当前位置:首页>文档>9实验十 测定电源的电动势和内阻 随堂检测巩固落实_04高考物理_新高考复习资料_2022年新高考复习资料_高考物理2022年一轮复习各版本_赠配套习题(含部分19届真题与模拟题)

9实验十 测定电源的电动势和内阻 随堂检测巩固落实_04高考物理_新高考复习资料_2022年新高考复习资料_高考物理2022年一轮复习各版本_赠配套习题(含部分19届真题与模拟题)

  • 2026-04-18 04:53:17 2026-04-18 04:34:20

文档预览

9实验十 测定电源的电动势和内阻 随堂检测巩固落实_04高考物理_新高考复习资料_2022年新高考复习资料_高考物理2022年一轮复习各版本_赠配套习题(含部分19届真题与模拟题)
9实验十 测定电源的电动势和内阻 随堂检测巩固落实_04高考物理_新高考复习资料_2022年新高考复习资料_高考物理2022年一轮复习各版本_赠配套习题(含部分19届真题与模拟题)
9实验十 测定电源的电动势和内阻 随堂检测巩固落实_04高考物理_新高考复习资料_2022年新高考复习资料_高考物理2022年一轮复习各版本_赠配套习题(含部分19届真题与模拟题)
9实验十 测定电源的电动势和内阻 随堂检测巩固落实_04高考物理_新高考复习资料_2022年新高考复习资料_高考物理2022年一轮复习各版本_赠配套习题(含部分19届真题与模拟题)
9实验十 测定电源的电动势和内阻 随堂检测巩固落实_04高考物理_新高考复习资料_2022年新高考复习资料_高考物理2022年一轮复习各版本_赠配套习题(含部分19届真题与模拟题)
9实验十 测定电源的电动势和内阻 随堂检测巩固落实_04高考物理_新高考复习资料_2022年新高考复习资料_高考物理2022年一轮复习各版本_赠配套习题(含部分19届真题与模拟题)

文档信息

文档格式
doc
文档大小
0.445 MB
文档页数
3 页
上传时间
2026-04-18 04:34:20

文档内容

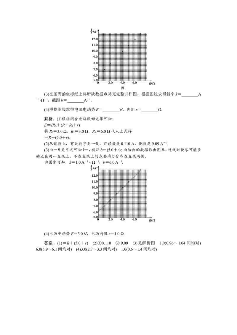
1.(2016·高考北京卷)某兴趣小组探究用不同方法测定干电池的电动势和内阻,他们提 出的实验方案中有如下四种器材组合.为使实验结果尽可能准确,最不可取的一组器材是( ) A.一个安培表、一个伏特表和一个滑动变阻器 B.一个伏特表和多个定值电阻 C.一个安培表和一个电阻箱 D.两个安培表和一个滑动变阻器 解析:选D.A选项属于伏安法测定干电池的电动势和内阻的实验器材,A项正确;由U =E-r,B项正确;由E=I(R+r),C项正确;因不能读出滑动变阻器的阻值,D项错误. 2.用电流表和电压表测定由三节干电池串联组成的电池组(电动势约4.5 V ,内电阻约1 Ω)的电动势和内电阻,除待测电池组、开关、导线外,还有下列器材供选用: A.电流表:量程0.6 A,内电阻约1 Ω B.电流表:量程3 A,内电阻约0.2 Ω C.电压表:量程3 V ,内电阻约30 kΩ D.电压表:量程6 V ,内电阻约60 kΩ E.滑动变阻器:0~1 000 Ω,额定电流0.5 A F.滑动变阻器:0~20 Ω,额定电流2 A (1)为了使测量结果尽量准确,电流表应选用________,电压表应选用________,滑动变 阻器应选用________(均填仪器的字母代号). (2)下图为正确选择仪器后,连好的部分电路.为了使测量误差尽可能小,还需在电路中 用导线将________和________相连、________和________相连、________和________相连(均 填仪器上接线柱的字母代号). (3)实验时发现电流表坏了,于是不再使用电流表,剩余仪器中仅用电阻箱替换掉滑动变 阻器,重新连接电路,仍能完成实验.实验中读出几组电阻箱的阻值R和对应电压表的示数 U.用图象法处理采集到的数据,为使在直角坐标系中得到的函数图象是一条直线,则可以 ________为纵坐标,以________为横坐标. 解析:(1)为了使测量更准确,电流表选量程为0.6 A的电流表A,电池组的电动势约4.5 V ,故电压表选D,为了便于调节滑动变阻器应选F. (2)为了使测量误差尽可能小,测量电源电动势和内电阻的原理图如图(a)所示,因此将 a、d相连,c、g相连,f、h相连.(3)用电阻箱和电压表测量电源电动势和内电阻的实验原理图如图(b)所示,根据闭合电 路欧姆定律,得E=U+r 所以=+·, 因此可作出-图象处理数据. 答案:(1)A D F (2)a d c g f h (3) (或U 或 R)(横纵坐标互换亦可) 3.利用如图甲所示电路,可以测量电源的电动势和内阻,所用的实验器材有: 待测电源,电阻箱R(最大阻值为999.9 Ω),电阻R(阻值为3.0 Ω),电阻R(阻值为3.0 0 1 Ω),电流表A(量程为200 mA,内阻为R =6.0 Ω),开关S. A 实验步骤如下: ①将电阻箱阻值调到最大,闭合开关S; ②多次调节电阻箱,记下电流表的示数I和电阻箱相应的阻值R; ③以 为纵坐标,R为横坐标,作 -R图线(用直线拟合); ④求出直线的斜率k和在纵轴上的截距b. 回答下列问题: (1)分别用E和r表示电源的电动势和内阻,则与R的关系式为______________________. (2)实验得到的部分数据如下表所示,其中电阻R=3.0 Ω时电流表的示数如图乙所示, 读出数据,完成下表. 答:①________,②________. R/Ω 1.0 2.0 3.0 4.0 5.0 6.0 7.0 I/A 0.143 0.125 ① 0.100 0.091 0.084 0.077 /A-1 6.99 8.00 ② 10.0 11.0 11.9 13.0(3)在图丙的坐标纸上将所缺数据点补充完整并作图,根据图线求得斜率k=________A -1·Ω-1,截距b=________A-1. (4)根据图线求得电源电动势E=________V ,内阻r=________Ω. 解析:(1)根据闭合电路欧姆定律可知: E=IR +(R+R+r) A 0 将R=3.0 Ω,R=3.0 Ω,R =6.0 Ω代入上式得 0 1 A =R+(5.0+r). (2)从读数上,有效数字要一致,即读数是0.110 A,倒数是9.09 A-1. (3)由-R关系式可知k=,截距b=(5.0+r);由给出的数据作出图象,连线时使尽可能多 的点在同一直线上,不在直线上的点要均匀分布在直线两侧. 由图象可知,k=1.0 A-1·Ω-1,b=6.0 A-1. (4)电源电动势E=3.0 V ,电源内阻r=1.0 Ω. 答案:(1)=R+(5.0+r) (2)①0.110 ②9.09 (3)见解析图 1.0(0.96~1.04间均对) 6.0(5.9~6.1间均对) (4)3.0(2.7~3.3间均对) 1.0(0.6~1.4间均对)