当前位置:首页>文档>2003数学三解析公众号,西米研考_27考研真题_考研数学一、二、三历年真题+考研数学资料(1994-2026)_考研数学真题(1987-2026)_考研数学历年真题(1987-2024)_考研数学三真题1987-2024

2003数学三解析公众号,西米研考_27考研真题_考研数学一、二、三历年真题+考研数学资料(1994-2026)_考研数学真题(1987-2026)_考研数学历年真题(1987-2024)_考研数学三真题1987-2024

  • 2026-04-16 10:20:46 2026-04-16 09:49:19

文档预览

2003数学三解析公众号,西米研考_27考研真题_考研数学一、二、三历年真题+考研数学资料(1994-2026)_考研数学真题(1987-2026)_考研数学历年真题(1987-2024)_考研数学三真题1987-2024
2003数学三解析公众号,西米研考_27考研真题_考研数学一、二、三历年真题+考研数学资料(1994-2026)_考研数学真题(1987-2026)_考研数学历年真题(1987-2024)_考研数学三真题1987-2024
2003数学三解析公众号,西米研考_27考研真题_考研数学一、二、三历年真题+考研数学资料(1994-2026)_考研数学真题(1987-2026)_考研数学历年真题(1987-2024)_考研数学三真题1987-2024
2003数学三解析公众号,西米研考_27考研真题_考研数学一、二、三历年真题+考研数学资料(1994-2026)_考研数学真题(1987-2026)_考研数学历年真题(1987-2024)_考研数学三真题1987-2024
2003数学三解析公众号,西米研考_27考研真题_考研数学一、二、三历年真题+考研数学资料(1994-2026)_考研数学真题(1987-2026)_考研数学历年真题(1987-2024)_考研数学三真题1987-2024
2003数学三解析公众号,西米研考_27考研真题_考研数学一、二、三历年真题+考研数学资料(1994-2026)_考研数学真题(1987-2026)_考研数学历年真题(1987-2024)_考研数学三真题1987-2024
2003数学三解析公众号,西米研考_27考研真题_考研数学一、二、三历年真题+考研数学资料(1994-2026)_考研数学真题(1987-2026)_考研数学历年真题(1987-2024)_考研数学三真题1987-2024
2003数学三解析公众号,西米研考_27考研真题_考研数学一、二、三历年真题+考研数学资料(1994-2026)_考研数学真题(1987-2026)_考研数学历年真题(1987-2024)_考研数学三真题1987-2024
2003数学三解析公众号,西米研考_27考研真题_考研数学一、二、三历年真题+考研数学资料(1994-2026)_考研数学真题(1987-2026)_考研数学历年真题(1987-2024)_考研数学三真题1987-2024
2003数学三解析公众号,西米研考_27考研真题_考研数学一、二、三历年真题+考研数学资料(1994-2026)_考研数学真题(1987-2026)_考研数学历年真题(1987-2024)_考研数学三真题1987-2024
2003数学三解析公众号,西米研考_27考研真题_考研数学一、二、三历年真题+考研数学资料(1994-2026)_考研数学真题(1987-2026)_考研数学历年真题(1987-2024)_考研数学三真题1987-2024

文档信息

文档格式
pdf
文档大小
6.803 MB
文档页数
7 页
上传时间
2026-04-16 09:49:19

文档内容

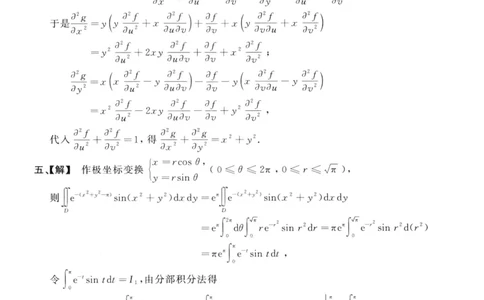
2003年数学(三)真题解析 一、填空题 (1)【答案】(2*,+ ). 【解】 当力 HO 时 9 ff (x ) = A jca_1 cos — + j?A_2sin —; JC JC 当工=0时9由厂(0) = lim I'")----/⑹ =limjrA_1 cos丄存在,得入〉1且十(0) = 0, H-*0 x x->0 X (0, 工=O9 于是八乂)=] — 1 -2 ・ 1 因为 lim/(^) =/70) =0,所以 A > 2. Ajc cos-----x sin —,力工 0, 工〜。 I x JC (2) 【答案】4J. 【解】 设切点为(无()90),令= 3jc2 — 3a2 = 0,得工舟=aS 由 0=云一3<22 6 ,得 b = (3a2 —工約=2a $工09 故快二仏'. (3) 【答案】 /. 【解】令0()= {(工9夕)|0 =工£1,0£夕一工£1} 9 则 —工)山 dy h/jjdz dy =/J dr J dy = a2 ・ D D0 (4) 【答案】一1. 【解】 由 AB = (E—aa r)(E + —aaT) =E+ ( —l}aa 1— aa aaT \ q / \ a 丿 a =E+ ( —1}aaT — 2aaa r = E + ------1 — 2a )aa r =E 得----1 — 2a = 0,解得 a = — 1 或 q=£ 9 因为 a 0 JC H->0 3C 故工=0为g(_z)的可去间断点,应选(D). 方法点评:本题考查函数间断点及其类型. 注意如下知识点: (1) 若/(^)可导且为奇函数,则/(0) =0 JL /(X)为偶函数; (2) 若fd)可导且为偶函数,则f\x)为奇函数且/70) =0. (2) 【答案】(A). 【解】 因为f^,y)可微且在(工。,九)处取极小值, 所以 (乂0,》o)=0,于;(Zo ,$0)=0 , 而-j-fCjc0 ,y) I =于;(力0 ,夕0)=0,应选(A). d_y I y=y0 (3) 【答案】(B). oo oo 【解】 若 »”绝对收敛,即S山”丨收敛, n = 1 n = l 因为o w乜#也Wlsl, 0W W" w山”丨, 所以由正项级数的比较审敛法得s山”严上与s ◎」严 都收敛, n=l / n=\ / oo oo oo OO 即 工久与一工q”都收敛,于是 工仇与 都收敛,应选(E). »= 1 71 = 1 n = 1 n = 1 OO oo oo I I | 8 I I ___ 事实上,若工S条件收敛,则工山”丨发散,于是S S ? 及S 都 n = 1 n = 1 n = 1 / n = 1 发散. (4) 【答案】(C). 【解】由厂(A* ) = l,得厂(A)=2<3,于是IA | =0. 由 \A | = (a+26)(tz—6)2=0,得 a+2b= 0 或a =b . 而当a=b时,广(A ) = 1,故a + 26 = 0,应选(C).方法点评:本题考查矩阵与其伴随矩阵的秩之间的关系. X 9 r (A ) —n , 设A为九阶矩阵9则r (A x ) =5 1, r (A ) =zz — 1, [o, r(A)sin(H2 + 3/2 ) dj? dj/ D D C2n '*/n 2 '麻 2 e d0 re~r sin r2 dr = ire e_r sin r2 d(r2 ) J 0 0 0 =7re e_/ sin tdt 9 0 令 e_z sin tdt =人,由分部积分法得 o 一 J「d ( cos £ ) = - e~l cos t 11 = 「sin tAt 「cos tdt 0 0 =e_K + 1 一 e~l cos tdt — e_K + 1 一 eTl d(sin t) o 0 —it I 1 —t •_ =e + 1 一 e sin e_z sin t dt= e-Tr + 1 一 11 ? 0 ★+1), 所以I】 故 +,f sin(工2 y2)dx dy = ( e~n + 1) = -^-(en + 1)・ D 六、【解】方法一 8 2n 0 0 0 0 (_ ])”_] = l*ln_(l+_z2 )(—l Vh < 1) /■(•z ) = 1 + 丫( — 1)" (•T 2 ) n = l 乙71 乙n = l n由 y'(z) = — —° = 0 得 工=0, 1十工 当一 1 Vh < 0 时,/(^) > 0;当 0 <工 V 1 时,/7^) < 0, 则z = 0为/(j:)的极大值点,极大值为/(0) =1. 00 2n 方法二 令/(工)=1+》(一1)"丨,/'(0) =1, ” =i 2n 则 /(J: ) =/(0) + [ )d:r =1----ln( 1 + je 2 ). Jo 2 由 (攵)=——~2 = 0 得 2 =0, 1 + JC 当一 1 V 0 时,/■'(#)> 0;当 0 <工 C 1 时,/•'©) < 0, 则z = 0为/(jc )的极大值点,极大值为/(0) = 1. 七、【解】(1)由 f'(z)=y,(j?) + f (工)g'o = /2(x)+ g2(X) =[/(a-) + g (z )了 — 2/(jt )g (j:) = (2ex )2 — 2F(z ), 得FQ )满足的一阶微分方程为F'(z) +2F(z) =4e". (2)由 F'(h) +2F(工)=4疋工,得 FQ)=("孑• e『込clz +C)e^2dj =Ce~2x +孑, 由 F(0) = /(0)g(0) = 0,得 C - — 1,故 FQ) = e2x — e_2x . 八、【证明】 因为于(工)在[0,2]上连续,所以于(工)在[0,2]上取到最小值加和最大值M , 于是 3m < f (0) +/(1) +/X2) £ 3M ,即 m < 1