当前位置:首页>文档>2018年考研数学一真题及答案解析公众号:小乖考研免费分享_04.数学一历年真题_普通版本数学一_2018考研数学(一)真题+答案解析

2018年考研数学一真题及答案解析公众号:小乖考研免费分享_04.数学一历年真题_普通版本数学一_2018考研数学(一)真题+答案解析

  • 2026-03-29 16:36:56 2026-02-06 17:58:47

文档预览

2018年考研数学一真题及答案解析公众号:小乖考研免费分享_04.数学一历年真题_普通版本数学一_2018考研数学(一)真题+答案解析
2018年考研数学一真题及答案解析公众号:小乖考研免费分享_04.数学一历年真题_普通版本数学一_2018考研数学(一)真题+答案解析
2018年考研数学一真题及答案解析公众号:小乖考研免费分享_04.数学一历年真题_普通版本数学一_2018考研数学(一)真题+答案解析
2018年考研数学一真题及答案解析公众号:小乖考研免费分享_04.数学一历年真题_普通版本数学一_2018考研数学(一)真题+答案解析
2018年考研数学一真题及答案解析公众号:小乖考研免费分享_04.数学一历年真题_普通版本数学一_2018考研数学(一)真题+答案解析
2018年考研数学一真题及答案解析公众号:小乖考研免费分享_04.数学一历年真题_普通版本数学一_2018考研数学(一)真题+答案解析
2018年考研数学一真题及答案解析公众号:小乖考研免费分享_04.数学一历年真题_普通版本数学一_2018考研数学(一)真题+答案解析
2018年考研数学一真题及答案解析公众号:小乖考研免费分享_04.数学一历年真题_普通版本数学一_2018考研数学(一)真题+答案解析
2018年考研数学一真题及答案解析公众号:小乖考研免费分享_04.数学一历年真题_普通版本数学一_2018考研数学(一)真题+答案解析
2018年考研数学一真题及答案解析公众号:小乖考研免费分享_04.数学一历年真题_普通版本数学一_2018考研数学(一)真题+答案解析
2018年考研数学一真题及答案解析公众号:小乖考研免费分享_04.数学一历年真题_普通版本数学一_2018考研数学(一)真题+答案解析
2018年考研数学一真题及答案解析公众号:小乖考研免费分享_04.数学一历年真题_普通版本数学一_2018考研数学(一)真题+答案解析
2018年考研数学一真题及答案解析公众号:小乖考研免费分享_04.数学一历年真题_普通版本数学一_2018考研数学(一)真题+答案解析
2018年考研数学一真题及答案解析公众号:小乖考研免费分享_04.数学一历年真题_普通版本数学一_2018考研数学(一)真题+答案解析

文档信息

文档格式
pdf
文档大小
0.393 MB
文档页数
10 页
上传时间
2026-02-06 17:58:47

文档内容

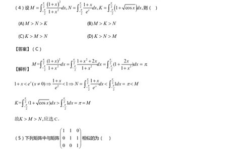
2018 年全国硕士研究生入学统一考试数学(一)试卷及答案解析 一、选择题:1~8小题,每小题4分,共32分,下列每题给出的四个选项中,只有一个选项是符合题目要求的 (1)下列函数中,在x 0处不可导的是( ) (A) f  x  x sin x (B) f  x  x sin x (C) f  x cos x (D) f  x cos x 【答案】(D) 【解析】根据导数的定义: x sin x xx lim lim 0,可导; (A) x0 x x0 x x sin x x x lim lim 0,可导; (B) x0 x x0 x 1  x cos x 1 lim lim 2 0,可导; (C) x0 x x0 x 1 2 1  x  x cos x 1 lim lim 2 lim 2 ,极限不存在, (D) x0 x x0 x x0 x 故选D。 (2)过点  1,0,0  ,  0,1,0  ,且与曲面z  x2  y2相切的平面为( ) (A)z 0与x yz 1 (B) z 0与2x2yz 2 (C) x y与x yz 1 (D) x y与2x2yz 2 【答案】(B) 过 1,0,0  ,  0,1,0 的已知曲面的切平面只有两个,显然z=0与曲面z x2 y2相切,排除C、D 【解析】 曲面z  x2  y2的法向量为(2x,2y,-1), 1 1 对于A选项,x yz 1的法向量为(1,1,1),可得x ,y  , 2 2 代入z  x2  y2和x yz 1中z不相等,排除A,故选B.  2n3 (3) 1 n ( )  2n1  ! n0 淘宝店铺:https://shop249445206.taobao.com/ 掌柜旺旺:新一文化(A) sin1cos1 (B) 2sin1cos1 (C) 2sin12cos1 (D) 2sin13cos1 【答案】(B)  2n3  2n1  2 (1)n (1)n (1)n (2n1)! (2n1)! (2n1)! 【解析】n0 n0 n0  1  2 =(1)n (1)n cosl2sin1 (2n)! (2n1)! n0 n0 故选B.   1x 2  1x    (4)设M  2 dx,N  2 dx,K  2 1 cosx dx,则( )   1x2   ex   2 2 2 (A)M  N  K (B)M K  N (C)K M  N (D)K  N M 【答案】(C)  (1x)2  1x2 2x  2x M=2 dx 2 dx 2 (1 )dx . 【解析】   1x2   1x2   1x2 2 2 2 1x 1x  1xex(x0) 1 N  2 dx 21dx  M e2   ex   2 2   K=2(1 cosx)dx 2 1dx M     2 2 故K M  N,应选C。 1 1 0   (5)下列矩阵中与矩阵 0 1 1 相似的为( )     0 0 1 1 1 1 1 0 1     (A) 0 1 1 (B) 0 1 1         0 0 1  0 0 1  1 1 1 1 0 1     (C) 0 1 0 (D) 0 1 0         0 0 1  0 0 1  【答案】(A) 淘宝店铺:https://shop249445206.taobao.com/ 掌柜旺旺:新一文化1 1 0 1 1 0   令J  0 1 1 ,则特征值EJ  0 1 1 (-1)3=0,   【解析】   0 0 1 0 0 1 则特征值为===1. 1 2 3 0 1 0    当=1时,EJ  0 0 1 ,可知(r EJ) 2.     0 0 0  1 1 1 1 1 1   A选项,令A= 0 1 1 ,则由E A  0 1 1  1 30解得===1.   1 2 3   0 0 1  0 0 1 0 1 1    此时当=1时,EA= 0 0 1 ,可知e  EA 2.     0 0 0  1 0 1   B选项,令B= 0 1 1 ,则同理显然可知矩阵B所有的特征值为1,1,1.当=1时,r(E B) 1.     0 0 1  1 0 1   C选项,令C= 0 1 1 ,则同理显然可知矩阵C所有的特征值为1,1,1.当=1时,r(E C) 1.     0 0 1  1 0 1   D选项,令D= 0 1 1 ,则同理显然可知矩阵D所有的特征值为1,1,1.当=1时,r(E D) 1.     0 0 1  由于矩阵相似,则相关矩阵EA与EJ也相似,则r(E-A)=r(E-J). 可知答案选A。 (6)设A、B为n阶矩阵,记r  X 为矩阵X的秩, X ,Y 表示分块矩阵,则( ) (A) r  A,AB r  A  (B) r  A,BA r  A  (C) r  A,B max  r  A  ,r  B  (D) r  A,B r  ATBT  【答案】(A) 设C  AB,则可知C的列向量可以由A的列向量线性表示,则r (A,C )r (A,AB)r (A). 【解析】 (7) 设随机变量X 的概率密度 f  x 满足f  1x  f  1x  ,且 2 f  x  dx 0.6,则P  X 0  ( ) 0 (A) 0.2 (B)0.3 (C)0.4 (D)0.5 【答案】(A) 淘宝店铺:https://shop249445206.taobao.com/ 掌柜旺旺:新一文化由f(1x) f(1x)知,f(x)关于x 1对称,故P  X 0  P  X 2  【解析】 P  X 0 P  0 X 2 P  X 2 1,P  0 X 2   2 f (x)dx 0.6 0 2P  X 0 0.4 P  X 0 0.2   (8)设总体X服从正态分布N ,2 ,X ,X ,,X 是来自总体X的简单随机样本,据此样本检测: 1 2 n 假设:H :=,H:,则( ) 0 0 1 0 (A) 如果在检验水平=0.05下拒绝H ,那么在检验水平=0.01下必拒绝H 0 0 (B) 如果在检验水平=0.05下拒绝H ,那么在检验水平=0.01必接受H 0 0 (C) 如果在检验水平=0.05下接受H ,那么在检验水平=0.01下必拒绝H 0 0 (D) 如果在检验水平=0.05下接受H ,那么在检验水平=0.01下必接受H 0 0 【答案】(A) 1 n X  X  X ,X ~ N(,2),故 ~ N(0,1) 【解析】 n i1 i / n x 所以 0.05时,拒绝域为: 0  u ,u 为上分位点. 1 / n 0.025 0.025 x =0.001时,拒绝域为: 0 u . 2 / n 0.0005 又因为u u ,故选A. 0.025 0.0005 二、填空题:9~14小题,每小题4分,共24分。 1 1tanxsinkx (9)若lim  e,则k __________. x01tanx 【答案】-2 1 1tanxsinkx lim   1tanx 1   1 【解析】由e=lim  ex01tanx sinkx,得 x01tanx 1 1tan x 1tan x 2 1=lim  lim  , x0sinkx 1tanx x0 kx k 故k 2. (10)设函数f  x 具有2阶连续导数,若曲线y  f  x 过点 0,0 且与曲线y 2x在点 1,2 处 相切,则 1 xf x  dx __________. 0 【答案】2ln22 淘宝店铺:https://shop249445206.taobao.com/ 掌柜旺旺:新一文化【解析】 1 xf x  dx xf x  1  1 f(x)dx  f(1) f (1) f (0) 2ln220 2ln22 0 0 0    (11)设F(x,y,z) xyiyzjzxk,则rotF  1,1,0  . 【答案】(1,0,1)    【解析】F(x,y,z) xyiyzjzxk    i j k       rotF(x,y,z)   yizjxk x y z xy yz zx rotF(1,1,0)(1,0,1) (12)设L为球面x2 y2 z2 1与平面xyz  0的交线,则  xyds  . L 【答案】0 【解析】由曲线L关于xoz面对称,被积函数关于y是奇函数,故  xyds 0. L (13)设2阶矩阵A有两个不同特征值,,是A的线性无关的特征向量,且满足A2   = , 1 2 1 2 1 2 则 A  . 【答案】-1 【解析】由A(2  )=( ),可知A2有特征值1,对应的特征向量为 . 1 2 1 2 1 2 则可知A的特征值只能取1或1.由于矩阵A有2个不同的特征值,则可知A的特征值恰好为1和1.则 A 1(1)1. (14)设随机事件A与B相互独立,A与C相互独立,BC=,若 1 1 P  A P  B  ,P   AC AB C   , 2 4 则P  C  . 1 【答案】 4   P AC(ABC) P(AC) 1   【解析】P AC ABC    P(ABC) P(AB)P(C)P(ABC) 4 1 P(C) P(A)P(C) 1 1 1 2     P(C) . P(A)P(B)P(C)P(ABC) 4 1 1 4 4  P(C)0 2 2 三、解答题:15~23小题,共94分。解答应写出文字说明、证明过程或演算步骤。 淘宝店铺:https://shop249445206.taobao.com/ 掌柜旺旺:新一文化(15)(本题满分10分) 求不定积分e2xarctan ex 1dx. 1  1 1 e2x 【解析】原式=arctan ex 1d e2x   e2xarctan ex 1  dx 2  2 4 ex 1 再用整体代换去根号:  2 e2x t2 1 2t  dxt  ex 1 dt   ex 1 t t2 1 2 2  3 = t3 2tC  ex1 22 ex1C 3 3 即原式= 1 e2xarctan ex 1 1  ex 1  3 2  1 ex 1C 2 6 2 (16)(本题满分10分) 将长为2m的铁丝分成三段,依次围成圆、正方形与正三角形.三个图形的面积之和是否存在最小值? 若存在,求出最小值. 【解析】设圆的半径为x,正方形的边长为y,正三角形的边长为z,则2x 4y 3z 2,其面积和 3 3 S(x,y,z) x2 y2  z3,即是求S(x,y,z) x2 y2  z3在约束条件24y3z 2下的最小值是否存在. 4 4 3 设L(x,y,z,) x2 y2  z2 (2x4y3z2), 4  1  L 2x20 x x   x43 3 L 2y40   y  2  3 ,解得y  (唯一驻点).由实际问题可知,最小值一定存在,  L  z30  43 3 z 2   2 3 L 2x4y3z20 z  x  43 3 1 2 2 3 1 且在( , , )取得最小值,且最小值为 . 43 3 43 3 43 3 43 3 (17)(本题满分10分) 设是曲面x 13y23z2的前侧,计算曲面积分   I=xdydz y32 dzdxz3dxdy.  【解析】补面: :x0,3y23z2 1的后侧,则 0 淘宝店铺:https://shop249445206.taobao.com/ 掌柜旺旺:新一文化I= xdydz(y32)dzdxz3dxdy  = xdydz(y32)dzdxz3dxdy xdydz(y32)dzdxz3dxdy   0 0  (13y23z2)dxdydz0(其中为与 所围成的半椭球体) 0  1 = dx  (13y2 3z2)dydz 0 y2z2 1x2 3 1 2 1x2 1 3 1 1x2   dx d 3 (13r2)rdr  2 ( r4  r2) 3 dx 0 0 0 0 4 2 0 134x2 x4 14 2 dx . 0 12 45 (18)(本题满分10分) 已知微分方程y y  f (x),其中f (x)是R上的连续函数. (I)若f(x) x,求方程的通解; (II)若f(x)是周期为T的函数,证明:方程存在唯一的以T 为周期的解.   【解析】(I) y ex xexdxC Cex x1   微分方程解函数为y(x)ex  x f  t  etdtC 0 则y  xT exT   xT f  t  etdtC tTu exT   x f  uT  euTduC  0 T     ex  x f  u  euduCeT ex  0 f  u  eudu x f  u  euduCeT T T 0 (II)     若ex  0 f  u  eudu  x f  u  eudu CeT ex  x f  t  etdt C T 0 0 即C= 1  0 f  u  eudu时y  x T y  x  . 1eT T 由于C  1  0 f  u  eudu为确定常数,故符合条件的周期解y  x 唯一. 1eT T (19)(本题满分10分) 设数列 x 满足:x 0,x ex n1 ex n 1(n 1,2,),证明 x 收敛,并求limx . n 1 n n n n 【解析】x 0,假设x 0, 1 k ex k 1 由x0,ex 1 x0可知x 1n 1n10. k1 x k 淘宝店铺:https://shop249445206.taobao.com/ 掌柜旺旺:新一文化故数列 x 有下界. n ex n 1 ex n 1 x x 1n x 1n n1 n x n x ex n n n 令f  x  xex   ex 1  ,则f  x  xex  0,故f  x 单调增加. ex 1 当x0时,f  x  f  0 0,故0 1,所以x x 0 xex n1 n 数列 x 单调减少 n 所以limx 存在,设为A,则limx ex n1 lim  ex n 1  n n n n n AeA eA 1,解得A=0,即limx =0. n n (20)(本题满分11分) 设实二次型f(x ,x ,x ) (x ,x x )2(x x )2(x ax )2, 其中a是参数. 1 2 3 1 2 3 2 3 1 3 (I) 求f(x ,x ,x ) 0的解; 1 2 3 (II) 求f(x ,x ,x )的规范形. 1 2 3 由f(x ,x ,x )=(x x x )2(x x )2(x ax )2 0,则应有 1 2 3 1 2 3 2 3 1 3 x x x =0 1 1 1 x  1 2 3 1       x x =0 .令A= 0 1 1 ,x  x . 2 3    2        x ax =0 1 0 a x  1 3 3 即Ax 0. 1 1 1 1 1 1  1 1 1  【解析】(I)       由A= 0 1 1  0 1 1  0 1 1 .             1 0 a 0 1 a1 0 0 a2 2   可知当a 2时,方程组有非零解xk 1 ,其中k为任意常数.      1  当a  2时,方程组只有零解. 当a  2时,此时显然可知二次型正定,则此时对应的规范形为: f(y ,y ,y )  y2 y2 y2. 1 2 3 1 2 3 当a 2时,  2 1 3   (II) 方法一:(正交变换法)令二次型对应的实对称矩阵为B= 1 2 0 ,则由      3 0 6 2 1 3 EB  1 2 0 (21018)0, 3 0 6 解得=5 7,=5 7,=0. 1 2 3 则可知规范形为:f(z ,z ,z ) z2 z2. 1 2 3 1 2 淘宝店铺:https://shop249445206.taobao.com/ 掌柜旺旺:新一文化方法二:(配方法)由于 1 3 3 f(x ,x ,x ) 2(x2x x 3x x )22x26x2 2(x  x  x )2 (x x )2. 1 2 3 1 1 2 1 3 2 3 1 2 2 2 3 2 2 3  1 3 z  2(x  x  x )  1 1 2 2 2 3   3 令 z  (x x ) ,得规范形为f (z ,z ,z ) z2z2. 2 2 2 3 1 2 3 1 2   z  x 3 3   (21)(本题满分11分) 1 2 a   1 a 2     已知a是常数,且矩阵A= 1 3 0 可经初等列变换化为矩阵B= 0 1 1 .         2 7 a  1 1 1 (I) 求a; (II) 求满足AP  B的可逆矩阵P. 1 2 a 1 a 2 【解析】(I) 由于 A  1 3 0 0,则可知B  0 1 1 1a210,a 2. 2 7 a 1 1 1 1 2 2 1 2 2 1 2 2 1 2 2 1 2 2 1 2 2       由(AB)  1 3 0 0 1 1    0 1 2 0 1 1    0 1 2 0 1 1  .       2 7 2 1 1 1 0 3 6 0 3 3 0 0 0 0 0 0       6  3  6  4  6  4              (II) 解得p k 2  1 ,p k 2  1 ,p k 2  1 . 1 1    2 2    3 3                 1   0   1   0   1   0   36k 46k 46k  1 2 3   故解得可逆矩阵P= 12k 12k 12k ,其中k k .  1 2 3 2 3    k k k  1 2 3 (22)(本题满分11分) 1 设随机变量X与Y相互独立,X的概率分布为P  X 1 P  X 1  ,Y 服从参数为的泊松分布. 2 令Z  XY. (I) 求Cov  X,Z  ; (II) 求Z的概率分布. Cov  X,Z  =E  XZ EXEZ 【解析】(I) EX 0,EX2 1,EY E  XZ E  X2Y   Cov  X,Z  =E  XZ EXEZ . 淘宝店铺:https://shop249445206.taobao.com/ 掌柜旺旺:新一文化Z的取值为0,1,2,, 1 1 P  Z 0 P  X 1,Y 0 P  X 1,Y 0  P  Y 0  P  Y 0 e  2 2 (II) 1 1 ke P  Z k P  X 1,Y k  P  Y k  2 2 k! 1 1 ke P  Z k P  X 1,Y k  P  Y k  ,其中k 1,2,. 2 2 k! (23)(本题满分11分) 设总体X的概率密度为 x 1  f(x,) e , x , 2 其中(0,)为未知参数,X , X ,, X 为来自总体X的简单随机样本.记的最大似然估计量为 . 1 2 n (I) 求ˆ; (II) 求Eˆ和D(ˆ). n 1  x i 设L= e ,x ,则 2 i i1 n 1 x lnL(ln ln i ) 【解析】(I) 2  i1 dlnL n 1 x 1 n 令  (  i ) 0ˆ  X d  2 n i i1 i1 1 n  x  x  x  x Eˆ= E X E X   e dx   e dx  n i  2 0  i1 1 n 1 1 1  x2  x (II) Dˆ  D X  D X  (EX 2E2 X ) ( e dx2) n2 i n n n  2 i1 1  x2  x 2  ( e dx2) . n 0  n 淘宝店铺:https://shop249445206.taobao.com/ 掌柜旺旺:新一文化