当前位置:首页>文档>2012年山东省菏泽市中考数学试卷_中考真题_2.数学中考真题2015-2024年_地区卷_山东省_菏泽数学10-23

2012年山东省菏泽市中考数学试卷_中考真题_2.数学中考真题2015-2024年_地区卷_山东省_菏泽数学10-23

  • 2026-03-13 11:31:17 2026-02-05 18:50:59

文档预览

2012年山东省菏泽市中考数学试卷_中考真题_2.数学中考真题2015-2024年_地区卷_山东省_菏泽数学10-23
2012年山东省菏泽市中考数学试卷_中考真题_2.数学中考真题2015-2024年_地区卷_山东省_菏泽数学10-23
2012年山东省菏泽市中考数学试卷_中考真题_2.数学中考真题2015-2024年_地区卷_山东省_菏泽数学10-23
2012年山东省菏泽市中考数学试卷_中考真题_2.数学中考真题2015-2024年_地区卷_山东省_菏泽数学10-23
2012年山东省菏泽市中考数学试卷_中考真题_2.数学中考真题2015-2024年_地区卷_山东省_菏泽数学10-23
2012年山东省菏泽市中考数学试卷_中考真题_2.数学中考真题2015-2024年_地区卷_山东省_菏泽数学10-23
2012年山东省菏泽市中考数学试卷_中考真题_2.数学中考真题2015-2024年_地区卷_山东省_菏泽数学10-23
2012年山东省菏泽市中考数学试卷_中考真题_2.数学中考真题2015-2024年_地区卷_山东省_菏泽数学10-23
2012年山东省菏泽市中考数学试卷_中考真题_2.数学中考真题2015-2024年_地区卷_山东省_菏泽数学10-23
2012年山东省菏泽市中考数学试卷_中考真题_2.数学中考真题2015-2024年_地区卷_山东省_菏泽数学10-23
2012年山东省菏泽市中考数学试卷_中考真题_2.数学中考真题2015-2024年_地区卷_山东省_菏泽数学10-23
2012年山东省菏泽市中考数学试卷_中考真题_2.数学中考真题2015-2024年_地区卷_山东省_菏泽数学10-23
2012年山东省菏泽市中考数学试卷_中考真题_2.数学中考真题2015-2024年_地区卷_山东省_菏泽数学10-23
2012年山东省菏泽市中考数学试卷_中考真题_2.数学中考真题2015-2024年_地区卷_山东省_菏泽数学10-23
2012年山东省菏泽市中考数学试卷_中考真题_2.数学中考真题2015-2024年_地区卷_山东省_菏泽数学10-23
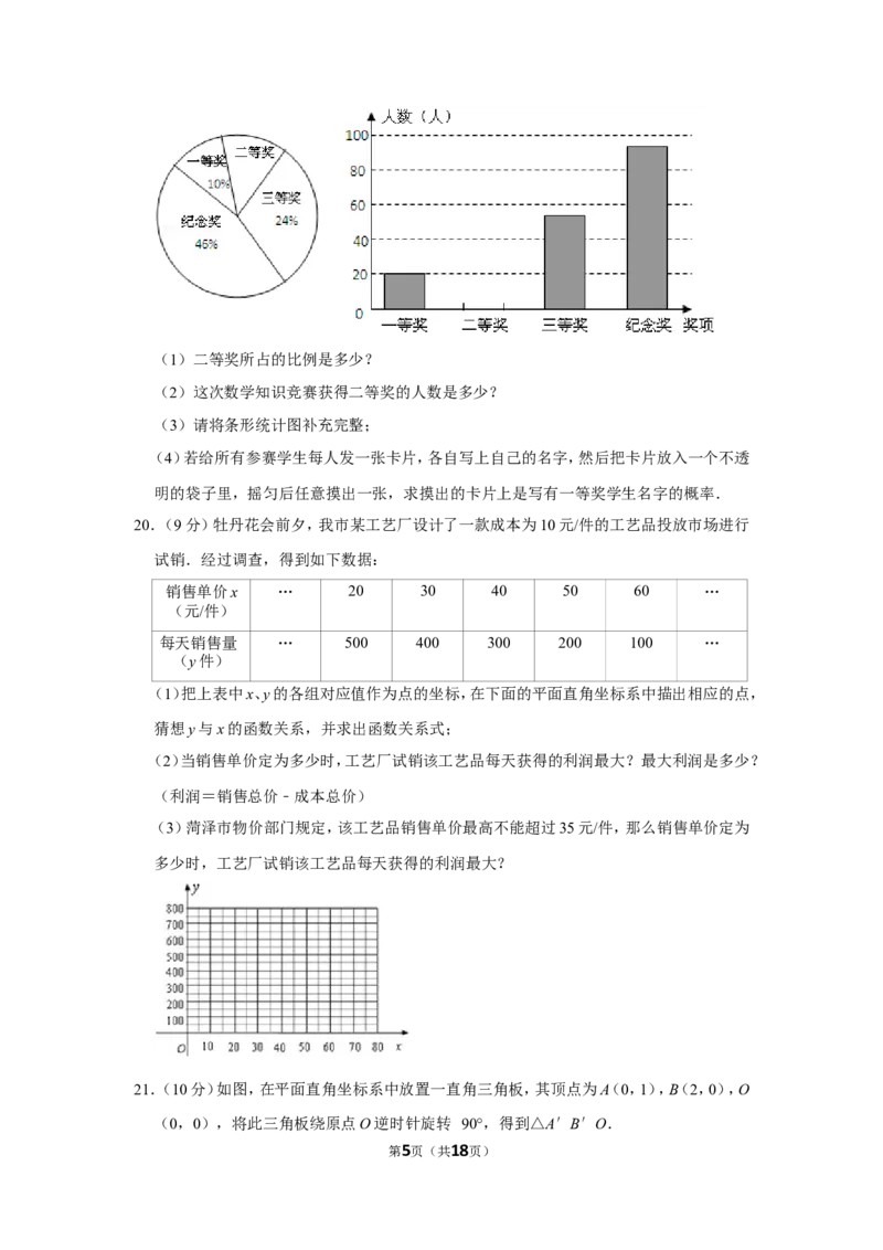
2012年山东省菏泽市中考数学试卷_中考真题_2.数学中考真题2015-2024年_地区卷_山东省_菏泽数学10-23
2012年山东省菏泽市中考数学试卷_中考真题_2.数学中考真题2015-2024年_地区卷_山东省_菏泽数学10-23
2012年山东省菏泽市中考数学试卷_中考真题_2.数学中考真题2015-2024年_地区卷_山东省_菏泽数学10-23
2012年山东省菏泽市中考数学试卷_中考真题_2.数学中考真题2015-2024年_地区卷_山东省_菏泽数学10-23
2012年山东省菏泽市中考数学试卷_中考真题_2.数学中考真题2015-2024年_地区卷_山东省_菏泽数学10-23
2012年山东省菏泽市中考数学试卷_中考真题_2.数学中考真题2015-2024年_地区卷_山东省_菏泽数学10-23
2012年山东省菏泽市中考数学试卷_中考真题_2.数学中考真题2015-2024年_地区卷_山东省_菏泽数学10-23

文档信息

文档格式
doc
文档大小
0.284 MB
文档页数
18 页
上传时间
2026-02-05 18:50:59

文档内容

2012年山东省菏泽市中考数学试卷 一、选择题(本大题共8个小题,每小题3分,共24分.在每小题给出的四个选项中,只有一 项是符合题目要求的.) 1.(3分)点P(﹣2,1)在平面直角坐标系中所在的象限是( ) A.第一象限 B.第二象限 C.第三象限 D.第四象限 2.(3分)在算式( )□( )的□中填上运算符号,使结果最大,这个运算符号是( ) A.加号 B.减号 C.乘号 D.除号 3.(3分)如果用□表示1个立方体,用 表示两个立方体叠加,用■表示三个立方体叠加,那 么下面图是由7个立方体叠成的几何体,从正前方观察,可画出的平面图形是( ) A. B. C. D. 4.(3分)已知 是二元一次方程组 的解,则2m﹣n的算术平方根为( ) A.±2 B. C.2 D.4 5.(3分)下列图形中,是中心对称图形的是( ) A. B. C. D. 6.(3分)反比例函数y= 的两个点(x ,y )、(x ,y ),且x >x ,则下式关系成立的是 1 1 2 2 1 2 ( ) 第1页(共18页)A.y >y B.y <y C.y =y D.不能确定 1 2 1 2 1 2 7.(3分)我市今年6月某日部分区县的最高气温如下表: 区县 牡丹区 东明 鄄城 郓城 巨野 定陶 开发区 曹县 成武 单县 最高气温(℃) 32 32 30 32 30 32 32 29 30 29 则这10个区县该日最高气温的众数和中位数分别是( ) A.32,32 B.32,30 C.30,32 D.32,31 8.(3分)已知二次函数y=ax2+bx+c的图象如图所示,那么一次函数y=bx+c和反比例函数 y= 在同一平面直角坐标系中的图象大致是( ) A. B. C. D. 二、填空题(本大题共6个小题,每小题4分,共24分.把答案填在题中的横线上.) 9.(4分)已知线段AB=8cm,在直线AB上画线段BC,使它等于3cm,则线段AC= cm. 10.(4分)若不等式组 的解集是x>3,则m的取值范围是 . 11.(4分)如图,PA,PB是 O是切线,A,B为切点,AC是 O的直径,若∠P=46°,则 ∠BAC= 度. ⊙ ⊙ 第2页(共18页)12.(4分)口袋内装有大小、质量和材质都相同的红色1号、红色2号、黄色1号、黄色2号、 黄色3号的5个小球,从中摸出两球,这两球都是红色的概率是 . 13.(4分)将4个数a,b,c,d排成2行、2列,两边各加一条竖直线记成 ,定义 =ad ﹣bc,上述记号就叫做2阶行列式.若 ,则x= . 14.(4分)一个自然数的立方,可以分裂成若干个连续奇数的和.例如:23,33和43分别可以 按如图所示的方式“分裂”成2个、3个和4个连续奇数的和,即23=3+5;33=7+9+11;43 =13+15+17+19;…;若63也按照此规律来进行“分裂”, 则63“分裂”出的奇数中,最大的奇数是 . 三、解答题(本大题共7个小题,共72分.解答应写出文字说明、证明过程或演算步骤.) 15.(12分)(1)先化简,再求代数式的值. ,其中a=(﹣1) 2012+tan60°. (2)解方程:(x+1)(x﹣1)+2(x+3)=8. 16.(12分)(1)如图1,∠DAB=∠CAE,请补充一个条件: ,使△ABC∽△ADE. (2)如图2,OABC是一张放在平面直角坐标系中的矩形纸片,O为原点,点A在x轴的正 半轴上,点C在y轴的正半轴上,OA=10,OC=8.在OC边上取一点D,将纸片沿AD翻 折,使点O落在BC边上的点E处,求D,E两点的坐标. 第3页(共18页)17.(14分)(1)如图,一次函数y=﹣ x+2的图象分别与x轴、y轴交于点A、B,以线段AB 为边在第一象限内作等腰Rt△ABC,∠BAC=90°.求过B、C两点直线的解析式. (2)我市某校为了创建书香校园,去年购进一批图书.经了解,科普书的单价比文学书的 单价多4元,用12000元购进的科普书与用8000元购进的文学书本数相等.今年文学书 和科普书的单价和去年相比保持不变,该校打算用10000元再购进一批文学书和科普书, 问购进文学书550本后至多还能购进多少本科普书? 18.(10分)如图,在边长为1的小正方形组成的网格中,△ABC和△DEF的顶点都在格点上, P ,P ,P ,P ,P 是△DEF边上的5个格点,请按要求完成下列各题: 1 2 3 4 5 (1)试证明三角形△ABC为直角三角形; (2)判断△ABC和△DEF是否相似,并说明理由; (3)画一个三角形,使它的三个顶点为P ,P ,P ,P ,P 中的3个格点并且与△ABC相似 1 2 3 4 5 (要求:不写作法与证明). 19.(10分)某中学举行数学知识竞赛,所有参赛学生分别设有一、二、三等奖和纪念奖,获奖 情况已绘制成如图所示的两幅不完整的统计图.根据图中所给出的信息解答下列问题: 第4页(共18页)(1)二等奖所占的比例是多少? (2)这次数学知识竞赛获得二等奖的人数是多少? (3)请将条形统计图补充完整; (4)若给所有参赛学生每人发一张卡片,各自写上自己的名字,然后把卡片放入一个不透 明的袋子里,摇匀后任意摸出一张,求摸出的卡片上是写有一等奖学生名字的概率. 20.(9分)牡丹花会前夕,我市某工艺厂设计了一款成本为10元/件的工艺品投放市场进行 试销.经过调查,得到如下数据: 销售单价x … 20 30 40 50 60 … (元/件) 每天销售量 … 500 400 300 200 100 … (y件) (1)把上表中x、y的各组对应值作为点的坐标,在下面的平面直角坐标系中描出相应的点, 猜想y与x的函数关系,并求出函数关系式; (2)当销售单价定为多少时,工艺厂试销该工艺品每天获得的利润最大?最大利润是多少? (利润=销售总价﹣成本总价) (3)菏泽市物价部门规定,该工艺品销售单价最高不能超过35元/件,那么销售单价定为 多少时,工艺厂试销该工艺品每天获得的利润最大? 21.(10分)如图,在平面直角坐标系中放置一直角三角板,其顶点为A(0,1),B(2,0),O (0,0),将此三角板绕原点O逆时针旋转 90°,得到△A′B′O. 第5页(共18页)(1)一抛物线经过点A′、B′、B,求该抛物线的解析式; (2)设点P是在第一象限内抛物线上的一动点,是否存在点P,使四边形PB′A′B的面 积是△A′B′O面积4倍?若存在,请求出P的坐标;若不存在,请说明理由. (3)在(2)的条件下,试指出四边形PB′A′B是哪种形状的四边形?并写出四边形 PB′A′B的两条性质. 第6页(共18页)2012 年山东省菏泽市中考数学试卷 参考答案与试题解析 一、选择题(本大题共8个小题,每小题3分,共24分.在每小题给出的四个选项中,只有一 项是符合题目要求的.) 1.【分析】根据各象限点的坐标的特点解答. 【解答】解:点P(﹣2,1)在第二象限. 故选:B. 【点评】本题考查了点的坐标,熟记四个象限的符号特点分别是:第一象限(+,+);第二象 限(﹣,+);第三象限(﹣,﹣);第四象限(+,﹣)是解题的关键. 2.【分析】分别把加、减、乘、除四个符号填入括号,计算出结果即可. 【解答】解:当填入加号时:( )+( )=﹣ ; 当填入减号时:( )﹣( )=0; 当填入乘号时:( )×( )= ; 当填入除号时:( )÷( )=1. ∵1> >0>﹣ , ∴这个运算符号是除号. 故选:D. 【点评】本题考查的是实数的运算及实数的大小比较,根据题意得出填入加、减、乘、除四 个符号的得数是解答此题的关键. 3.【分析】找到从正面看所得到的图形即可,注意所有看到的棱都应表现在主视图中. 【解答】解:从正前方观察,应看到长有三个立方体,且中间的为三个立方体叠加;高为两 个立方体,在中间且有两个立方体叠加. 故选:B. 【点评】此题主要考查三视图的知识、学生的观察能力和空间想象能力. 4.【分析】由 是二元一次方程组 的解,根据二元一次方程根的定义,可得 第7页(共18页),即可求得m与n的值,继而求得2m﹣n的算术平方根. 【解答】解:∵ 是二元一次方程组 的解, ∴ , 解得: , ∴2m﹣n=4, ∴2m﹣n的算术平方根为2. 故选:C. 【点评】此题考查了二元一次方程组的解、二元一次方程组的解法以及算术平方根的定义. 此题难度不大,注意理解方程组的解的定义. 5.【分析】根据中心对称图形的定义逐个判断即可. 【解答】解:A、不是中心对称图形,故本选项不符合题意; B、不是中心对称图形,故本选项不符合题意; C、是中心对称图形,故本选项符合题意; D、不是中心对称图形,故本选项不符合题意; 故选:C. 【点评】本题考查了对中心对称图形的定义,能熟知中心对称图形的定义是解此题的关键. 6.【分析】先根据反比例函数中k=2判断出函数的增减性,再根据两点所在的象限进行判断 即可. 【解答】解:反比例函数y= 中,k=2>0, 两点在同一象限内的图象上,y >y ; 2 1 ①A,B两点不在同一象限内,y 2 <y 1 . ②故选:D. 【点评】本题考查的是反比例函数图象上点的坐标特点,根据题意判断函数图象所在的象 限是解答此题的关键. 7.【分析】找中位数要把数据按从小到大的顺序排列,位于最中间的一个数或两个数的平均 数为中位数,众数是一组数据中出现次数最多的数据,注意众数可以不止一个. 【解答】解:在这一组数据中32是出现次数最多的,故众数是32; 处于这组数据中间位置的数是30、32,那么由中位数的定义可知,这组数据的中位数是 第8页(共18页)31. 故选:D. 【点评】本题为统计题,考查众数与中位数的意义,中位数是将一组数据从小到大(或从大 到小)重新排列后,最中间的那个数(最中间两个数的平均数),叫做这组数据的中位数, 如果中位数的概念掌握得不好,不把数据按要求重新排列,就会出错. 8.【分析】根据二次函数图象开口方向与对称轴判断出a、b的正负情况,再根据二次函数图 象与y轴的交点判断出c=0,然后根据一次函数图象与系数的关系,反比例函数图象与系 数的关系判断出两图象的大致情况即可得解. 【解答】解:∵二次函数图象开口向下, ∴a<0, ∵对称轴x=﹣ <0, ∴b<0, ∵二次函数图象经过坐标原点, ∴c=0, ∴一次函数y=bx+c过第二四象限且经过原点,反比例函数y= 位于第二四象限, 纵观各选项,只有C选项符合. 故选:C. 【点评】本题考查了二次函数图象,一次函数图象,反比例函数图象,根据二次函数图象判 断出a、b、c的情况是解题的关键,也是本题的难点. 二、填空题(本大题共6个小题,每小题4分,共24分.把答案填在题中的横线上.) 9.【分析】点C可能在线段AB上,也可能在AB的延长线上.因此分类讨论计算. 【解答】解:根据题意,点C可能在线段AB上,也可能在AB的延长线上. 若点C在线段AB上,则AC=AB﹣BC=8﹣3=5(cm); 若点C在AB的延长线上,则AC=AB+BC=8+3=11(cm). 故答案为:5或11. 【点评】此题考查求两点间的距离,运用了分类讨论的思想,容易掉解. 10.【分析】根据“同大取较大”的法则进行解答即可. 【解答】解:∵不等式组 的解集是x>3, 第9页(共18页)∴m≤3. 故答案为:m≤3. 【点评】本题考查的是不等式的解集,熟知“同大取较大”的法则是解答此题的关键. 11.【分析】由PA、PB是圆O的切线,根据切线长定理得到PA=PB,即三角形APB为等腰三 角形,由顶角的度数,利用三角形的内角和定理求出底角的度数,再由AP为圆O的切线, 得到OA与AP垂直,根据垂直的定义得到∠OAP为直角,再由∠OAP﹣∠PAB即可求出 ∠BAC的度数. 【解答】解:∵PA,PB是 O是切线, ∴PA=PB,又∠P=46°,⊙ ∴∠PAB=∠PBA= =67°, 又PA是 O是切线,AO为半径, ∴OA⊥A⊙P, ∴∠OAP=90°, ∴∠BAC=∠OAP﹣∠PAB=90°﹣67°=23°. 故答案为:23 【点评】此题考查了切线的性质,切线长定理,等腰三角形的性质,以及三角形的内角和定 理,熟练掌握定理及性质是解本题的关键. 12.【分析】首先根据题意列出表格,然后根据表格求得所有等可能的情况与这两球都是红色 的情况,利用概率公式即可求得答案. 【解答】解:列表得: 红1,黄3 红2,黄3 黄1,黄3 黄2,黄3 ﹣ 红1,黄2 红2,黄2 黄1,黄2 ﹣ 黄3,黄2 红1,黄1 红2,黄1 ﹣ 黄2,黄1 黄3,黄1 红1,红2 ﹣ 黄1,红2 黄2,红2 黄3,红2 ﹣ 红2,红1 黄1,红1 黄2,红1 黄3,红1 ∵共有20种等可能的结果,这两球都是红色的有2种情况, ∴从中摸出两球,这两球都是红色的概率是: = . 故答案为: . 【点评】此题考查了列表法或树状图法求概率.注意列表法与树状图法可以不重复不遗漏 第10页(共18页)的列出所有可能的结果,列表法适合于两步完成的事件;树状图法适合两步或两步以上完 成的事件,注意概率=所求情况数与总情况数之比. 13.【分析】根据题中的新定义将所求的方程化为普通方程,整理后即可求出方程的解,即为 x的值. 【解答】解:根据题意化简 =8,得:(x+1)2﹣(1﹣x)2=8, 整理得:x2+2x+1﹣(1﹣2x+x2)﹣8=0,即4x=8, 解得:x=2. 故答案为:2 【点评】此题考查了整式的混合运算,属于新定义的题型,涉及的知识有:完全平方公式, 去括号、合并同类项法则,根据题意将所求的方程化为普通方程是解本题的关键. 14.【分析】首先发现奇数的个数与前面的底数相同,再得出每一组分裂中的第一个数是底数 ×(底数﹣1)+1,问题得以解决. 【解答】解:由23=3+5,分裂中的第一个数是:3=2×1+1, 33=7+9+11,分裂中的第一个数是:7=3×2+1, 43=13+15+17+19,分裂中的第一个数是:13=4×3+1, 53=21+23+25+27+29,分裂中的第一个数是:21=5×4+1, 63=31+33+35+37+39+41,分裂中的第一个数是:31=6×5+1, 所以63“分裂”出的奇数中最大的是6×5+1+2×(6﹣1)=41. 故答案为:41. 【点评】本题是对数字变化规律的考查,找出分裂的第一个数的变化规律是解题的关键, 也是求解的突破口. 三、解答题(本大题共7个小题,共72分.解答应写出文字说明、证明过程或演算步骤.) 15.【分析】(1)先把括号内的通分计算,再把除法转换为乘法计算化简,最后代值计算; (2)把方程整理成标准形式,再运用因式分解法解方程. 【解答】解:(1)原式= × = = . 当a=(﹣1)2012+tan60°=1+ 时, 第11页(共18页)原式= = . (2)原方程可化为 x2+2x﹣3=0. ∴(x+3)(x﹣1)=0, ∴x =﹣3,x =1. 1 2 【点评】此题考查分式的化简求值和运用因式分解法解一元二次方程以及特殊角的三角函 数值等知识点,难度中等. 16.【分析】(1)根据相似三角形的判定定理再补充一个相等的角即可; (2)先根据勾股定理求出BE的长,进而可得出CE的长,求出E点坐标,在Rt△DCE中, 由DE=OD及勾股定理可求出OD的长,进而得出D点坐标. 【解答】解:(1)∠D=∠B或∠AED=∠C. (2)依题意可知,折痕AD是四边形OAED的对称轴, ∴在Rt△ABE中,AE=AO=10,AB=8,BE= = =6, ∴CE=4, ∴E(4,8). 在Rt△DCE中,DC2+CE2=DE2, 又∵DE=OD, 设OD=x=DE, ∴(8﹣x)2+42=x2, 解得:x=5, ∴OD=5, ∴D(0,5). 【点评】本题考查的是图形的翻折变换、勾股定理及相似三角形的判定,熟知折叠是一种 对称变换,它属于轴对称,折叠前后图形的形状和大小不变,位置变化,对应边和对应角 相等是解答此题的关键. 17.【分析】(1)作CD⊥x轴于点D,易证△ABO≌△CAD,即可求得AD,CD的长,则C的坐 标即可求解;利用待定系数法即可求得直线BC的解析式; (2)设文学书的单价是x元/本,则科普书的单价是x+4元/本,然后根据用12000元购进的 科普书与用8000元购进的文学书本数相等,即可列出方程,从而求解. 第12页(共18页)【解答】解:(1)一次函数y=﹣ x+2中,令x=0得:y=2; 令y=0,解得x=3. 则A的坐标是(3,0),B的坐标是(0,2). 作CD⊥x轴于点D. ∵∠BAC=90°, ∴∠OAB+∠CAD=90°, 又∵∠CAD+∠ACD=90°, ∴∠ACD=∠BAO 又∵AB=AC,∠BOA=∠CDA=90° ∴△ABO≌△CAD, ∴AD=BO=2,CD=OA=3,OD=OA+AD=5. 则C的坐标是(5,3). 设BC的解析式是y=kx+b, 根据题意得: , 解得: . 则BC的解析式是:y= x+2. (2)设文学书的单价是x元/本. 依题意得: = 解得:x=8,经检验x=8是方程的解,并且符合题意. x+4=12. 所以,去年购进的文学书和科普书的单价分别是8元和12元. 设购进文学书550本后至多还能购进y本科普书. ②依题意得550×8+12y≤10000,解得y≤466 , 由题意取最大整数解,y=466. 所以,至多还能够进466本科普书. 第13页(共18页)【点评】本题考查了待定系数法求直线的解析式,以及列方程解应用题,正确理解题目中 的相等关系以及不等关系是关键. 18.【分析】(1)利用网格得出AB2=20,AC2=5,BC2=25,再利用勾股定理逆定理得出答案 即可; (2)利用AB=2 ,AC= ,BC=5以及DE=4 ,DF=2 ,EF=2 ,利用三角形 三边比值关系得出即可; (3)根据△P P P 三边与△ABC三边长度得出答案即可. 2 4 5 【解答】解:(1)∵AB2=20,AC2=5,BC2=25; ∴AB2+AC2=BC2, 根据勾股定理的逆定理得△ABC 为直角三角形; (2)△ABC和△DEF相似. 由(1)中数据得AB=2 ,AC= ,BC=5, DE=4 ,DF=2 ,EF=2 . = = = = , ∴△ABC∽△DEF. (3)如图:连接P P ,P P ,P P , 2 5 2 4 4 5 ∵P P = ,P P = ,P P =2 , 2 5 2 4 4 5 AB=2 ,AC= ,BC=5, ∴ = = = , ∴,△ABC∽△P P P . 2 4 5 第14页(共18页)【点评】此题主要考查了相似三角形的判定以及勾股定理与逆定理应用,根据已知得出三 角形各边长度是解题关键. 19.【分析】(1)用单位1减去其他各组的所占的百分比即可; (2)先求得总人数,然后乘以其所占的百分比即可; (3)小长方形的高等于该组的频数; (4)一等奖的人数除以总人数即可得到抽到一等奖的概率. 【解答】解:(1)由1﹣10%﹣24%﹣46%=20%,所以二等奖所占的比例为20% (2)参赛的总人数为:20÷10%=200人, 这次数学知识竞赛获得二等奖的人数是:200×20%=40人; (3) (4)摸出的卡片上是写有一等奖学生名字的概率为:20÷200= . 【点评】本题考查了条形统计图、扇形统计图及概率的知识,解题的关键是从两种统计图 中整理出进一步解题的有关信息. 20.【分析】(1)利用表中x、y的各组对应值作为点的坐标,在坐标系中描出即可,再根据点 的分布得出y与x的函数关系式,求出即可; (2)根据利润=销售总价﹣成本总价,由(1)中函数关系式得出W=(x﹣10)(﹣ 10x+700),进而利用二次函数最值求法得出即可; (3)利用二次函数的增减性,结合对称轴即可得出答案. 【解答】解:(1)画图如图: 第15页(共18页)由图可猜想y与x是一次函数关系, 设这个一次函数为y=kx+b(k≠0), ∵这个一次函数的图象经过(20,500)、(30,400)这两点, ∴ , 解得: , ∴函数关系式是y=﹣10x+700. (2)设工艺厂试销该工艺品每天获得的利润是W元,依题意得: W=(x﹣10)(﹣10x+700), =﹣10x2+800x﹣7000, =﹣10(x﹣40)2+9000, ∴当x=40时,W有最大值9000元. (3)对于函数W=﹣10(x﹣40)2+9000, 当x≤35时,W的值随着x值的增大而增大, 故销售单价定为35元∕件时,工艺厂试销该工艺品每天获得的利润最大. 【点评】此题主要考查了二次函数的应用以及待定系数法求一次函数解析式以及二次函数 增减性应用等知识,此题难度不大是中考中考查重点内容. 21.【分析】(1)利用旋转的性质得出A′(﹣1,0),B′(0,2),再利用待定系数法求二次函 数解析式即可; (2)利用S四边形PB′A′B =S△B′OA′+S△PB′O +S△POB ,再假设四边形PB′A′B的面积是 △A′B′O面积的4倍,得出一元二次方程,得出P点坐标即可; (3)利用P点坐标以及B点坐标即可得出四边形PB′A′B为等腰梯形,利用等腰梯形性 质得出答案即可. 第16页(共18页)【解答】解:(1)△A′B′O是由△ABO绕原点O逆时针旋转90°得到的, 又A(0,1),B(2,0),O(0,0), ∴A′(﹣1,0),B′(0,2).﹣﹣﹣﹣﹣﹣﹣﹣﹣﹣(1分) 方法一: 设抛物线的解析式为:y=ax2+bx+c(a≠0), ∵抛物线经过点A′、B′、B, ∴ , 解得: , ∴满足条件的抛物线的解析式为y=﹣x2+x+2.﹣﹣﹣﹣﹣﹣﹣﹣﹣﹣(3分) 方法二:∵A′(﹣1,0),B′(0,2),B(2,0), 设抛物线的解析式为:y=a(x+1)(x﹣2) 将B′(0,2)代入得出:2=a(0+1)(0﹣2), 解得:a=﹣1, 故满足条件的抛物线的解析式为y=﹣(x+1)(x﹣2)=﹣x2+x+2; (2)∵P为第一象限内抛物线上的一动点, 设P(x,y),则x>0,y>0,P点坐标满足y=﹣x2+x+2. 连接PB,PO,PB′, ∴S四边形PB′A′B =S△B′OA′+S△PB′O +S△POB , = ×1×2+ ×2×x+ ×2×y, =x+(﹣x2+x+2)+1, =﹣x2+2x+3.﹣﹣﹣﹣﹣﹣﹣﹣﹣﹣(5分) ∵A′O=1,B′O=2,∴△A′B′O面积为: ×1×2=1, 假设四边形PB′A′B的面积是△A′B′O面积的4倍,则 4=﹣x2+2x+3, 即x2﹣2x+1=0, 解得:x =x =1, 1 2 第17页(共18页)此时y=﹣12+1+2=2,即P(1,2).﹣﹣﹣﹣﹣﹣﹣﹣﹣﹣(7分) ∴存在点P(1,2),使四边形PB′A′B的面积是△A′B′O面积的4倍.﹣﹣﹣﹣﹣﹣ ﹣﹣﹣﹣(8分) (3)四边形PB′A′B为等腰梯形,答案不唯一,下面性质中的任意2个均可. 等腰梯形同一底上的两个内角相等; 等腰梯形对角线相等; ①等腰梯形上底与下底平行; 等腰梯②形两腰相等.﹣﹣﹣﹣﹣﹣﹣﹣﹣﹣(10分) ③或用符号表示: ④ ∠B′A′B=∠PBA′或∠A′B′P=∠BPB′; PA′=B′B; B′P∥A′B; ①B′A′=PB.﹣﹣﹣﹣﹣﹣﹣﹣﹣﹣(10分) ② ③ ④ 【点评】此题主要考查了二次函数的综合应用以及等腰梯形性质等知识,利用四边形 PB′A′B的面积是△A′B′O面积的4倍得出等式方程求出x是解题关键. 声明:试题解析著作权属菁优网所有,未经书面同意,不得复制发布 日期:2019/10/24 21:26:51;用户:18366185883;邮箱:18366185883;学号:22597006 第18页(共18页)