当前位置:首页>文档>三模_2025年12月_251204辽宁省沈阳市东北育才学校2026届高三上学期第三次模拟考试_政治

三模_2025年12月_251204辽宁省沈阳市东北育才学校2026届高三上学期第三次模拟考试_政治

  • 2026-04-11 15:57:46 2026-02-08 12:42:13

文档预览

三模_2025年12月_251204辽宁省沈阳市东北育才学校2026届高三上学期第三次模拟考试_政治
三模_2025年12月_251204辽宁省沈阳市东北育才学校2026届高三上学期第三次模拟考试_政治
三模_2025年12月_251204辽宁省沈阳市东北育才学校2026届高三上学期第三次模拟考试_政治
三模_2025年12月_251204辽宁省沈阳市东北育才学校2026届高三上学期第三次模拟考试_政治
三模_2025年12月_251204辽宁省沈阳市东北育才学校2026届高三上学期第三次模拟考试_政治
三模_2025年12月_251204辽宁省沈阳市东北育才学校2026届高三上学期第三次模拟考试_政治
三模_2025年12月_251204辽宁省沈阳市东北育才学校2026届高三上学期第三次模拟考试_政治
三模_2025年12月_251204辽宁省沈阳市东北育才学校2026届高三上学期第三次模拟考试_政治
三模_2025年12月_251204辽宁省沈阳市东北育才学校2026届高三上学期第三次模拟考试_政治
三模_2025年12月_251204辽宁省沈阳市东北育才学校2026届高三上学期第三次模拟考试_政治
三模_2025年12月_251204辽宁省沈阳市东北育才学校2026届高三上学期第三次模拟考试_政治
三模_2025年12月_251204辽宁省沈阳市东北育才学校2026届高三上学期第三次模拟考试_政治
三模_2025年12月_251204辽宁省沈阳市东北育才学校2026届高三上学期第三次模拟考试_政治

文档信息

文档格式
docx
文档大小
1.070 MB
文档页数
9 页
上传时间
2026-02-08 12:42:13

文档内容

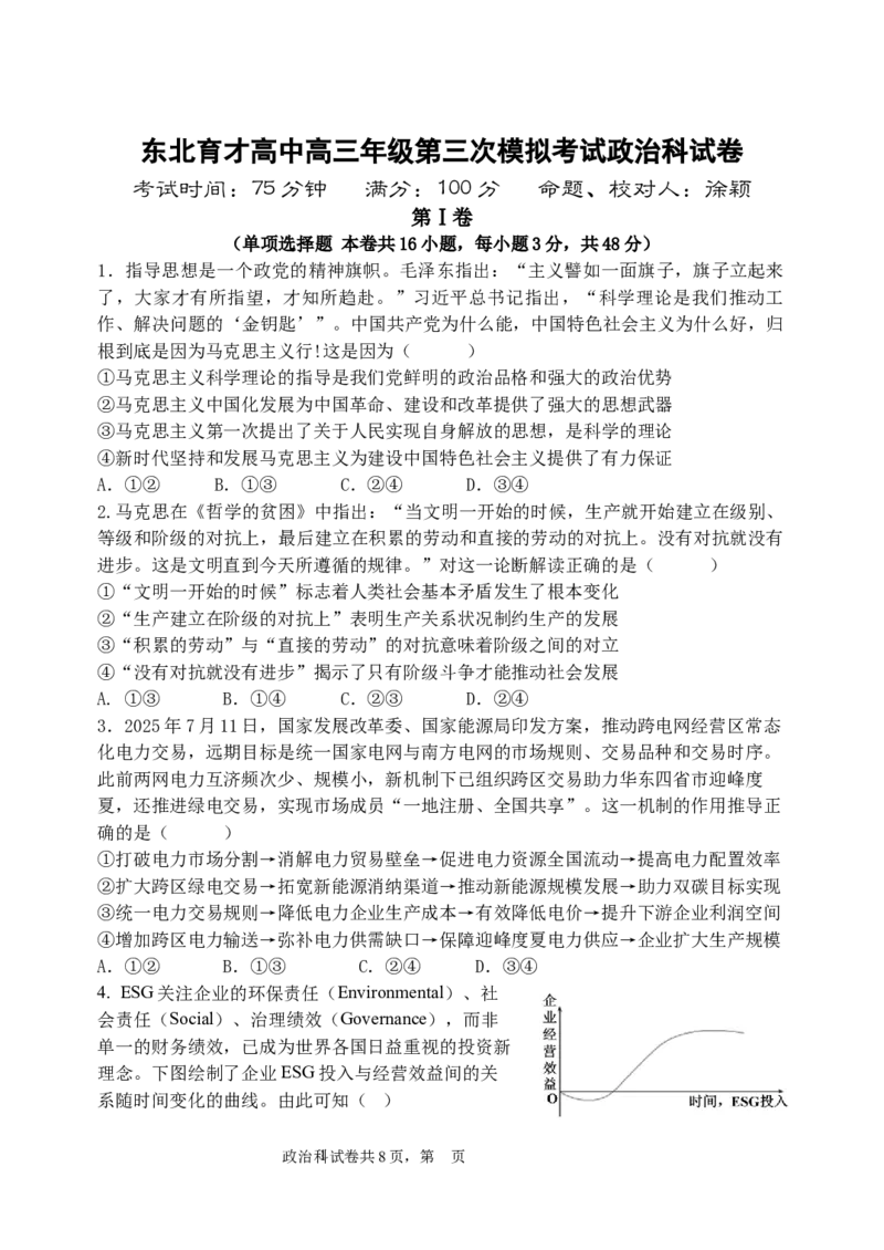
东北育才高中高三年级第三次模拟考试政治科试卷 考试时间:75分钟 满分:100分 命题、校对人:徐颖 第Ⅰ卷 (单项选择题 本卷共16小题,每小题3分,共48分) 1.指导思想是一个政党的精神旗帜。毛泽东指出:“主义譬如一面旗子,旗子立起来 了,大家才有所指望,才知所趋赴。”习近平总书记指出,“科学理论是我们推动工 作、解决问题的‘金钥匙’”。中国共产党为什么能,中国特色社会主义为什么好,归 根到底是因为马克思主义行!这是因为( ) ①马克思主义科学理论的指导是我们党鲜明的政治品格和强大的政治优势 ②马克思主义中国化发展为中国革命、建设和改革提供了强大的思想武器 ③马克思主义第一次提出了关于人民实现自身解放的思想,是科学的理论 ④新时代坚持和发展马克思主义为建设中国特色社会主义提供了有力保证 A.①② B.①③ C.②④ D.③④ 2.马克思在《哲学的贫困》中指出:“当文明一开始的时候,生产就开始建立在级别、 等级和阶级的对抗上,最后建立在积累的劳动和直接的劳动的对抗上。没有对抗就没有 进步。这是文明直到今天所遵循的规律。”对这一论断解读正确的是( ) ①“文明一开始的时候”标志着人类社会基本矛盾发生了根本变化 ②“生产建立在阶级的对抗上”表明生产关系状况制约生产的发展 ③“积累的劳动”与“直接的劳动”的对抗意味着阶级之间的对立 ④“没有对抗就没有进步”揭示了只有阶级斗争才能推动社会发展 A. ①③ B.①④ C.②③ D.②④ 3.2025年7月11日,国家发展改革委、国家能源局印发方案,推动跨电网经营区常态 化电力交易,远期目标是统一国家电网与南方电网的市场规则、交易品种和交易时序。 此前两网电力互济频次少、规模小,新机制下已组织跨区交易助力华东四省市迎峰度 夏,还推进绿电交易,实现市场成员“一地注册、全国共享”。这一机制的作用推导正 确的是( ) ①打破电力市场分割→消解电力贸易壁垒→促进电力资源全国流动→提高电力配置效率 ②扩大跨区绿电交易→拓宽新能源消纳渠道→推动新能源规模发展→助力双碳目标实现 ③统一电力交易规则→降低电力企业生产成本→有效降低电价→提升下游企业利润空间 ④增加跨区电力输送→弥补电力供需缺口→保障迎峰度夏电力供应→企业扩大生产规模 A.①② B.①③ C.②④ D.③④ 4. ESG关注企业的环保责任(Environmental)、社 会责任(Social)、治理绩效(Governance),而非 单一的财务绩效,已成为世界各国日益重视的投资新 理念。下图绘制了企业ESG投入与经营效益间的关 系随时间变化的曲线。由此可知( ) 政治科1试卷共8页,第 页①ESG投入越多,企业的经营效益越好 ②长期的ESG投入能够给企业带来品牌溢价 ③短期的ESG投入可能导致企业经营效益下滑 ④ESG理念反映出企业核心竞争优势发生转变 A. ①③ B.①④ C.②③ D.②④ 5.无人机穿行在高楼大厦间送外卖,“空中的士”成为出行新选择,农业无人机春耕 显身手……当前,“低空经济”应用场景不断扩展。 促进“低空经济”发展,下列说法正确的是( ) ①提升民营经济市场地位,增加航空领域市场主体 ②政府完善相关政策法规,优化“低空经济”服务 ③强化产学研深度融合,以创新提升价值链 ④推广“低空+”应用场景,进而在上游占领“低空经济”产业链高地 A.①② B.①④ C.②③ D.③④ 6. 习近平总书记在贵州考察时强调,要坚持党性党风党纪一起抓、正风肃纪反腐相贯 通,在铲除腐败滋生的土壤和条件上常抓不懈。坚持党性党风党纪一起抓( ) ①为深入推进新时代党的建设新的伟大工程指明了方向 ②是党百余年历经磨难仍不断开创历史伟业的根本动力 ③已经成为党始终走在时代前列、永葆生机活力的法宝 ④是新时代以党的自我革命引领伟大社会革命的坚强保证 A.①③ B.①④ C.②③ D.②④ 7. 2025年9月12日,十四届全国人大常委会第十七次会议表决通过《中华人民共和国 法治宣传教育法》,自2025年11月1日起施行。“习近平法治思想”首次入法,明确 了法治宣传教育坚持的正确政治方向和科学理论指引。材料说明( ) ①法治宣传教育坚持以习近平法治思想为指引 ②全国人大常委会通过行使立法权制定实施法律 ③法治宣传教育是全面推进依法治国的力量源泉 ④要以法治方式推动保障法治宣传教育全面发展 A.①② B.①④ C.②③ D.③④ 8. 某县人民政协积极推动政协委员履职“下沉”。面对社区群众遇到的养老、托幼等 问题,委员们会同政府部门负责人、社区干部、物业负责人、群众代表等发起一场场专 政治科2试卷共8页,第 页题协商会,找到各方都接受的解决方案。这表明( ) ①民主协商贯穿基层治理的全过程 ②政协委员履职“下沉”推动了基层协商 ③广泛协商能为基层决策凝聚共识 ④政治协商是人民政协的职能之一 A.①② B.①④ C.②③ D.③④ 9. 2025年3月,河北省政府印发立法工作计划,将《河北省民营经济发展促进条例》 等30件法规项目纳入规划,聚焦民生福祉等领域;4月,石家庄市新华区人大常委会通 过实地调研、代表座谈,制定“小餐桌”管理决定,推动多部门联合整治安全隐患。这 一实践体现的道理是( ) ①省级立法聚焦民生领域,说明国家职能的核心是维护经济秩序 ②人大调研后制定管理决定,印证政体运行要体现人民当家作主 ③多部门联合落实整治要求,表明国家机构按民主集中制原则运行 ④法规计划与管理决定的出台,体现我国政体是人民民主专政的保障 A.①② B.②③ C.①④ D.③④ 10.任某以名下的汽车做质押向袁某借款,期限一年,并签订《质押合同》,约定任某 逾期未还款,袁某可全权处置质押车辆。半年后,任某意外死亡,袁某擅自将该车辆出 售。任某继承人欲将袁某诉至法院,请求承担赔偿责任。针对上述纠纷,说法正确的是 ( ) ①袁某行为违反诚信原则、守法原则②双方签订的《质押合同》属于物证 ③双方也可以签订协议通过仲裁解决纠纷④任某去世后车辆所有权自动转移给袁某 A.①② B.①③ C.②④ D.③④ 11. 方某在某票务平台同时在线购买两张演唱会门票。票务须知载明:购票后48小时 内可办理无条件退票。在销售阶段同一购票人、同一购票账户仅享有一次退票权益。因 行程有变,方某向平台申请退票,其中一张退票成功,另一张被拒绝退票。经方某多次 请求,该平台仅向方某退还第二张票款的80%。双方发生争议。对此,下列认识正确的 是( ) ①票务须知属于格式条款,若不合理免除平台责任则条款无效 ②平台未经方某同意变更退款比例,违反合同履行的诚信原则 ③若方某能证明行程变更因不可抗力所致,则平台应全额退款 ④方某可向消费者协会投诉,请求协会责令平台退还剩余票款 A.①② B.②③ C.①④ D.③④ 12. 小彬(13岁)与其父亲在某市滨江路共骑自行车,在此期间,小彬因逆行意外撞击 了正向骑行的宋先生,造成宋先生受伤、宋先生自行车损坏。事故发生后,由于双方意 见存在分歧,宋先生遂将小彬及其父母诉至法院。据此,下列说法正确的是( ) ①宋先生如未能有效避让,应当减轻小彬一方的责任 ②被告如要求减轻其责任,须对其主张承担举证责任 ③小彬父母作为监护人,对该事故承担过错推定责任 ④小彬的行为已损害他人合法权益,应承担侵权责任 政治科3试卷共8页,第 页A.①② B.①③ C.②④ D.③④ 13. 2025年7月以来,科研人员在南沙群岛 永暑礁近岸海域持续监测到国家一级保护动 物儒艮活动。儒艮是海牛目儒艮科唯一现存 海洋物种,被民间称为“美人鱼”,是地球 上最古老的海洋哺乳动物之一。根据逻辑思 维的基本要求,由下图三个判断可推出 ( ) ①有些国家一级保护动物不是儒艮 ②所有国家一级保护动物都是儒艮 ③有些儒艮生活在海洋,且有些儒艮是国家 一级保护动物 ④有些生活在海洋的动物是儒艮,或有些生活在海洋的动物是国家一级保护动物 A.①② B.①③ C.②④ D.③④ 14. 2025年,《生态毒理学和环境安全》 刊发的一项研究为我们揭开了卧室灯光与 血糖代谢之间的关联。这项研究招募了 256名学生,通过测量他们卧室连续两天 的光照情况,发现卧室的光照强度每增加 一个标准差,他们的胰岛素水平就会上 升,这无疑会增加人们患2型糖尿病的风 险。该项研究( ) ①运用了不完全归纳推理方法 ②依托形象思维揭示事物本质 ③大胆打破了逻辑思维的限制 ④用共变法找到事物间的关系 A.①③ B.①④ C.②③ D.②④ 15.作为大规模新型储能手段,盐穴压缩空气储 能技术近年来迅速发展,依托这一技术所建电站 被形象地称为“空气充电宝”。在电力需求低谷 时段,电站如同“打气筒”,将大量空气压缩并 注入地下千米废弃盐穴中,以高压形态安全储 存。当电力需求激增时,这些被储存的空气则被 释放,通过精密的发电装置,利用空气膨胀原理 高效转化为电能,有效缓解用电高峰压力。下列 说法正确的是( ) A.用“空气充电宝”模拟其工作机制,犯了“机械类比”的错误 政治科4试卷共8页,第 页B.该技术的运用坚持用实践的观点看问题 C.该技术运用聚合思维的信息交合法有利于集中信息解决问题 D.用废弃盐穴逆向思考储能,是对事物之间因果关系做转换性思考 16. 2025年,在“沙漠绿化”项目推进中,我国科研团队先通过卫星遥感调查沙漠植被 覆盖率、降水分布等数据,再结合当地气候模型,预测未来5年的沙漠变化趋势,最终 确定“固沙+种植耐旱灌木”的方案。该团队( ) ①运用调查研究法,为超前思维提供客观依据 ②通过推理和想象,预测沙漠治理的发展趋势 ③具有超前意识,正确判断了沙漠发展的未来实际状况 ④利用超前思维的前瞻性功能,实现创新思维步骤的跨越 A.①② B.①④ C.②③ D.③④ 第Ⅱ卷 (非选择题 本卷共5小题,共52分) 17. 阅读材料,完成下列要求。(8分) 当数字浪潮席卷而来,如何让景德镇的千年窑火在网络空间中散发时代魅力? 在数字技术重构文化生产方式的今天,景德镇陶瓷文化的传承创新亟需突破传统 路径依赖,从政策、平台、人才三个方面,构建战略支撑体系。政府应通过设立专项基 金、制定数据采集标准、完善知识产权保护等政策“工具包”,为陶瓷文化数字化提供 制度保障。打造集文化展示、在线交易、虚拟体验于一体的综合平台,需要突破数字技 术困境。借鉴故宫博物院数字文物库的成功经验,景德镇可建立陶瓷文物3D模型数据 库,运用区块链技术实现数字藏品的唯一性确权。在生态培育方面,抖音平台“景德镇 陶瓷”话题超百亿次播放量的实践表明,通过举办线上创意大赛、开设大师直播工坊等 形式,能有效激活用户生成内容(UGC)的传播动能。景德镇陶瓷大学通过多专业交叉 与产学研联动,已构建完善的创意、创新、创业“三创合一”人才培养模式,陶溪川文 创街区通过设立数字艺术研究院、开展国际数字工匠培训计划,培养既通晓传统制瓷技 艺又掌握数字媒体技术的创新型人才。 结合材料,运用《经济与社会》相关知识,分析景德镇应如何通过数字技术推动陶 瓷文化产业的创新发展。(8分) 政治科5试卷共8页,第 页18. 阅读材料,完成下列要求。(12分) “后陈经验”是习近平总书记在浙江工作期间亲自总结推广的基层治理经验。 “后陈经验”高度契合“六个必须坚持”这一习近平新时代中国特色社会主义思想的世 界观和方法论。 20多年前,浙江金华武义县后陈村村务管理不透明,村集体和村民之间横亘着一 道无形的隔阂。武义县委认真吃透中央精神,指导村支部鼓励群众勇于创新、善于实 践。2004年6月,经过全村户主的讨论,后陈村成立村务监督委员会。经村民代表表 决,通过了《后陈村村务管理制度》和《后陈村村务监督制度》,村里的每件事怎么 办、每笔钱如何花,都要由村监会监督。2005年6月17日,时任中共浙江省委书记的 习近平同志来到后陈村指导调研,并总结提炼为“后陈经验”。村务监督委员会制度先 后写入《中华人民共和国村民委员会组织法》《中国共产党农村基层组织工作条例》, 由“治村之计”上升为“治国之策”。这一有益探索也随时代发展不断完善、推广。 将权力置于阳光之下,将信任根植于群众心中,“后陈经验”历久弥新。结合材 料,运用政治与法治知识,阐明“后陈经验”的时代价值。(12分) 19. 阅读材料,完成下列要求。(9分) 近年来,为深入践行人民城市理念,推动城市高质量发展,各地积极推动城市 “边角料”空间的多元化、立体化与复合化利用。某市跨海大桥引桥下原有180处闲置 地块,平均面积不足600平方米,因车辆噪音较大而长期未能有效利用。同时,该市体 育局联合高校开展调研发现,引桥周边500米范围内有3.2万名从业人员,他们在工作 间隙平均拥有10分钟左右的碎片化闲置时间。基于此,该市设计团队实施了一系列创 新措施,把闲置地块规划为从业人员的运动场地。引入“静音型”专业器械,将桥下噪 音巧妙转化为舒适背景音。改变器械的传统地面安装方式,将器械悬挂于引桥立柱,以 释放更多活动空间。并在引桥周边500米范围内增设多个运动入口,引导附近工作者便 捷进入该区域锻炼。由此,“闲置地块”成功转型为“活力健身场”,“闲置十分钟” 也被重塑为“黄金健身十分钟”。 结合材料,运用《逻辑与思维》中逆向思维的具体方法,说明该市改造提升城市 “边角料”空间的思路。(9分) 政治科6试卷共8页,第 页20. 阅读材料,完成下列要求。(16分) 甲公司计划制作“古风服饰推广短视频”,通过乙公司运营的“AI焕颜”平台下 单:约定由乙公司提供AI换脸技术服务,将甲公司拍摄的服饰展示视频中的模特面 部,替换为演员林某的肖像(林某曾公开表示反对AI换脸);乙公司在与甲公司微信 沟通时承诺“所用技术符合法律规定,生成内容无侵权风险”,甲公司预付服务费8000 元,并约定违约金1万元。 视频生成后,甲公司发现乙公司用于训练换脸模型的林某肖像素材,未经林某授 权;生成视频中,林某的面部表情、姿态与林某早年主演的古装剧片段高度相似,该片 段著作权归某影视公司所有。甲公司以乙公司违约为由,要求乙公司承担违约责任,遭 乙公司拒绝。甲公司以乙公司为被告,向人民法院提起民事诉讼。 (1)请根据上述事实,运用《法律与生活》知识,帮助甲公司补充完成下面的民事起 诉状。(10分) 政治科7试卷共8页,第 页民事起诉状原告:甲公司住所:甲公司营业执照登记住所法定代表人:×× 被告:乙公司住所:乙公司营业执照登记住所法定代表人:×× 诉讼请求: ·判令解除原告甲公司与被告乙公司的AI技术服务合同; ·判令 ① ; ·判令 ② ; ·判令被告承担本案全部诉讼费用。事实与理由: 事实:原告与被告签订AI换脸服务合同,约定被告提供合规技术服务,原告预 付服务费8000元;被告未经授权使用林某肖像训练模型,生成视频与某影视公司作品 构成实质性相似。 理由: ③ 综上所述,原告为了维护自己的合法权益,现依法向人民法院提起诉讼,恳请人 民法院支持原告全部诉讼请求。 此致××人民法院 附:本诉状副本1份 证据: 略 证据来源(略) 起 诉人:甲公司 × ×××年××月××日 此纠纷引发网友热烈讨论,以下是三位网友的观点: 网友甲:我支持乙公司。只要用户上传侵权的素材,AI换脸就构成侵权。乙公司没有上 传侵权素材,所以就不构成侵权。 网友乙:乙公司应当承担侵权责任。所有需要承担侵犯著作财产权责任的行为都是未经 授权使用他人知识产权的行为,乙公司的AI换脸服务是未经授权使用他人知识产权的行 为,所以,乙公司应承担侵权责任。 网友丙:你们俩说得都不对。我既不赞同‘乙公司构成违约侵权’,也不赞同‘乙公司 不构成违约侵权’,毕竟技术问题太复杂,哪能轻易下结论。 (2)运用《逻辑与思维》知识,分析材料中甲、乙、丙三人观点的逻辑错误。(6分) 21. 阅读材料,完成下列要求。(7分) 政治科8试卷共8页,第 页党的十八大以来,在新时代党的治疆方略指引下,新疆坚持以铸牢中华民族共同体 意识为主线,颁布实施民族团结进步模范区创建条例,建成各级各类爱国主义教育基地 471个、一批全国民族团结进步示范区示范单位和教育基地。积极推动各族群众在空 间、文化、经济、社会、心理等方面全方位嵌入,促进各民族像石榴籽一样紧紧抱在一 起。加快构建特色优势现代化产业体系,提升生态安全保障能力,深入推进文化润疆, 繁荣发展各民族文化,持续织密民生保障网。2012年以来,中央财政累计对新疆转移支 付超4万亿元,19个援疆单位累计投入资金超2 000亿元。今天的新疆,社会安定、发 展蓬勃。 明天必将更加美好。 如果学校要举行“建设美丽新疆共圆伟大梦想”的主题演讲会,请运用《政治与法 治》知识并结合材料写出发言提纲。(7分) (要求:逻辑清晰,表述科学,字数150-200之间) 政治科9试卷共8页,第 页