当前位置:首页>文档>1998年数学三解析_数学三真题+解析[87-25]_数学三解析

1998年数学三解析_数学三真题+解析[87-25]_数学三解析

  • 2026-03-18 02:37:35 2026-02-04 17:48:39

文档预览

1998年数学三解析_数学三真题+解析[87-25]_数学三解析
1998年数学三解析_数学三真题+解析[87-25]_数学三解析
1998年数学三解析_数学三真题+解析[87-25]_数学三解析
1998年数学三解析_数学三真题+解析[87-25]_数学三解析
1998年数学三解析_数学三真题+解析[87-25]_数学三解析
1998年数学三解析_数学三真题+解析[87-25]_数学三解析
1998年数学三解析_数学三真题+解析[87-25]_数学三解析
1998年数学三解析_数学三真题+解析[87-25]_数学三解析
1998年数学三解析_数学三真题+解析[87-25]_数学三解析
1998年数学三解析_数学三真题+解析[87-25]_数学三解析
1998年数学三解析_数学三真题+解析[87-25]_数学三解析
1998年数学三解析_数学三真题+解析[87-25]_数学三解析
1998年数学三解析_数学三真题+解析[87-25]_数学三解析
1998年数学三解析_数学三真题+解析[87-25]_数学三解析
1998年数学三解析_数学三真题+解析[87-25]_数学三解析
1998年数学三解析_数学三真题+解析[87-25]_数学三解析
1998年数学三解析_数学三真题+解析[87-25]_数学三解析
1998年数学三解析_数学三真题+解析[87-25]_数学三解析

文档信息

文档格式
pdf
文档大小
0.317 MB
文档页数
14 页
上传时间
2026-02-04 17:48:39

文档内容

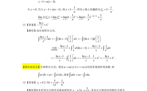
1998 年全国硕士研究生入学统一考试数学三试题解析 一、填空题(本题共5小题,每小题3分,满分15分.把答案填在题中横线上.) 1 (1)【答案】 e 【解析】曲线 y  xn在点(1,1)处的切线斜率 y   xn  nxn1 n,根据点斜 x1 x1 x1 式,切线方程为: y1n(x1). 1 1 令 y 0,代入 y1n(x1),则x1 ,即在x轴上的截距为 1 , n n n 1 1 1 lim f() limn lim(1 )n lim(1 ) x1  . n n n n n n x x e lnx (2)【答案】 C x 【解析】由分部积分公式,  lnx1 1 1  dx  lnx1    dx  lnx1  d  x2  x  x lnx1 1 lnx1 1 分部   d(lnx1)   dx x x x x2  lnx1 1 lnx1 1 lnx     dx   C  C . x x x x x 【相关知识点】分部积分公式:假定u u(x)与vv(x)均具有连续的导函数,则 uvdx uvuvdx,或者udv uvvdu. 5 1 (3)【答案】 y C(5)t  (t ) t 12 6 5 【解析】首先把差分方程改写成标准形式 y 5y  t ,其齐次方程对应的特征方程及 t1 t 2 特征根分别为 r50,r 5, 故齐次方程的通解为Y C(5)t,C为常数. t 5 5 将方程右边的 t改写成 t1t,此处“1”不是特征根,故令非齐次方程的一个特解为 2 2 y  AtB, t 1从而 y   A(t1)B,代入原方程,得 t1 5 A(t1)B5(AtB) t, 2 5 6A ,A6B 0, 2 5 5 故 A ,B  . 12 72 5 1 于是通解为 y Y  y C(5)t (t ). t t t 12 6 2 0 0 (4)【答案】  0 4 0    0 0 2  【解析】由题设 A*BA2BA8E , 由于 A 20,所以A可逆.上式两边左乘A,右乘A1,得 AA*BAA1 2ABAA18AA1 A B 2AB8E (利用公式:AA*  A E,AA1 E ) A B2AB 8E (移项)   A E2A B 8E (矩阵乘法的运算法则) 1 将 A 2代入上式,整理得  E A  B  E. 4 由矩阵可逆的定义,知E A ,B均可逆,且 1  2 0 0 1  2 0 0  2 0 0 B1 4  EA 1 4   0 1 0   4  0 1 0     0 4 0   .  0 0 2   1   0 0 2  0 0   2 1 1 (5)【答案】 , ,2 20 100 【解析】由于X ,X ,X ,X 相互独立,均服从N(0,22),所以由数学期望和方差的性质, 1 2 3 4 得 E(X 2X )0,D(X 2X )122222220 , 1 2 1 2 所以(X 2X ) N(0,20) ,同理(3X 4X ) N(0,100) . 1 2 3 4 2又因为(X 2X )与(3X 4X )相互独立,且 1 2 3 4 1 1 (X 2X ) N(0,1); (3X 4X ) N(0,1), 1 2 3 4 20 100 1 1 由2分布的定义,当a  ,b 时, 20 100 1 1 X  (X 2X )2 (3X 4X )2 2(2) . 20 1 2 100 3 4 1 1 即当a  ,b 时,X 服从2分布,其自由度为2. 20 100 1 1 严格地说,当a 0,b 时,X 2(1);当a  ,b0时,X 2(1)也是正确的. 100 20 【相关知识点】1、对于随机变量X 与Y 均服从正态分布,则X 与Y 的线性组合亦服从正态 分布. 若X 与Y 相互独立,由数学期望和方差的性质,有 E(aX bY c)aE(X)bE(Y)c , D(aX bY c)a2D(X)b2D(Y) , 其中a,b,c为常数. X  2、定理:若X N(,2),则 N(0,1).  3、2分布的定义:若Z ,,Z 相互独立,且都服从标准正态分布N(0,1),则 1 n n Z2 ~2(n). i i1 二、选择题(本题共5小题,每小题3分,共15分.每小题给出的四个选项中,只有一项符合 题目要求,把所选项前的字母填在题后的括号内.) (1)【答案】(D) f(xx) f(x) 【解析】根据导数定义: f x  lim x0 x f(1) f(1x) 1 f(1x) f(1) 1 lim  lim  f(1) 1 x0 2x 2 x0 x 2 f(1x) f(1) 所以 f(1)lim 2. x0 x 因为 f(x)周期为4, f(x)的周期亦是4,即 f(x) f(x4), 所以 f(5)  f(14)  f(1)2. 所以曲线 y  f (x)在点 5, f(5) 处的切线的斜率为 f(5)  f(1)2.选(D). 3(2)【答案】(B) 【分析】讨论由极限表示的函数的性质,应分两步走.先求出该 f(x)的(分段)表达式,然 后再讨论 f(x)的性质.不能隔着极限号去讨论. 【解析】现求 f(x)的(分段)表达式: 当 x 1时, 1x x2n x12n lim  x2n x12n  0 f(x)lim lim  n  0; n1x2n n x2n 1 lim  x2n 1  1 n 当x1时, 1x 11 2 f(x)lim lim  1; n1x2n n112n 2 当x1时, 1x 11 0 f(x)lim lim  0; n1x2n n11 2n 2 当 x 1时, 1x lim  1x  1x f(x)lim  n x2n 0 1x. n1x2n lim  1x2n  1 n 0, 当x1,  0, 当x1, 0,当x1或x1,    由此, f(x)1x, 当 x 1, 即 f(x)1x,当x 1,   1, 当x1, 1,当x1.  0, 当x1. 再讨论函数 f(x)的性质:在x1处, lim f  x   lim  1 x  110, lim f  x  f 1 0, x1 x1 x1 所以, lim f  x  lim f  x 0 ,函数 f(x)在x1处连续,不是间断点. x1 x1 在x1处,lim f  x   lim0 0;lim f  x   lim  1 x  2; x1 x1 x1 x1 所以lim f  x   lim f  x ,函数 f(x)在x1处不连续,是第一类间断点.故选(B). x1 x1 (3)【答案】(C) 【解析】方法1:由AB 0知r(A)r(B)3,又A0,B 0,于是1r(A)3, 1r(B)3,故 A 0, B 0,即 4 1 2 0 1 0 1 0 A  1  1  0 1 1 (1)20 , 1 1 1 1  1 1  得1.应选(C). 方法 2:由 AB 0知r(A)r(B)3,又 A0,B 0,于是1r(A)3, 1r(B)3,故 B 0. 1 1 1   显然,1时A 1 1 1 ,有1r(A)3,故应选(C).    1 1 1  作为选择题,只需在2与1中选择一个,因而可以用特殊值代入法. 评注:对于条件AB 0应当有两个思路:一是B的列向量是齐次方程组Ax0的解;二是 秩的信息,即r(A)r(B)n,要有这两种思考问题的意识. (4)【答案】(B) 【解析】 1 a a  a  1 a a  a      a 1 a  a a1 1a 0  0     Aa a 1  a(1)a1 0 1a  0                    a a a  1    a1 0 0  1a   1(n1)a a a  a    0 1a 0  0   (2) 0 0 1a  0             0 0 0  1a   其中(1)变换:将1行乘以(-1)再分别加到其余各行;(2)变换:将其余各列分别加到第1 列. 1 由阶梯形矩阵知,当1(n1)a0,即a  时,有r(A)n1,故应选(B). 1n (5)【答案】(A) 【解析】根据分布函数的性质 lim F(x) 1,即 x 1 lim F(x) F() aF()bF () ab . 1 2 x 在所给的四个选项中只有(A)满足ab1,故应选(A). 【相关知识点】分布函数F  x 的性质: 5(1) F  x 单调不减; (2) lim F(x) F() 0, lim F(x) F() 1; x x (3) F  x 是右连续的. 三、(本题满分5分) y y arctan arctan 【解析】 dze xd(x2 y2)(x2 y2)d(e x) arctan y  y  e x 2xdx2ydy(x2 y2)d(arctan )    x    arctan y  1 y  e x 2xdx2ydy(x2 y2) d( ) y x  1( )2   x  arctan y  xdyydx e x 2xdx2ydyx2    x2  y e arctan x (2x y)dx(2yx)dy  z z arctan y 由全微分与偏微分的关系可知,其中dx的系数就是 ,即 (2x y)e x .再对y求偏 x x 导数,得   2z arctan y arctan y  1  1 y2 xyx2 arctan y e x (2x y)e x    e x. xy  y2 x x2 y2 1   x2  四、(本题满分5分) 1  【解析】D{(x,y) x2 y2 x}表示圆心为 ,0,半径为 y 2  1 的圆及其内部,画出区域D,如右图. 2   O x 方法1: D  (x,y)|0 x1, xx2  y  xx2 1 xx2 1 1 所以,  xdxdy xdx dy 2 x xx2dx 2 x 1xdx , 0  xx2 0 0 D 令 1x t ,则x1t2,dx2tdt ,t:10所以 1 0 1 t3 t5  8 上式2 (1t2)t(2t)dt4 t2(1t2)dt4    . 1 0  3 5  15 0 6方法2:引入极坐标系xrcos,yrsin,于是     D(r,)|  ,0rcos ,  2 2    3 cos cos  xdxdy2 d rcosrdr 2 cosd r2dr    0  0 D 2 2 4  8  2cos3d . 5 0 15 其中倒数第二步用了华里士公式:  n1 n3 4 2 2cosnd    1,其中n为大于1的正奇数. 0 n n2 5 3 五、(本题满分6分) 【分析】根据连续复利公式,在年利率为r 的情况下,现时的 A(元)在t 时的总收入为 2 R(t) Aert ,反之,t时总收入为R(t)的现值为A(t)R(t)ert,将RR e5 t 代入即得到总收 0 入的现值与窖藏时间t之间的关系式,从而可用微分法求其最大值. 【解析】由连续复利公式知,这批酒在窖藏t年末售出总收入R的现值为A(t)Rert,而由题 2 t 设,t年末的总收入RR e5 ,据此可列出A(t): 0 2 A(t)Rert R e5 trt , 0 dA d  2 trt  2 trt 1  令  R e5  R e5  r 0, dt dt 0  0 5 t  1 得惟一驻点 t t  . 0 25r2 d2A d dA d  2 trt 1      R e5  r dt2 dt dt  dt 0 5 t  d  2 trt   1  2 trt d  1   R e5   r R e5  r dt 0  5 t  0 dt5 t  2 trt 1  2 2 trt  1  R e5  r R e5   0 0 5 t   10 t3  2 trt   1  2 1  R e5  r   0  5 t  10 t3 d2A 1 R e25r(12.5r3)0. dt2 0 tt0 7根据极值的第二充分条件,知:t t 是A(t)的极大值点,又因驻点惟一,所以也是最大值 0 1 点.故窖藏t  年出售,总收入的现值最大. 25r2 1 100 当r 0.06时, t   11(年). 250.062 9 【相关知识点】极值的第二充分条件:设函数 f(x)在x 处具有二阶导数且 f(x )0, 0 0 f(x )0,当 f(x )0时,函数 f(x)在x 处取得极大值;当 f(x )0时,函数 f(x)在 0 0 0 0 x 处取得极小值. 0 六、(本题满分6分) 【分析】本题要证的结论中出现两个中值点和,这种问题一般应将含有和的项分别 移到等式两边后再用微分中值定理,为此本题只要证 f()(ba)(ebea)f()e. 【解析】方法1: 函数 f(x)在 a,b 上连续,在(a,b)内可导,满足拉格朗日中值定理的条件, 对函数 f(x)在 a,b 上用拉格朗日中值定理,有 f(b) f(a) f ()(ba),ab. 又函数 f(x)与ex满足柯西中值定理的条件,将函数 f(x)与ex在 a,b 上用柯西中值定理, 有 f(b) f(a) f () f()  ,ab,即 f(b) f(a)(ebea) . eb ea e e 从而有 f() f() eb ea f()(ba)(ebea) ,即  e,,(a,b). e f() ba eb ea 方法2:题中没有限制,因此取,即成为要去证存在(a,b)使 e. ba 在 a,b 上对函数ex用拉格朗日中值定理,存在(a,b)使 eb ea eb ea e,即 e1. ba ba f() eb ea 再取,则 1 e,原题得证. f() ba 8【相关知识点】1.拉格朗日中值定理: 如果函数 f(x)满足在闭区间[a,b]上连续,在开区间 a,b 内可导,那么在 a,b 内至 少有一点(ab),使等式 f(b) f(a) f ()(ba)成立. 2. 柯西中值定理:如果函数 f(x)及F(x)满足 (1) 在闭区间[a,b]上连续; (2) 在开区间(a,b)内可导; (3) 对任一x(a,b),F(x)0, f(b) f(a) f () 那么在(a,b)内至少有一点,使等式  成立. F(b)F(a) F() 七、(本题满分6分) 1 1 1 【解析】(1)由 y nx2  与 y (n1)x2 得a  . n n1 n n(n1) 因图形关于 y轴对称,所以,所求图形的面积为 a  1 1  S 2 n nx2 (n1)x2 dx n 0   n n1   a  1  2a a3 4 1 2 n  x2 dx n 2 n   . 0  n(n1) n(n1) 3 3 n(n1) n(n1) (2)由(1)的结果知 S 4 1 4 1 1 n   (  ), a 3 n(n1) 3 n n1 n 根据级数和的定义,  S n S 4 n 1 1  4  1  4  n lim k  lim     lim  1   . a n a 3n k k 1 3n n 1 3 n1 n k1 k k1 八、(本题满分7分) 【分析】本题是微分方程的几何应用问题.在题目中给出了由曲线 y  f (x)等围成的平面图 形绕x轴旋转一周所形成的旋转体体积V(t)与包含函数 f 的一个恒等式,这正是列方程的 依据. t 【解析】由绕x轴旋转的旋转体体积公式得V(t) f 2(x)dx,于是,依题意得 1 9t  t  f 2(x)dx  t2f(t) f(1) ,即3 f 2(x)dx t2f(t) f(1).   1 3 1 两边对t求导,化成微分方程 3f 2(t) 2tf(t)t2f (t), 其中 f(t)为未知函数.按通常以x表示自变量,y表示未知函数 f(t),于是上述方程可写为 x2y3y2 2xy, dy y y 即 3( )22( ). dx x x dy du 这是一阶齐次微分方程.令y ux,有 ux ,则上式化为 dx dx du ux( )3u22u, dx du 即 x 3u(u1). (*) dx 2 若u 0,则y ux0,不满足初始条件 y  ,舍弃; x2 9 2 若u 1,则 y ux x,也不满足初始条件 y  ,舍弃; x2 9 所以,u 0,且u 1. du 3dx u1 由(*)式分离变量得  ,两边积分得 Cx3.从而方程(*)的通解为 u(u1) x u yxCx3y,C 为任意常数. 2 再代入初值,由 y  ,得C 1,从而所求的解为 x2 9 x yxx3y,或y  ,(x1). 1x3 (t) 【相关知识点】1. 对积分上限的函数的求导公式:若F(t)  f(x)dx,(t),(t)均一 (t) 阶可导,则 F(t)(t) f (t) (t) f (t) . 九、(本题满分9分)  T 【解析】(1)对等式T0两边取转置,有 T T0,即T0. 利用T0及矩阵乘法的运算法则,有  2   A2  T TT  T T 0T  0T 0, 即A2是n阶零矩阵. 10(2)设是A的任一特征值,(0)是A属于特征值的特征向量,即A. 对上式两边左乘 A 得 A2  A(A)() 2,由(1)的结果 A2 0 ,得 2 A20,因0,故0(n重根),即矩阵的全部特征值为零. 下面求A的特征向量:先将A写成矩阵形式 a  ab ab  ab  1 1 1 1 2 1 n     a a b a b  a b AT   2 b ,b ,,b   2 1 2 2 2 n .    1 2 n          a  a b a b  a b  n n 1 n 2 n n 不妨设a 0,b 0,则有 1 1 ab ab  ab   b b  b  1 1 1 2 1 n 1 2 n     a b a b  a b a b a b  a b (0EA)  2 1 2 2 2 n 1行(a )  2 1 2 2 2 n      1           a b a b  a b   a b a b  a b  n 1 n 2 n n n 1 n 2 n n b b  b  1 2 n   0 0  0 1行a加到i行(i2,,n)   i      0 0  0 于是得方程组(0EA)x0同解方程组bx b x b x  0,这样基础解系所含向量 1 1 2 2 n n 个数为nr(0EA)n1. 选x ,,x 为自由未知量,将它们的组值(b,0,,0),(0,b,,0),(0,0,,b) 代入, 2 n 1 1 1 可解得基础解系为  (b ,b,0,,0), (b ,0,b,,0),, (b ,0,0,,b) 1 2 1 2 3 1 n1 n 1 则A的属于0的全部特征向量为kk k  ,其中k ,k ,,k 为不全为 1 1 2 2 n1 n1 1 2 n1 零的任意常数. 十、(本题满分7分) 【分析】由于B是实对称矩阵,B必可相似对角化,而对角矩阵即B的特征值,只要求出 B的特征值即知,又因正定的充分必要条件是特征值全大于零,k的取值亦可求出. 【解析】方法1:由 111 0 1 1 1 EA  0 2 0 (2) (2)2, 1 1 1 0 1 可得A的特征值是   2, 0. 1 2 3 那么,kE A的特征值是k2,k2,k ,而B (kE A)2的特征值是(k2)2,(k2)2,k2. 又由题设知A是实对称矩阵,则AT  A,故 T 2 BT  (kE A)2  (kE A)T (kE A)2  B ,     即B也是实对称矩阵,故B必可相似对角化,且 (k2)2 0 0    B  0 (k 2)2 0 .    0 0 k2   当k 2且k 0时,B的全部特征值大于零,这时B为正定矩阵. 方法2:由 1 0 1 1 1 EA  0 2 0 (2) (2)2, 1 1 1 0 1 可得A的特征值是   2, 0. 1 2 3 2    因为A是实对称矩阵,故存在可逆矩阵P使P1AP  2 ,即A PP1.     0  那么 B (kE A)2 (kPP1PP1)2  P(kE)P1 2    P(kE)P1P(kE)P1 P(kE)2P1. (k2)2 0 0    即P1BP (kE)2 .故B 0 (k 2)2 0 .    0 0 k2   当k 2且k 0时,B的全部特征值大于零,这时B为正定矩阵. 【相关知识点】1.特征值的性质:若 A有特征值,则 A的特征多项式 f(A) 有特征值 f(). 2.矩阵正定的充要条件是特征值全大于零. 12十一、(本题满分10分) y 【解析】设Z 表示商店每周所得的利润, 当Y  X 时,卖得利润为Z 1000Y (元); 20 D 当Y  X 时,调剂了Y X ,总共得到利润 2D 1 10 Z 1000X 500(Y X)500(X Y) (元). 1000Y, Y  X, 所以,Z  O 10 20 x 500(X Y), Y  X. 由题设X 与Y 都服从区间[10,20]上的均匀分布,联合概率密度为  1  , 10 x20,10 y20, f(x,y)100  0, 其他. 由二维连续型随机变量的数学期望定义得 E(Z) 1000y f(x,y)dxdy500(x y) f(x,y)dxdy D D 1 2 1 1  1000y dxdy500(x y) dxdy 100 100 D D 1 2 20 20 20 y 10 dy ydx5 dy (x y)dx 10 y 10 10 20 20 3 10 y(20 y)dy5 ( y210y50)dy 10 10 2 20000  5150014166.67(元). 3 十二、(本题满分9分) 【解析】记事件B “第 j次抽到的报名表是女生表”(j 1,2),A “报名表是第i个地 j i 区的”(i 1,2,3).易见,A,A ,A 构成一个完备事件组,且 1 2 3 1 P{A} (i 1,2,3), i 3 3 7 5 P{B A} ,P{B A } ,P{B A} . 1 1 10 1 2 15 1 3 25 (1) 应用全概率公式,知 3 1 3 7 5 29 p  P{B} P{A}P{B A} (   ) . 1 i 1 i 3 10 15 25 90 i1 (2) q  P{B B }.需先计算概率P{B B }与P{B }.对事件B B 再次用全概率公式: 1 2 1 2 2 1 2 133 1 3 7 7 8 5 20 20 P{B B }P{A}P{B B A} (      )  , 1 2 i 1 2 i 3 10 9 15 14 25 24 90 i1 61 由“抽签原理”可知P(B )P(B ) , 2 1 90 P(B B ) 20 90 20 q  P{B B } 1 2    . 1 2 P(B ) 90 61 61 2 【相关知识点】1.全概率公式:如果事件A,,A 构成一个完备事件组,即它们是两两互不 1 n 相容,其和为(总体的样本空间);并且P  A 0,i 1,2,,n ,则对任一事件B有 i n P  B P(A)P(B|A). i i i1 14