当前位置:首页>文档>阶段性检测2.3(难)(范围:集合至复数)(考试版)_02高考数学_新高考复习资料_2024年新高考资料_一轮复习资料_完2024年高考数学一轮复习考点通关卷(新高考)_阶段性检测

阶段性检测2.3(难)(范围:集合至复数)(考试版)_02高考数学_新高考复习资料_2024年新高考资料_一轮复习资料_完2024年高考数学一轮复习考点通关卷(新高考)_阶段性检测

  • 2026-04-21 14:21:10 2026-04-21 14:21:10

文档预览

阶段性检测2.3(难)(范围:集合至复数)(考试版)_02高考数学_新高考复习资料_2024年新高考资料_一轮复习资料_完2024年高考数学一轮复习考点通关卷(新高考)_阶段性检测
阶段性检测2.3(难)(范围:集合至复数)(考试版)_02高考数学_新高考复习资料_2024年新高考资料_一轮复习资料_完2024年高考数学一轮复习考点通关卷(新高考)_阶段性检测
阶段性检测2.3(难)(范围:集合至复数)(考试版)_02高考数学_新高考复习资料_2024年新高考资料_一轮复习资料_完2024年高考数学一轮复习考点通关卷(新高考)_阶段性检测
阶段性检测2.3(难)(范围:集合至复数)(考试版)_02高考数学_新高考复习资料_2024年新高考资料_一轮复习资料_完2024年高考数学一轮复习考点通关卷(新高考)_阶段性检测
阶段性检测2.3(难)(范围:集合至复数)(考试版)_02高考数学_新高考复习资料_2024年新高考资料_一轮复习资料_完2024年高考数学一轮复习考点通关卷(新高考)_阶段性检测
阶段性检测2.3(难)(范围:集合至复数)(考试版)_02高考数学_新高考复习资料_2024年新高考资料_一轮复习资料_完2024年高考数学一轮复习考点通关卷(新高考)_阶段性检测
阶段性检测2.3(难)(范围:集合至复数)(考试版)_02高考数学_新高考复习资料_2024年新高考资料_一轮复习资料_完2024年高考数学一轮复习考点通关卷(新高考)_阶段性检测
阶段性检测2.3(难)(范围:集合至复数)(考试版)_02高考数学_新高考复习资料_2024年新高考资料_一轮复习资料_完2024年高考数学一轮复习考点通关卷(新高考)_阶段性检测
阶段性检测2.3(难)(范围:集合至复数)(考试版)_02高考数学_新高考复习资料_2024年新高考资料_一轮复习资料_完2024年高考数学一轮复习考点通关卷(新高考)_阶段性检测
阶段性检测2.3(难)(范围:集合至复数)(考试版)_02高考数学_新高考复习资料_2024年新高考资料_一轮复习资料_完2024年高考数学一轮复习考点通关卷(新高考)_阶段性检测

文档信息

文档格式
docx
文档大小
0.428 MB
文档页数
6 页
上传时间
2026-04-21 14:21:10

文档内容

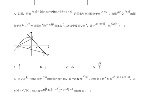
阶段性检测 2.3(难) (考试时间:120分钟 试卷满分:150分) 一、选择题:本题共8小题,每小题5分,共40分。在每小题给出的四个选项中,只有一项是符合题目要 求的。 1.已知 , ,若 ,则实数m的取值范围( ) A. B. C. D. 2.已知a,b均为实数,复数: ,其中i为虚数单位,若 ,则a的取值范围为 ( ) A. B. C. D. 3.在 中,点 , 分别是 , 边上的中点,线段 , 交于点D,则 的值为 ( ) A. B. C. D. 4.设 , , ,则( ) A. B. C. D. 5.已知函数 ( 且 ),若 ,则不等式 的解集为( ) A. B. C. D. 6.函数 的图象可能是( )A. B. C. D. 7.如图,函数 的图象与坐标轴交于点 ,直线 交 的图 象于点 , 坐标原点 为 的重心 三条边中线的交点 ,其中 ,则 ( ) A. B. C. D. 8.定义在 上的奇函数 的图象连续不断,其导函数为 ,对任意正数 恒有 ,若 ,则不等式 的解集为( ) A. B. C. D. 二、选择题:本题共4小题,每小题5分,共20分。在每小题给出的选项中,有多项符合题目要求。全部 选对的得5分,部分选对的得2分,有选错的得0分。 9. ,若将 图象向左平移 个单位长度后在 上有且只有两个零点, 则 的取值可以是( )A. B. C. D. 10.设 ,则( ) A. B. C. D. 11.设复数 ( )(i为虚数单位),则下列说法正确的是( ) A.“ ”的充要条件是“ ” B.若 ,则 的最大值为3 C.若 , ,则 D.方程 在复数集中有6个解 12.已知点O在 所在的平面内,则下列命题正确的是( ) A.若 且 ,则 B.若 且 ,则 C.若 ,其中 ,则动点O的轨迹经过 的重心 D.若 ,其中 ,则动点O的轨迹经过 的垂心 三、填空题:本题共4小题,每小题5分,共20分。 13.设集合X是实数集R的子集,如果点 满足:对任意 ,都存在 ,使得 , 称 为集合X的“聚点”.用Z表示整数集,则下列集合: ① ;② ; ③ ; ④整数集Z, 其中以0为“聚点”的集合有_____. 14.已知函数 过点 作曲线 的切线,则切线的条数为 _____. 15.在平面直角坐标系中, 、 、 ,当 时.写出 的一个值为_____. 16.已知 的内角 对应的边分别是 ,内角 的角平分线交边 于 点,且 .若 ,则 面积的最小值是_____. 四、解答题:本题共6小题,共70分。解答应写出文字说明、证明过程或演算步棸。 17.已知z,ω为复数,(1+3i)z为纯虚数, ,且|ω|= ,求ω. 18.已知两个不共线的向量 , ,它们的夹角为 ,且 , , 为实数. (1)若 与 垂直,求 ;(2)若 ,求 的最小值及对应的 的值. 19.已知函数 的图象如图所示. (1)求 的解析式; (2)若函数 ,当 时,求 的值域. 20.已知函数 是偶函数. (1)求实数 的值;(2)设函数 ,若函数 只有一个零点,求实数 的取值范围. 21.记钝角 的内角 的对边分别为 ,已知 . (1)若 ,求 ; (2)求 的最小值. 22.已知函数 . (1)当 时,讨论 的单调性; (2)当 时, 恒成立,求实数 的取值范围.