用_02高考数学_2025年新高考资料_二轮复习_2025年高考数学大二轮_2025数学二轮专题复习学生用书Word版文档_专题复习_专题一 函数与导数
专题一 微拓展 导数新定义问题的应用_02高考数学_2025年新高考资料_二轮复习_2025年高考数学大二轮_2025数学二轮专题复习学生用书Word版文档_专题复习_专题一 函数与导数
专题一 微拓展 导数新定义问题的应用_02高考数学_2025年新高考资料_二轮复习_2025年高考数学大二轮_2025数学二轮专题复习学生用书Word版文档_专题复习_专题一 函数与导数
专题一 微拓展 导数新定义问题的应用_02高考数学_2025年新高考资料_二轮复习_2025年高考数学大二轮_2025数学二轮专题复习学生用书Word版文档_专题复习_专题一 函数与导数
专题一 微拓展 导数新定义问题的应用_02高考数学_2025年新高考资料_二轮复习_2025年高考数学大二轮_2025数学二轮专题复习学生用书Word版文档_专题复习_专题一 函数与导数
专题一 微拓展 导数新定义问题的应用_02高考数学_2025年新高考资料_二轮复习_2025年高考数学大二轮_2025数学二轮专题复习学生用书Word版文档_专题复习_专题一 函数与导数
专题一 微拓展 导数新定义问题的应用_02高考数学_2025年新高考资料_二轮复习_2025年高考数学大二轮_2025数学二轮专题复习学生用书Word版文档_专题复习_专题一 函数与导数
专题一 微拓展 导数新定义问题的应用_02高考数学_2025年新高考资料_二轮复习_2025年高考数学大二轮_2025数学二轮专题复习学生用书Word版文档_专题复习_专题一 函数与导数
专题一 微拓展 导数新定义问题的应用_02高考数学_2025年新高考资料_二轮复习_2025年高考数学大二轮_2025数学二轮专题复习学生用书Word版文档_专题复习_专题一 函数与导数

文档信息

文档格式
docx
文档大小
45.950 MB
文档页数
12 页
上传时间
2026-04-14 07:33:50

文档内容

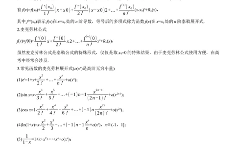
微拓展 导数新定义问题的应用 [考情分析] 随着高考的改革,各地模拟试题越来越新颖,压轴题更是百花齐放,泰勒展开式、帕德近似、 拉格朗日中值定理等以高等数学为背景的题目出现的频率越来越高,在解决部分题目时往往使问题简捷巧 妙,甚至可以“秒杀”,在突破难点方面起到了降维打击的作用. 考点一 泰勒展开式 1.泰勒公式 如果函数f(x)在含有x 的某个开区间(a,b)内具有直到(n+1)阶的导数,则对∀x∈(a,b), 0 f '(x ) f ″(x ) f(n)(x ) 有f(x)=f(x )+ 0 (x-x0)+ 0 (x-x0)2+…+ 0 (x-x )n+R (x), 0 0 n 1! 2! n! 其中f(n)(x )表示f(x)在x=x 处的n阶导数,等号后的多项式称为函数f(x)在x=x 处的n阶泰勒展开式. 0 0 0 2.麦克劳林公式 f '(0) f ″(0) f(n)(0) f(x)=f(0)+ x+ x2+…+ xn+R (x), n 1! 2! n! 虽然麦克劳林公式是泰勒公式的特殊形式,仅仅是取x =0的特殊结果,由于麦克劳林公式使用方便,在高 0 考中经常会涉及. 3.常见函数的麦克劳林展开式(o(xn)是高阶无穷小量) x2 xn (1)ex=1+x+ +…+ +o(xn); 2! n! x3 x5 x2n-1 (2)sin x=x- + -…+(-1)n-1 +o(x2n-1); 3! 5! (2n-1)! x2 x4 x6 x2n (3)cos x=1- + - +…+(-1)n +o(x2n); 2! 4! 6! (2n)! x2 x3 xn (4)ln(1+x)=x- + -…+(-1)n-1 +o(xn),x∈(-1,1]; 2 3 n 1 (5) =1+x+x2+…+xn+o(xn); 1-x α(α-1) α(α-1)…(α-n+1) (6)(1+x)α=1+αx+ x2+…+ xn+o(xn),x∈(-1,1). 2! n! 4.两个超越不等式(注意解答题需先证明后使用) x-1 (1)对数型超越放缩: ≤ln x≤x-1(x>0); x 1 (2)指数型超越放缩:x+1≤ex≤ (x<1). 1-x 1.01 1 例1 (1)已知a=ln 1.01,b= ,c= ,则 ( ) 30e 101 A.aa>b B.a>b>c C.a>c>b D.b>a>c 31 1 1 (2)(2022·全国甲卷)已知a= ,b=cos ,c=4sin ,则 ( ) 32 4 4 A.c>b>a B.b>a>c C.a>b>c D.a>c>b 考点二 帕德近似 帕德近似:帕德近似是法国数学家亨利·帕德发明的用有理多项式近似特定函数的方法.给定两个正整数 a +a x+…+a xm m,n,函数f(x)在x=0处的[m,n]阶帕德近似定义为R(x)= 0 1 m , 1+b x+…+b xn 1 n 且满足f(0)=R(0),f'(0)=R'(0),f″(0)=R″(0),…,f(m+n)(0)=R(m+n)(0). 其中f″(x)=[f'(x)]',f ‴(x)=[f″(x)]',f(4)(x)=[f ‴(x)]',f(5)(x)=[f(4)(x)]',…,f(m+n)(x)=[f(m+n-1)(x)]'. 高中常见的帕德近似公式 3x2+6x ln(1+x)≈ ,x∈(-1,1), x2+6x+6 x2+6x+12 ex≈ ,x∈[-2,2], x2-6x+12 6x sin x≈ ,x∈(-1,1), 6+x2 12-5x2 cos x≈ ,x∈(-1,1), 12+x2 3x ( π π) tan x≈ ,x∈ - , . 3-x2 2 2 ln1.5 例2 (1)已知a=e0.3,b= +1,c=√1.5,则 ( ) 2 A.ab,不等式 - +m - ≤0恒成立,求实数m的取值范围. b a a b [规律方法] 利用拉格朗日中值定理求参数的步骤: (1)分离参数; f(b)-f(a) (2)构造成 的形式,求其最值(范围). b-a f(x )-f(x ) 跟踪演练3 (1)设函数f(x)=x2+aln x,对任意的x ,x ∈(0,+∞)且x ≠x ,都有 1 2 ≥2,则实 1 2 1 2 x -x 1 2 数a的取值范围是 . (2)已知函数f(x)=ex-e-x.若对任意x≥0,都有f(x)≥ax,则实数a的取值范围为 . 1.(2024·郑州统考)计算器计算ex,ln x,sin x,cos x等函数的函数值,是通过写入“泰勒展开式”程序的芯 片完成的.“泰勒展开式”的内容为:如果函数f(x)在含有x 的某个开区间(a,b)内可以进行多次求导数运 0 f '(x ) f ″(x ) f ‴(x) 算,则当x≠x 时,有f(x)=f(x )+ 0 (x-x0)+ 0 (x-x0)2+ (x-x )3+…,其中f'(x)是f(x)的导 0 0 0 1! 2! 3! 数,f″(x)是f'(x)的导数,f‴(x)是f″(x)的导数,….取x =0,则sin 1精确到0.01的近似值为 ( ) 0 A.0.82 B.0.84 C.0.86 D.0.88 1 2.(2024·安康模拟)已知a=e0.2-1,b=ln 1.2,c= ,则 ( ) 6 A.aa>b B.c>b>a C.a>b>c D.a>c>bx3 x5 x7 x2n-1 6.数学家研究发现,对于任意的x∈R,sin x=x- + - +…+(-1)n-1 +…(n∈N*),称为 3! 5! 7! (2n-1)! 正弦函数的泰勒展开式.在精度要求不高的情况下,对于给定的实数x,可以用这个展开式来求sin x的近似值.如图, 百货大楼的上空有一广告气球,直径为6米,在竖直平面内,某人测得气球中心B的仰角∠BAC=30°,气球的视角 α=2°,则该气球的高BC约为 米.(精确到1米) sinx 7.设函数f(x)= . 2+cosx (1)求f(x)的单调区间; (2)如果对任何x≥0,都有f(x)≤ax,求实数a的取值范围. 8.(2024·绍兴模拟)帕德近似是法国数学家亨利·帕德发明的用有理多项式近似特定函数的方法.给定两个正整 a +a x+…+a xm 数m,n,函数f(x)在x=0处的[m,n]阶帕德近似定义为R(x)= 0 1 m ,且满足f(0)=R(0), 1+b x+…+b xn 1 n 1+ax f'(0)=R'(0),f″(0)=R″(0),…,f(m+n)(0)=R(m+n)(0).已知f(x)=ex在x=0处的[1,1]阶帕德近似为R(x)= . 1+bx (注:f″(x)=[f'(x)]',f'″(x)=[f″(x)]',f(4)(x)=[f'″(x)]',f(5)(x)=[f(4)(x)]',…) (1)求实数a,b的值; (2)当x∈(0,1)时,试比较f(x)与R(x)的大小; 1 1 1 (3)定义数列{a }:a = ,anea n+1=ea n-1,求证: ≤an< . n 1 2 2n 2n-1答案精析 x-1 例1 (1)D [由 ≤ln x≤x-1知 x 1.01-1 1 ln 1.01> = =c, 1.01 101 ∴a>c, 1 ln 1.01<1.01-1=0.01= , 100 1.01 1.01 1.01 1.01 1 又b= > = > > ,∴b>a,故b>a>c.] 30e 30×3 90 100 100 1 (2)C [b= ≈0.111, 9 x2 由公式ex=1+x+ +…, 2! 0.12 可得e0.1≈1+0.1+ =1.105, 2 则a=0.1e0.1≈0.110 5, 10 ( 1) c=-ln 0.9=ln =ln 1+ , 9 9 x2 x3 由公式ln(1+x)=x- + +…, 2 3 (1) 2 ( 1) 1 得c=ln 1+ ≈ - 9 9 9 2 ≈0.104 9,所以c-1), x+2 1 4 则φ'(x)= - x+1 (x+2) 2 x2 = ≥0, (x+1)(x+2) 2所以φ(x)在(-1,+∞)上为增函数, 又φ(0)=f(0)-R(0)=0, 所以当x>0时, φ(x)=f(x)-R(x)>φ(0)=0; 当-10时,f(x)>R(x); 当x=0时,f(x)=R(x); 当-10时, f(x)>R(x), 2x 即ln(x+1)> , x+2 2x 即当x>0时, 0,∃ξ∈(0,x), f(x)-f(0) 使得 =f'(ξ), x-0 f(x) 即 =f'(ξ), x 又f'(x)在(0,+∞)上单调递增,则f'(x)>f'(ξ), f(x) 即f'(x)> ,即当x>0时, x xf'(x)-f(x)>0, [f(x)] xf '(x)-f(x) 所以 '= >0, x x2f(x) 故y= 在(0,+∞)上单调递增. x lna lnb (b a) alna-blnb (2)解 因为a>b,所以 - +m - ≤0 ≤m, b a a b a2-b2 ⇔ 取f(x)=xln x,g(x)=x2, 因为a>b,且a,b∈(0,e), 所以由柯西中值定理,∃ξ∈(b,a), f(a)-f(b) alna-blnb 使得 = g(a)-g(b) a2-b2 f '(ξ) 1+lnξ = = , g'(ξ) 2ξ 1+lnξ 由题意得 ≤m, 2ξ 1+lnx 设G(x)= (00, 当10; 2 2π 4π 1 当2kπ+ 0时, f(x) f(x)≤ax等价于 ≤a, x 由拉格朗日中值定理得,存在x >0, 0 f(x)-f(0) 使得 =f'(x ), x-0 0 故只需证当x>0时,a≥f'(x )恒成立即可. 0 2cos x +1 0 又f'(x )= 0 (2+cos x ) 2 0 ( 1 1) 2 1 [ 1] 1 =-3 - + ∈ -1, ,所以a≥ . cos x +2 3 3 3 3 0 [1 ) 综上,实数a的取值范围为 ,+∞ . 3 a(1+bx)-b(1+ax) a-b 8.(1)解 由题意得R'(x)= = , (1+bx) 2 (1+bx) 2 -2b(a-b) R″(x)= , (1+bx) 3 f(0)=f'(0)=f″(0)=1,故R'(0)=a-b=1,R″(0)=-2b(a-b)=1, 1 1 解得a= ,b=- . 2 2 x 1+ 2 2+x 2+x (2)解 由上可得R(x)= = ,要比较f(x)与R(x)的大小,只需比较ex与 的大小, x 2-x 2-x 1- 2 2+x 只需比较1与 e-x的大小, 2-x2+x 令g(x)= e-x,x∈(0,1), 2-x [ 4 2+x] g'(x)= - e-x (2-x) 2 2-x x2 = e-x>0, (2-x) 2 所以g(x)在(0,1)上单调递增, 2+x 所以g(x)>g(0)=1,即 >ex,所以f(x)0时,u'(x)>0, u(x)在(0,+∞)上单调递增, 故u(x)≥u(0)=0,即ex≥x+1,当且仅当x=0时,等号成立. 1 由题意知a = ,a ea n+1=ea n-1,a ≠0, 1 2 n n ea n-1 a +1-1 则ea n+1= > n =1, a a n n 故可得a >0; n ea n-1 ea n+1-ea n= -ea n a n (1-a )ea n-1 = n , a n 令m(x)=(1-x)ex,x>0,m'(x)=-xex<0, 故m(x)在(0,+∞)上单调递减, 又当x→0+时, (1-x)ex-1 y= →0-, x 故可得ea n+1-ea n<0, 1 即a a +1,所以可得a +1< , n+1 n+1 2-a n a 1 2 n 即a < ,即 > -1, n+1 2-a a a n n+1 n 1 ( 1 ) 即 -1>2 -1 , a a n+1 n 1 ( 1 ) 故 -1>2n-1 -1 =2n-1, a a n 1 1 1 即 >2n-1,所以a < . a n 2n-1 n 1 1 1 1 另一方面,当n=1时,a = ,要证a ≥ ,即证a ≥ a ≥ , 1 2 n 2n n+1 2 n 2n+1 x x - 令g(x)= e2- e 2-x,x>0, x x 1 1 - g'(x)= e2+ e 2-1>0, 2 2 所以g(x)在 ( 0, 1 2 ] 上单调递增,所以g(a n )>g(0)=0,即 e a 2 n - e - a 2 n -a n >0 ea a n-1 > e a 2 n ea n+1> e a 2 n a n+1 > 1 2 a n ,得证. n ⇒ ⇒ ⇒