当前位置:首页>文档>第九章平面解析几何(综合检测)一轮复习讲义2024年高考数学高频考点题型归纳与方法总结(新高考通用)参考答案_02高考数学_新高考复习资料_2024年新高考资料_一轮复习资料

第九章平面解析几何(综合检测)一轮复习讲义2024年高考数学高频考点题型归纳与方法总结(新高考通用)参考答案_02高考数学_新高考复习资料_2024年新高考资料_一轮复习资料

  • 2026-04-19 07:58:46 2026-04-19 07:58:46

文档预览

第九章平面解析几何(综合检测)一轮复习讲义2024年高考数学高频考点题型归纳与方法总结(新高考通用)参考答案_02高考数学_新高考复习资料_2024年新高考资料_一轮复习资料
第九章平面解析几何(综合检测)一轮复习讲义2024年高考数学高频考点题型归纳与方法总结(新高考通用)参考答案_02高考数学_新高考复习资料_2024年新高考资料_一轮复习资料
第九章平面解析几何(综合检测)一轮复习讲义2024年高考数学高频考点题型归纳与方法总结(新高考通用)参考答案_02高考数学_新高考复习资料_2024年新高考资料_一轮复习资料
第九章平面解析几何(综合检测)一轮复习讲义2024年高考数学高频考点题型归纳与方法总结(新高考通用)参考答案_02高考数学_新高考复习资料_2024年新高考资料_一轮复习资料
第九章平面解析几何(综合检测)一轮复习讲义2024年高考数学高频考点题型归纳与方法总结(新高考通用)参考答案_02高考数学_新高考复习资料_2024年新高考资料_一轮复习资料
第九章平面解析几何(综合检测)一轮复习讲义2024年高考数学高频考点题型归纳与方法总结(新高考通用)参考答案_02高考数学_新高考复习资料_2024年新高考资料_一轮复习资料
第九章平面解析几何(综合检测)一轮复习讲义2024年高考数学高频考点题型归纳与方法总结(新高考通用)参考答案_02高考数学_新高考复习资料_2024年新高考资料_一轮复习资料
第九章平面解析几何(综合检测)一轮复习讲义2024年高考数学高频考点题型归纳与方法总结(新高考通用)参考答案_02高考数学_新高考复习资料_2024年新高考资料_一轮复习资料
第九章平面解析几何(综合检测)一轮复习讲义2024年高考数学高频考点题型归纳与方法总结(新高考通用)参考答案_02高考数学_新高考复习资料_2024年新高考资料_一轮复习资料
第九章平面解析几何(综合检测)一轮复习讲义2024年高考数学高频考点题型归纳与方法总结(新高考通用)参考答案_02高考数学_新高考复习资料_2024年新高考资料_一轮复习资料
第九章平面解析几何(综合检测)一轮复习讲义2024年高考数学高频考点题型归纳与方法总结(新高考通用)参考答案_02高考数学_新高考复习资料_2024年新高考资料_一轮复习资料
第九章平面解析几何(综合检测)一轮复习讲义2024年高考数学高频考点题型归纳与方法总结(新高考通用)参考答案_02高考数学_新高考复习资料_2024年新高考资料_一轮复习资料

文档信息

文档格式
docx
文档大小
0.546 MB
文档页数
8 页
上传时间
2026-04-19 07:58:46

文档内容

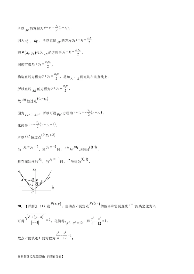
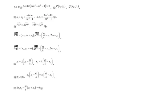
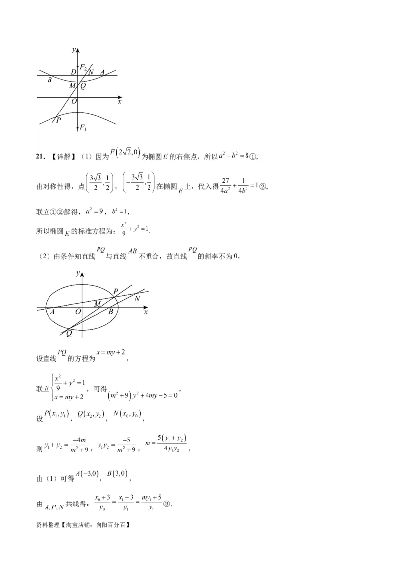
第九章 平面解析几何章末检测 参考答案 1.B 2.C 3.A 4.C 5.B 6.D 7.C 8.A 9.BD 10.BCD 11.BCD 12.BCD 13. 14.4 15. 16.①③④ 17.【详解】(1)设圆 的方程为 ,其中 , 因为圆 过三点 , 所以 ,解得 , 圆 的方程为 . (2)由(1)知圆 是以 为圆心,以 为半径的圆, 设直线方程为 ,即 , 因为直线与圆相切,所以圆心到直线的距离为 , 解得 或 ,所以切线方程为 或 . 18.【详解】解:(1)依题意, , , . 所以椭圆 的标准方程为 . (2) 为定值 . 资料整理【淘宝店铺:向阳百分百】①因为直线 分别与直线 和直线 相交, 所以,直线 一定存在斜率. ②设直线 : , 由 得 , 由 , 得 . ① 把 代入 ,得 , 把 代入 ,得 , 又因为 , 所以 , ,② 由①式,得 , ③ 把③式代入②式,得 , ,即 为定值 . 19.【详解】(1)依题意,圆心的轨迹 是以 为焦点, : 为准线的抛物线. 所以抛物线焦点到准线的距离等于2,故动圆圆心的轨迹 为 . (2)假设存在实数 ,使点 在直线 上移动时,垂足 恒为定点, 设 , , ,直线 的方程为 , 将抛物线方程变形为 ,则 ,所以 , 资料整理【淘宝店铺:向阳百分百】所以 的方程为 , 因为 ,所以直线 的方程为 , 把 代入 的方程得 . 同理可得 . 构造直线方程为 ,易知 , 两点均在该直线上, 所以直线 的方程为 , 故 恒过点 . 因为 ,所以可设 方程为 , 化简得 , 所以 恒过点 当 ,即 时, 与 均恒过 , 故存在这样的 ,当 时, 坐标为 . 20.【详解】(1)设 ,由动点P到定点 的距离和它到直线 距离之比为2, 可得 ,化简得 ,即 , 故点P的轨迹C的方程为 ; 资料整理【淘宝店铺:向阳百分百】(2)设l的方程为 ,则 ,故 , 由已知直线PQ斜率存在,设直线PQ的方程为 ,故 . 与双曲线方程联立得: , 由 对应渐近线方程为: ,易判断 , 得 ,设 , , 则 , ①, 由 , 得: , , 即 , , 消去 得: , 即 ② 由①②得: ,化简得 ,由已知 , 故存在定直线l: 满足条件. 资料整理【淘宝店铺:向阳百分百】21.【详解】(1)因为 为椭圆 的右焦点,所以 ①, 由对称性得,点 , 在椭圆 上,代入得 ②, 联立①②解得, , , 所以椭圆 的标准方程为: . (2)由条件知直线 与直线 不重合,故直线 的斜率不为0, 设直线 的方程为 , 联立 ,可得 , 设 , , , 则 , , , 由(1)可得 , , 由 共线得: ③, 资料整理【淘宝店铺:向阳百分百】由 共线得: ④, 由③÷④消去 并整理得, , 即 ,所以 , 综上所述,直线 与直线 的交点 在定直线 上运动. 【点睛】定值问题常见方法:(1)从特殊入手,求出定值,再证明这个值与变量无关; (2)直接推理计算,并在计算推理的过程中消去变量,从而得到定值. 22.【详解】(1)解:由抛物线 的准线方程为 ,交点坐标为 , 点 在G的焦点F的右侧,且M到G的准线的距离是M与F距离的3倍, 所以 ,解得 , 所以抛物线的方程为 ,焦点坐标为 . (2)解:准线 . 理由如下:设 ,直线 的方程为 , 联立方程组 ,整理得 , 所以 ,则 , 由题意得 , 直线 的方程为 ,令 ,可得 ,则 , 因为 ,所以 ,直线 的方程为 , 资料整理【淘宝店铺:向阳百分百】令 ,可得 ,所以 , ①当 时,直线 的斜率不存在, ,可得直线 的斜率不存在,所以 ; ②当 时, ,则 , 综上可得, 与 的位置关系为 . 资料整理【淘宝店铺:向阳百分百】资料整理【淘宝店铺:向阳百分百】