当前位置:首页>文档>专题六 微专题3 范围、最值问题_02高考数学_2025年新高考资料_二轮复习_2025年高考数学大二轮_2025数学二轮专题复习教师用书Word版文档_专题六 解析几何

专题六 微专题3 范围、最值问题_02高考数学_2025年新高考资料_二轮复习_2025年高考数学大二轮_2025数学二轮专题复习教师用书Word版文档_专题六 解析几何

  • 2026-04-14 09:39:21 2026-04-14 09:36:19

文档预览

专题六 微专题3 范围、最值问题_02高考数学_2025年新高考资料_二轮复习_2025年高考数学大二轮_2025数学二轮专题复习教师用书Word版文档_专题六 解析几何
专题六 微专题3 范围、最值问题_02高考数学_2025年新高考资料_二轮复习_2025年高考数学大二轮_2025数学二轮专题复习教师用书Word版文档_专题六 解析几何
专题六 微专题3 范围、最值问题_02高考数学_2025年新高考资料_二轮复习_2025年高考数学大二轮_2025数学二轮专题复习教师用书Word版文档_专题六 解析几何
专题六 微专题3 范围、最值问题_02高考数学_2025年新高考资料_二轮复习_2025年高考数学大二轮_2025数学二轮专题复习教师用书Word版文档_专题六 解析几何
专题六 微专题3 范围、最值问题_02高考数学_2025年新高考资料_二轮复习_2025年高考数学大二轮_2025数学二轮专题复习教师用书Word版文档_专题六 解析几何
专题六 微专题3 范围、最值问题_02高考数学_2025年新高考资料_二轮复习_2025年高考数学大二轮_2025数学二轮专题复习教师用书Word版文档_专题六 解析几何
专题六 微专题3 范围、最值问题_02高考数学_2025年新高考资料_二轮复习_2025年高考数学大二轮_2025数学二轮专题复习教师用书Word版文档_专题六 解析几何
专题六 微专题3 范围、最值问题_02高考数学_2025年新高考资料_二轮复习_2025年高考数学大二轮_2025数学二轮专题复习教师用书Word版文档_专题六 解析几何
专题六 微专题3 范围、最值问题_02高考数学_2025年新高考资料_二轮复习_2025年高考数学大二轮_2025数学二轮专题复习教师用书Word版文档_专题六 解析几何
专题六 微专题3 范围、最值问题_02高考数学_2025年新高考资料_二轮复习_2025年高考数学大二轮_2025数学二轮专题复习教师用书Word版文档_专题六 解析几何
专题六 微专题3 范围、最值问题_02高考数学_2025年新高考资料_二轮复习_2025年高考数学大二轮_2025数学二轮专题复习教师用书Word版文档_专题六 解析几何
专题六 微专题3 范围、最值问题_02高考数学_2025年新高考资料_二轮复习_2025年高考数学大二轮_2025数学二轮专题复习教师用书Word版文档_专题六 解析几何
专题六 微专题3 范围、最值问题_02高考数学_2025年新高考资料_二轮复习_2025年高考数学大二轮_2025数学二轮专题复习教师用书Word版文档_专题六 解析几何
专题六 微专题3 范围、最值问题_02高考数学_2025年新高考资料_二轮复习_2025年高考数学大二轮_2025数学二轮专题复习教师用书Word版文档_专题六 解析几何
专题六 微专题3 范围、最值问题_02高考数学_2025年新高考资料_二轮复习_2025年高考数学大二轮_2025数学二轮专题复习教师用书Word版文档_专题六 解析几何
专题六 微专题3 范围、最值问题_02高考数学_2025年新高考资料_二轮复习_2025年高考数学大二轮_2025数学二轮专题复习教师用书Word版文档_专题六 解析几何
专题六 微专题3 范围、最值问题_02高考数学_2025年新高考资料_二轮复习_2025年高考数学大二轮_2025数学二轮专题复习教师用书Word版文档_专题六 解析几何
专题六 微专题3 范围、最值问题_02高考数学_2025年新高考资料_二轮复习_2025年高考数学大二轮_2025数学二轮专题复习教师用书Word版文档_专题六 解析几何

文档信息

文档格式
docx
文档大小
6.404 MB
文档页数
14 页
上传时间
2026-04-14 09:36:19

文档内容

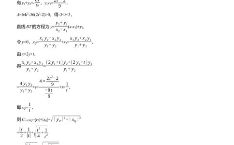
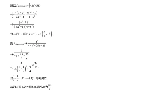
微专题 3 范围、最值问题 [考情分析] 圆锥曲线的综合问题是高考考查的重点内容,范围、最值问题是常见的热点题型,常以解答 题的形式压轴出现,难度较大. 考点一 与长度、周长、面积相关的范围(最值)问题 y2 x2 √2 1 例1 (2024·衢州模拟)已知椭圆C: + =1(a>b>0)的离心率为 ,斜率为 的直线l与y轴交于点 a2 b2 2 2 8 P,l与C交于A,B两点,T是A关于x轴的对称点.当P与坐标原点O重合时,△ABT的面积为 . 9 (1)求椭圆C的方程; (2)当P异于O点时,记直线BT与x轴交于点Q,求△OPQ周长的最小值. 解 (1)当P与坐标原点O重合时,可设A(x ,y )(x >0), 0 0 0 则有B(-x ,-y ),T(x ,-y ), 0 0 0 0 且x =2y ,AT⊥BT, 0 0 1 1 8 则S = |AT|·|BT|= ·2y ·2x = , △ABT 2 2 0 0 9 4 即2y2 = , 0 9 2 8 ∴y2 = ,则x2 = , 0 9 0 9 2 8 √2 则有 + =1,由离心率为 , 9a2 9b2 2 c √2 即 = , a 2 则a2=2c2=b2+c2,∴a2=2b2, 1 8 即有 + =1, 9b2 9b2 解得b2=1,∴a2=2, y2 即椭圆C的方程为 +x2=1. 2 t t (2)设直线l方程为x=2y+t(t≠0),令x=0,有y=- ,即y =- , 2 P 2设点A(x ,y ),B(x ,y ),则T(x ,-y ), 1 1 2 2 1 1 {x=2y+t, 联立直线l与椭圆方程 y2 +x2=1, 2 消去x得9y2+8ty+2t2-2=0, 8t 2t2-2 有y +y =- ,y y = , 1 2 9 1 2 9 Δ=64t2-36(2t2-2)>0,得-30,b>0)的左、右焦点分别为F ,F ,|F F |=2√5,且E的渐近线 a2 b2 1 2 1 2 x 方程为y=± . 2 (1)求E的方程; (2)过F 作两条相互垂直的直线l 和l ,与E的右支分别交于A,C两点和B,D两点,求四边形ABCD 2 1 2 面积的最小值. x2 y2 b 解 (1)由题意,得E: - =1(a>0,b>0)的渐近线方程为y=± x, a2 b2 a x b 1 因为双曲线E的渐近线方程为y=± ,所以 = ,即a=2b, 2 a 2 又因为|F F |=2√a2+b2=2√5b2=2√5,所以b=1,则a=2, 1 2 x2 故E的方程为 -y2=1. 4 (2)根据题意,直线l ,l 的斜率都存在且不为0, 1 2 设直线l :y=k(x-√5), 1 1 l :y=- (x-√5),其中k≠0, 2 k 1 | 1| 1 1 因为l ,l 均与E的右支有两个交点,所以|k|> ,- > ,所以 0,b>0)的左、右焦点分别为F ,F ,离心率 a2 b2 1 2 为2,P是E的右支上一点,且PF ⊥PF ,△PF F 的面积为3. 1 2 1 2 (1)求E的方程; (2)若E的左、右顶点分别为A,B,过点F 的直线l与E的右支交于M,N两点,直线AM和BN的斜率 2 2 分别为k 和k ,求k2 + k 的最小值. AM BN AM 3 BN解 (1)设双曲线的半焦距为c(c>0), 1 ∵S = |PF ||PF |=3, △PF 1 F 2 2 1 2 ∴|PF ||PF |=6. 1 2 由题可知|PF |-|PF |=2a,|PF |2+|PF |2=4c2, 1 2 1 2 c ∴|PF |2+|PF |2-2|PF ||PF |=4a2,即4c2-12=4a2,∴b2=3.又 =2,∴a2=1. 1 2 1 2 a y2 故E的方程为x2- =1. 3 (2)如图,由题可知F (2,0),A(-1,0),B(1,0),且直线MN的斜率不为0, 2 ( √3 √3) 设直线MN的方程为x=ty+2 - 0),直线x-y+1=0与C交于A,B两点,且|AB|=8. (1)求抛物线C的方程; (2)已知点P为x2+(y+1)2=1上一点,过点P作抛物线C的两条切线PD,PE,设切点分别为D,E,试求 直线PD,PE斜率之积的最小值. 解 (1)设点A(x ,y ),B(x ,y ), 1 1 2 2 { x2=2py, 由 可得x2-2px-2p=0, x- y+1=0, 则x +x =2p,x x =-2p, 1 2 1 2 |AB|=√1+k2·√(x +x ) 2-4x x =√2×√4 p2+8p=8,解得p=2, 1 2 1 2 即抛物线C的方程为x2=4y. (2)设点P(x ,y ),D(x ,y ),E(x ,y ),其中x ≠x ,x ≠x , 0 0 3 3 4 4 3 0 4 0 x2 x 由C:x2=4y,即y= ,y'= , 4 2 x2 x 则l :y- 3= 3(x-x ), PD 4 2 3 x2 x l :y- 4= 4(x-x ), PE 4 2 4 { x2 x y - 3= 3 (x -x ), 0 4 2 0 3 则有 x2 x y - 4= 4 (x -x ), 0 4 2 0 4 x2 x 即D(x ,y ),E(x ,y )都在直线y - = (x -x)上, 3 3 4 4 0 4 2 0 化简得l :x x=2(y+ y ), DE 0 0 将直线DE的方程代入C:x2=4y得x2-2x x+4y =0, 0 0 则x +x =2x ,x x =4y , 3 4 0 3 4 0 y - y y - y (x2-4 y )·(x2-4 y ) 3 0 4 0 3 0 4 0 则k ·k = · = PD PE x -x x -x 16(x -x )·(x -x ) 3 0 4 0 3 0 4 0(x x ) 2-4 y (x2+x2 )+16 y2 3 4 0 3 4 0 = 16(4 y -x2) 0 0 16 y2-4 y (4x2-8 y )+16 y2 0 0 0 0 0 = 16(4 y -x2) 0 0 2y (4 y -x2) 0 0 0 = =y , 2(4 y -x2) 0 0 0 又P(x ,y )为x2+(y+1)2=1上的一点,则-2≤y ≤0, 0 0 0 故(k ·k ) =(y ) =-2. PD PE min 0 min 考点三 与向量相关的范围(最值)问题 4√5 √5 例3 已知点F(0,√5),直线l:y= ,动点P到F的距离与到直线l的距离之比为 . 5 2 (1)求动点P的轨迹Γ的方程; (2)设点M是轨迹Γ上一点,在直线y=2x,y=-2x上分别取点A,B,当A,B分别位于第一、二象限时, [1 ] 若⃗AM=λ⃗MB,λ∈ ,3 ,求△AOB面积的取值范围. 2 1 附:在△ABC中,若⃗AB=(x ,y ),⃗AC=(x ,y ),则△ABC的面积为 |x y -x y |. 1 1 2 2 2 1 2 2 1 解 (1)设P(x,y),点P到直线l的距离为d. |PF| √5 由已知可得 = , d 2 √x2+(y-√5) 2 √5 即 | 4√5| = , y- 2 5 2 5( 4√5) 两边平方得,x2+(y-√5) 2= y- , 4 5 y2 整理得 -x2=1. 4 y2 故动点P的轨迹Γ的方程为 -x2=1. 4 (2)设M(x ,y ),A(x ,2x ),B(x ,-2x ),⃗AM=(x -x ,y -2x ),⃗MB=(x -x ,-2x -y ), 0 0 1 1 2 2 0 1 0 1 2 0 2 0 因为⃗AM=λ⃗MB, { x -x =λ(x -x ), 0 1 2 0 所以 y -2x =λ(-2x - y ), 0 1 2 0x +λx { x = 1 2, 0 1+λ 即 2(x -λx ) y = 1 2 . 0 1+λ (x -λx ) 2 (x +λx ) 2 将点M(x ,y )代入双曲线方程,得 1 2 - 1 2 =1, 0 0 1+λ 1+λ (1+λ) 2 化简得x x =- . 1 2 4λ 1 所以△AOB的面积为S= |x (-2x )-x ·2x | 2 1 2 2 1 (1+λ) 2 1( 1 ) =2|x x |= = λ+ +2 , 1 2 2λ 2 λ [1 ] 1 10 因为λ∈ ,3 ,所以2≤λ+ ≤ , 2 λ 3 1( 1 ) [ 8] S= λ+ +2 ∈ 2, . 2 λ 3 [ 8] 故△AOB面积的取值范围为 2, . 3 [规律方法] 圆锥曲线中的最值问题,常见的方法有 (1)函数法:一般需要找出所求几何量的函数解析式,要注意自变量的取值范围.求函数的最值时,一般会 用到配方法、基本不等式或者函数的单调性. (2)方程法:根据题目中的等量关系建立方程,根据方程的解的条件得出目标量的不等关系,再求出目标量 的最值. (3)不变量法:在平面几何中有一些不变量的最值结果,在求最值时,可以考虑观察图形的几何特点,判断 某个特殊位置满足的最值条件,然后再证明. 2√5 跟踪演练3 已知椭圆的焦点在x轴上,它的一个顶点恰好是抛物线x2=4y的焦点,离心率e= . 5 (1)求椭圆的标准方程; (2)过椭圆的右焦点F作与坐标轴不垂直的直线l,交椭圆于A,B两点,设点M(m,0)是线段OF上的 一个动点,且(⃗MA+⃗MB)⊥⃗AB,求m的取值范围. 解 (1)由椭圆的焦点在x轴上,设椭圆的标准方程为x2 y2 + =1(a>b>0), a2 b2 由抛物线方程为x2=4y,可得其焦点为(0,1),则椭圆的一个顶点为(0,1), 即b=1. c √ b2 2√5 由e= = 1- = ,解得a2=5, a a2 5 x2 ∴椭圆的标准方程为 +y2=1. 5 (2)由(1)得F(2,0),则0≤m≤2, 设A(x ,y ),B(x ,y ),x ≠x , 1 1 2 2 1 2 结合题意可设直线l的方程为y=k(x-2)(k≠0). { x2 + y2=1, 由 5 y=k(x-2), 消去y得(5k2+1)x2-20k2x+20k2-5=0, 直线l过椭圆焦点,必有Δ>0, 20k2 20k2-5 ∴x +x = ,x x = , 1 2 5k2+1 1 2 5k2+1 则y +y =k(x +x -4), 1 2 1 2 ⃗MA+⃗MB=(x +x -2m,y + y ),⃗AB=(x -x ,y - y ), 1 2 1 2 2 1 2 1 ∵(⃗MA+⃗MB)⊥⃗AB,∴(⃗MA+⃗MB)·⃗AB=0, ∴(x +x -2m)(x -x )+(y +y )(y -y )=0, 1 2 2 1 1 2 2 1 y - y 两边同除以x -x ,有(x +x -2m)+ 2 1 (y + y )=0 x +x -2m+k(y + y )=0, 2 1 1 2 x -x 1 2 1 2 1 2 2 1 ⇒ ∴2m=x +x +k(y + y ), 1 2 1 2 20k2 ( 20k2 ) ∴2m= +k2· -4 5k2+1 5k2+1 20k2-4k2 16k2 = = , 5k2+1 5k2+1 8 8k2 ( 8) 则m= = 1 ∈ 0, , 5k2+1 5+ 5 k2 ( 8) ∴m的取值范围为 0, . 5专题强化练 (分值:50分) x2 1.(16分)已知椭圆C: +y2=1. 4 (1)若椭圆C的左、右焦点分别为F ,F ,P为C的上顶点,求△PF F 的周长;(6分) 1 2 1 2 (2)设过定点M(0,2)的直线l与椭圆C交于不同的两点A,B,且∠AOB为锐角(其中O为坐标原点),求直 线l的斜率k的取值范围.(10分) 解 (1)由题意得a2=4,b2=1, 所以a=2,b=1,c=√a2-b2=√3, 所以△PF F 的周长为|PF |+|PF |+|F F |=2a+2c=4+2√3. 1 2 1 2 1 2 (2)显然当直线l的斜率k不存在时,直线x=0不满足题意,设直线l的方程为y=kx+2(k≠0),A(x ,y ), 1 1 B(x ,y ), 2 2 {y=kx+2, 由 x2 得(1+4k2)x2+16kx+12=0, + y2=1, 4 3 由Δ=(16k)2-4×12(1+4k2)>0,得k2> , 4 16k 12 则x +x =- ,x x = , 1 2 4k2+1 1 2 4k2+1 y y =(kx +2)(kx +2)=k2x x +2k(x +x )+4, 1 2 1 2 1 2 1 2 因为∠AOB为锐角,A,O,B不共线, 所以cos∠AOB>0, 所以⃗OA·⃗OB>0,所以x x +y y >0, 1 2 1 2 所以x x +y y =(1+k2)x x +2k(x +x )+4 1 2 1 2 1 2 1 2 12(k2+1) 16k·2k = - +4 4k2+1 4k2+1 4(4-k2) = >0, 4k2+1 解得0 , 4 √3 √3 解得-21)的离心率为 ,椭圆C的动弦AB过椭圆C的右焦点 a2 5 F,当AB垂直x轴时,椭圆C在A,B处的两条切线的交点为M. (1)求点M的坐标;(7分) 1 m (2)若直线AB的斜率为 ,过点M作x轴的垂线l,点N为l上一点,且点N的纵坐标为- ,直线NF与椭 m 2 圆C交于P,Q两点,求四边形APBQ面积的最小值.(10分) b=1, { c 2√5 解 (1)由题意知, = , 解得a=√5,b=1,c=2, a 5 b2=a2-c2, x2 所以椭圆C的方程为 +y2=1,F(2,0), 5 √5 将x=2代入椭圆方程得y=± , 5 ( √5) 不妨取A 2, , 5 √5 设椭圆C在点A处的切线方程为y=k(x-2)+ , 5 { x2 + y2=1, 5 联立 得(5k2+1)x2+(2√5k-20k2)x+20k2-4√5k-4=0, √5 y=k(x-2)+ , 5 所以Δ=(2√5k-20k2)2-4(5k2+1)(20k2-4√5k-4)=0, 2√5 整理得4(√5k+2)2=0,解得k=- , 5 2√5 √5 2√5 所以在点A处的切线方程为y=- (x-2)+ =- x+√5, 5 5 5 由椭圆的对称性知,点M在x轴上, 5 令y=0,则x= , 2 (5 ) 即点M的坐标为 ,0 . 2 1 (2)根据题意,可得直线AB的方程为y= (x-2), m即x=my+2(m≠0), 设A(x ,y ),B(x ,y ), 1 1 2 2 {x=my+2, 联立 x2 得(m2+5)y2+4my-1=0, + y2=1, 5 -4m -1 所以y +y = ,y y = ,Δ=20(m2+1), 1 2 m2+5 1 2 m2+5 2√5·√m2+1 2√5(m2+1) 所以|AB|=√1+m2·√(y + y ) 2-4 y y =√1+m2· = , 1 2 1 2 m2+5 m2+5 m 因为MN⊥x轴,且点N的纵坐标为- , 2 (5 m) 所以N ,- , 2 2 m - -0 2 所以直线NF的斜率为 =-m, 5 -2 2 所以直线NF的方程为y=-m(x-2), 1 即x=- y+2, m ( 1 ) 2√5· +1 m2 2√5(1+m2 ) 同理可得,|PQ|= = , 1 1+5m2 +5 m2 1 1 m2+5 1+5m2 6(m2+1) 3√5 所以 + = + = = , |AB| |PQ| 2√5(m2+1) 2√5(m2+1) 2√5(m2+1) 5 1 1 3√5 故 + 为定值 . |AB| |PQ| 5 1 1 √ 1 1 20 2√5 故 + ≥2 |AB||PQ|≥ ,当且仅当|AB|=|PQ|= 时等号成立, |AB| |PQ| |AB| |PQ| 9 3 ⇒ 1 由于k =-m,k = ,故NF⊥AB,即PQ⊥AB, NF AB m 1 10 2√5 10 故S = |PQ||AB|≥ ,当且仅当|AB|=|PQ|= 时等号成立,故四边形APBQ面积的最小值为 . 四边形APBQ 2 9 3 9x2 y2 √6 3.(17分)(2024·聊城模拟)已知椭圆C: + =1(a>b>0)的短轴长为2,离心率为 . a2 b2 3 (1)求C的方程;(4分) (2)直线l:y=kx+m(k>0,m>0)与C交于M,N两点,与y轴交于点A,与x轴交于点B,且⃗AM=λ ⃗BM,⃗AN=μ⃗BN. 1 ①当μ= =2时,求k的值;(5分) λ ②当λ+μ=3时,求点(0,-√3)到l的距离的最大值.(8分) 2b=2, { 解 (1)由题意得 c √a2-b2 √6 = = , a a2 3 {b=1, 解得 a=√3, x2 所以C的方程为 +y2=1. 3 ( m ) (2)①由题意得A(0,m),B - ,0 , k 由⃗AM= 1 ⃗BM,得⃗OM=2⃗OA-⃗OB,即M (m ,2m ) , 2 k ( 2m ) 由⃗AN=2⃗BN,得⃗ON=2⃗OB-⃗OA,即N - ,-m , k m2 4m2 将M,N的坐标分别代入C的方程,得 +4m2=1和 +m2=1, 3k2 3k2 1 √3 解得k2= ,又k>0,所以k= . 3 3 {y=kx+m, ②由 x2 消去y, + y2=1, 3 得(3k2+1)x2+6kmx+3m2-3=0, 其中Δ=36k2m2-12(3k2+1)(m2-1)=12(3k2-m2+1)>0,-6km 3m2-3 设M(x ,y ),N(x ,y ),则x +x = ,x x = , 1 1 2 2 1 2 3k2+1 1 2 3k2+1 ( m ) 由⃗AM=λ⃗BM,⃗AN=μ⃗BN,A(0,m),B - ,0 , k ( m) ( m) 得x =λ x + ,x =μ x + , 1 1 k 2 2 k x x 1 2 所以λ+μ= m+ m, x + x + 1 k 2 k 由λ+μ=3,得k2x x +2mk(x +x )+3m2=0, 1 2 1 2 3m2k2-3k2 -12m2k2 即 + +3m2=0, 3k2+1 3k2+1 所以3m2k2-3k2-12m2k2+9m2k2+3m2=0, 因此k2=m2,又k>0,m>0,所以k=m. 所以l的方程为y=k(x+1),即l过定点(-1,0), 所以点(0,-√3)到l的最大距离为点(0,-√3)与点(-1,0)的距离d=√1+(√3) 2=2, 即点(0,-√3)到l的距离的最大值为2.