当前位置:首页>文档>计算题04(1基本与规范+1模型综合+1数理思想解析版)_04高考物理_2025年新高考资料_二轮复习_2025年高考物理二轮热点题型归纳与变式演练(新高考通用)339880232

计算题04(1基本与规范+1模型综合+1数理思想解析版)_04高考物理_2025年新高考资料_二轮复习_2025年高考物理二轮热点题型归纳与变式演练(新高考通用)339880232

  • 2026-04-21 04:25:34 2026-04-21 04:25:34

文档预览

计算题04(1基本与规范+1模型综合+1数理思想解析版)_04高考物理_2025年新高考资料_二轮复习_2025年高考物理二轮热点题型归纳与变式演练(新高考通用)339880232
计算题04(1基本与规范+1模型综合+1数理思想解析版)_04高考物理_2025年新高考资料_二轮复习_2025年高考物理二轮热点题型归纳与变式演练(新高考通用)339880232
计算题04(1基本与规范+1模型综合+1数理思想解析版)_04高考物理_2025年新高考资料_二轮复习_2025年高考物理二轮热点题型归纳与变式演练(新高考通用)339880232
计算题04(1基本与规范+1模型综合+1数理思想解析版)_04高考物理_2025年新高考资料_二轮复习_2025年高考物理二轮热点题型归纳与变式演练(新高考通用)339880232
计算题04(1基本与规范+1模型综合+1数理思想解析版)_04高考物理_2025年新高考资料_二轮复习_2025年高考物理二轮热点题型归纳与变式演练(新高考通用)339880232
计算题04(1基本与规范+1模型综合+1数理思想解析版)_04高考物理_2025年新高考资料_二轮复习_2025年高考物理二轮热点题型归纳与变式演练(新高考通用)339880232
计算题04(1基本与规范+1模型综合+1数理思想解析版)_04高考物理_2025年新高考资料_二轮复习_2025年高考物理二轮热点题型归纳与变式演练(新高考通用)339880232
计算题04(1基本与规范+1模型综合+1数理思想解析版)_04高考物理_2025年新高考资料_二轮复习_2025年高考物理二轮热点题型归纳与变式演练(新高考通用)339880232
计算题04(1基本与规范+1模型综合+1数理思想解析版)_04高考物理_2025年新高考资料_二轮复习_2025年高考物理二轮热点题型归纳与变式演练(新高考通用)339880232

文档信息

文档格式
docx
文档大小
0.243 MB
文档页数
5 页
上传时间
2026-04-21 04:25:34

文档内容

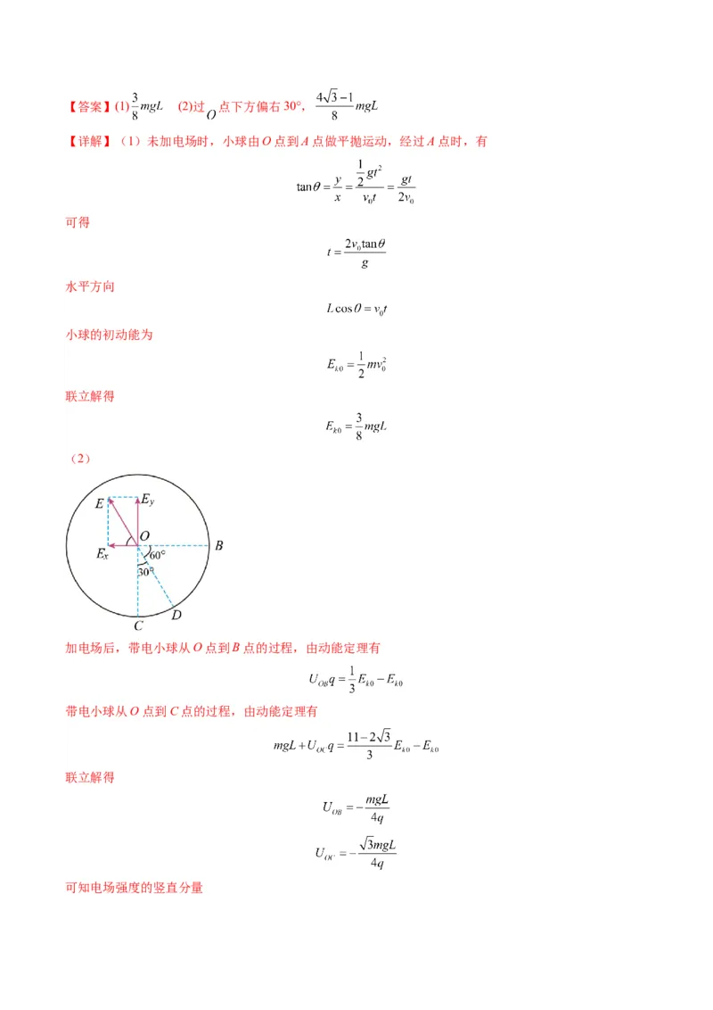
计算题必刷·1规范+1模型+1思想 计算题 04 1.(10分)质量为2 kg的物块在水平力F的作用下由静止开始在光滑水平地面上做直线运动,规定水平 向右为正方向,力F与时间t的关系图像如图所示。求: (1)3 s时物块的位移大小; (2)0 ~ 4 s时间内F对物块所做的功。 【答案】(1)3 m (2)4 J 【详解】(1)由图可知,0 ~ 2 s时间内,物块受到向右的力F = 2 N,向右加速,根据牛顿第二定律有 1 2 s末物体受到向左的力F = 4 N,根据牛顿第二定律有 2 2 s时物块的速度大小为 0 ~ 2 s物块运动的位移大小 2 s后物块以加速度a 开始减速,减速到0所用的时间为 2 解得 即3 s时物块速度恰好减为零,2 ~ 3 s物块运动的位移大小 3 s时物块的位移大小为 (2)4 s时物块的速度 由动能定理,0 ~ 4 s时间内F对物块所做的功2.(13分)如图所示,质量均为2m的A、B两物体通过劲度系数为k的轻质弹簧拴接在一起、竖直静置 在水平地面上。在距A的正上方 高处有一质量为m的物体C,现将物体C由静止释放,C与A 发生碰撞后立刻粘在一起,碰撞时间极短。弹簧始终在弹性限度内,忽略空气阻力,已知量为m,k,重力 加速度为g。求: (1)C、A系统因碰撞损失的机械能 ; (2)若让另一个物块D从A正上方距A相同高度h处由静止开始自由下落,与A发生弹性碰撞后迅速将 D取走,之后的运动过程中物体B恰好不脱离地面,求物块D的质量 大小。 【答案】(1) ;(2) 【详解】(1)设物体C自由落下h时速度为v 解得 设物体C与A碰撞并粘合在一起竖直向下运动速度大小为v,由动量守恒定律得 1 联立解得 C、A系统因碰撞损失的机械能为 联立解得 (2)物体D自由落下h时速度仍为v,设物体D与A发生弹性碰撞后速度分别为v、v,有 2 3联立解得 初态A静止时,设轻弹簧压缩x,有 1 B恰好能脱离水平面时,C、A向上运动速度为零,设轻弹簧伸长x,由物体B平衡得 2 解得 由能量守恒定律得 解得 联立解得 3.(15分)如图所示在竖直平面内有一圆形,半径为 , 为圆心, 为水平线, 为竖直线。将一质 量为 的小球以一定的初动能自 点水平向右抛出,小球会经过圆弧上的 点, 与 的夹角为 。之后使小球带电,电荷量 ,同时加一个方向平行于竖直平面的匀强电场,若从 点以同 样的初动能沿各个方向抛出此带电小球,小球则会从圆形边界的不同位置射出,其中经过 点的动能为初 动能的 ,经过 点的动能为初动能的 倍,重力加速度为 ,求: (1)小球的初动能。 (2)带电小球经过圆弧上的哪个位置时机械能损失最大,此位置处带电小球动能是多少?(结果可带根号)【答案】(1) (2)过 点下方偏右30°, 【详解】(1)未加电场时,小球由O点到A点做平抛运动,经过A点时,有 可得 水平方向 小球的初动能为 联立解得 (2) 加电场后,带电小球从O点到B点的过程,由动能定理有 带电小球从O点到C点的过程,由动能定理有 联立解得 可知电场强度的竖直分量方向竖直向上;水平分量 方向向左,则合场强 方向与水平方向成60°角指向左上方;当小球机械能损失最大时,克服电场力做功最多,即粒子到达D点 时机械能损失最大(过 点下方OC偏右30°),从O点到D点根据动能定理 解得