文档
办公文件
生活文档
学习资料
当前位置:
首页
>
文档
>山西省大同市2026届高三上学期第一次学情调研教学质量监测(高二下学期期末)数学试卷(含答案)_2025年7月
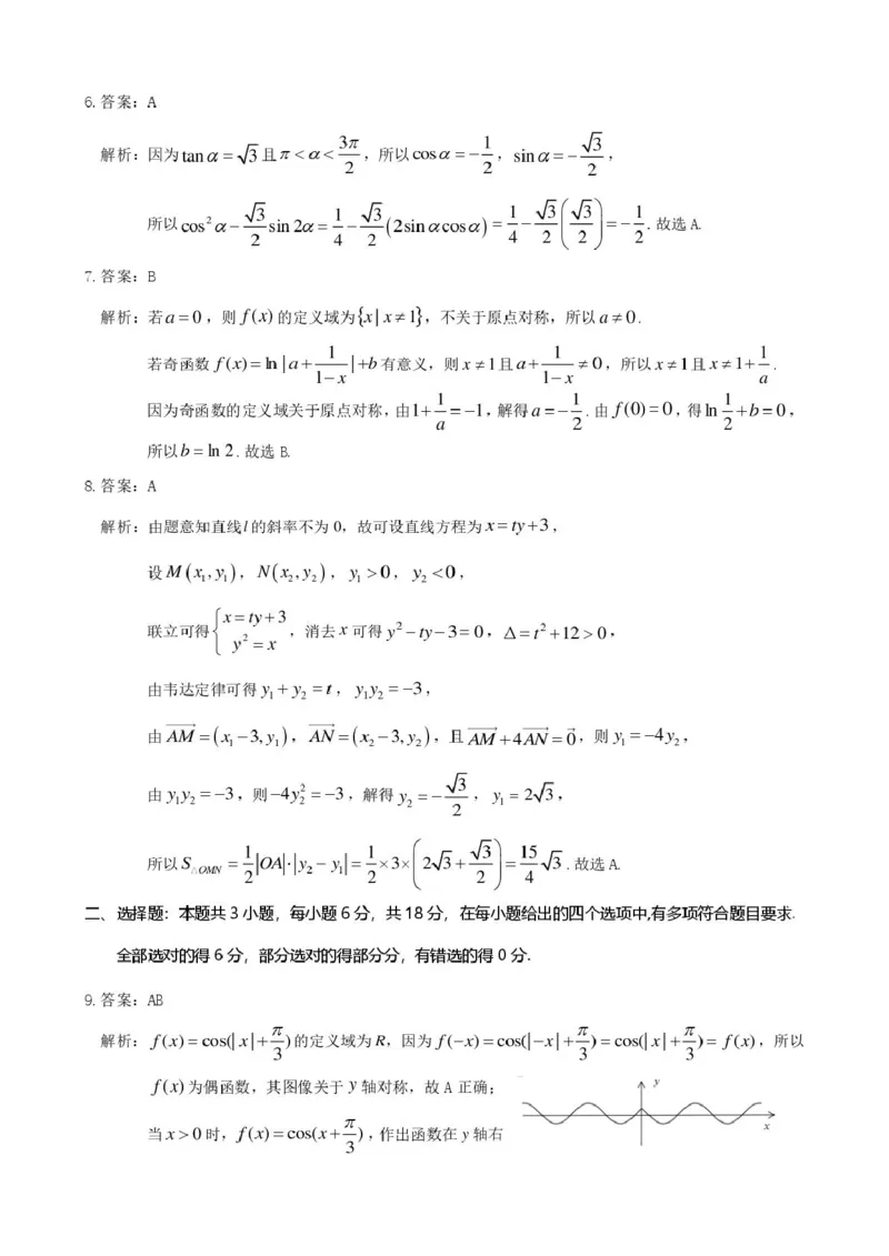
山西省大同市2026届高三上学期第一次学情调研教学质量监测(高二下学期期末)数学试卷(含答案)_2025年7月
2026-04-09 10:25:57
2026-02-08 17:27:17
文档预览
文档信息
文档格式
pdf
文档大小
36.763 MB
文档页数
12 页
上传时间
2026-02-08 17:27:17
下载文档
本文档来自网络内容,如有侵犯您的权益请联系我们删除,联系邮箱:wyl860211@qq.com。
上一篇
津仕教育重要讲话_26吉林考备考资料包_08公共基础知识资料+试题_公基常识-分类汇总
下一篇
福建省2018年中考英语真题试题(A卷,含解析)_中考真题_3.英语中考真题2015-2024年_2018年全国中考YINGYU209份
最新文档
板块7第17单元第54讲 现代西方的基层治理、社会保障、医疗卫生与货币体系_07高考历史_2024年新高考资料_1.2024一轮复习_2024年高考历史一轮复习讲义(部编版)_学生版在此文件夹
板块7第17单元第53讲 当代中国的外交_07高考历史_2024年新高考资料_1.2024一轮复习_2024年高考历史一轮复习讲义(部编版)_学生版在此文件夹_学生用书Word版文档_大一轮复习讲义
板块7第16单元训练52 近代西方人口迁徙和文化的扩张与交融_07高考历史_2024年新高考资料_1.2024一轮复习_2024年高考历史一轮复习讲义(部编版)_学生版在此文件夹_学生用书Word版文档
板块7第16单元训练51 近代西方的商业贸易与社会生活_07高考历史_2024年新高考资料_1.2024一轮复习_2024年高考历史一轮复习讲义(部编版)_学生版在此文件夹_学生用书Word版文档
板块7第16单元训练50 近代西方的法律教化与文官制度_07高考历史_2024年新高考资料_1.2024一轮复习_2024年高考历史一轮复习讲义(部编版)_学生版在此文件夹_学生用书Word版文档
第01讲导数的概念及其意义、导数的运算(十二大题型)(练习)(原卷版)(1)_2025年新高考资料_一轮复习_2025年高考数学一轮复习讲练测(新教材新高考,含2024高考真题)
板块7第16单元训练49 近代西方民族国家与国际法的发展_07高考历史_2024年新高考资料_1.2024一轮复习_2024年高考历史一轮复习讲义(部编版)_学生版在此文件夹_学生用书Word版文档
板块7第16单元训练48 近代以来中国的税收与社会保障_07高考历史_2024年新高考资料_1.2024一轮复习_2024年高考历史一轮复习讲义(部编版)_学生版在此文件夹_学生用书Word版文档
板块7第16单元第52讲 近代西方人口迁徙和文化的扩张与交融_07高考历史_2024年新高考资料_1.2024一轮复习_2024年高考历史一轮复习讲义(部编版)_学生版在此文件夹_学生用书Word版文档
板块7第16单元第51讲 近代西方的商业贸易与社会生活_07高考历史_2024年新高考资料_1.2024一轮复习_2024年高考历史一轮复习讲义(部编版)_学生版在此文件夹_学生用书Word版文档
热门文档
板块7第16单元第50讲 近代西方的法律教化与文官制度_07高考历史_2024年新高考资料_1.2024一轮复习_2024年高考历史一轮复习讲义(部编版)_学生版在此文件夹_学生用书Word版文档
板块7第16单元第49讲 近代西方民族国家与国际法的发展_07高考历史_2024年新高考资料_1.2024一轮复习_2024年高考历史一轮复习讲义(部编版)_学生版在此文件夹_学生用书Word版文档
板块7第16单元第48讲 近代以来中国的税收与社会保障_07高考历史_2024年新高考资料_1.2024一轮复习_2024年高考历史一轮复习讲义(部编版)_学生版在此文件夹_学生用书Word版文档
板块7第15单元训练47 世界古代的政治制度和人类迁徙与战争_07高考历史_2024年新高考资料_1.2024一轮复习_2024年高考历史一轮复习讲义(部编版)_学生版在此文件夹_学生用书Word版文档
板块7第15单元训练46 世界古代的食物生产、商业贸易与居住环境_07高考历史_2024年新高考资料_1.2024一轮复习_2024年高考历史一轮复习讲义(部编版)_学生版在此文件夹_一轮复习64练
板块7第15单元训练45 中国古代的优秀传统文化_07高考历史_2024年新高考资料_1.2024一轮复习_2024年高考历史一轮复习讲义(部编版)_学生版在此文件夹_学生用书Word版文档_一轮复习64练
板块7第15单元训练44 中国古代的户籍制度与社会治理_07高考历史_2024年新高考资料_1.2024一轮复习_2024年高考历史一轮复习讲义(部编版)_学生版在此文件夹_学生用书Word版文档
第01讲导数的概念、运算及几何意义(教师版)_2025年新高考资料_一轮复习_备战2025年高考数学一轮复习考点帮_备战2025年高考数学一轮复习考点帮(新高考通用)(完结)
板块7第15单元训练43 中国古代的法律与教化_07高考历史_2024年新高考资料_1.2024一轮复习_2024年高考历史一轮复习讲义(部编版)_学生版在此文件夹_学生用书Word版文档_一轮复习64练
板块7第15单元第47讲 世界古代的政治制度和人类迁徙与战争_07高考历史_2024年新高考资料_1.2024一轮复习_2024年高考历史一轮复习讲义(部编版)_学生版在此文件夹_学生用书Word版文档
随机文档
一(上)语文专项-小学学霸冲A卷(1)_小学1-6年级常用的上册资源汇总_一年级上册资料
板块7第15单元第46讲 世界古代的食物生产、商业贸易与居住环境_07高考历史_2024年新高考资料_1.2024一轮复习_2024年高考历史一轮复习讲义(部编版)_学生版在此文件夹_大一轮复习讲义
板块7第15单元第45讲 中国古代的优秀传统文化_07高考历史_2024年新高考资料_1.2024一轮复习_2024年高考历史一轮复习讲义(部编版)_学生版在此文件夹_学生用书Word版文档_大一轮复习讲义
板块7第15单元第44讲 中国古代的户籍制度与社会治理_07高考历史_2024年新高考资料_1.2024一轮复习_2024年高考历史一轮复习讲义(部编版)_学生版在此文件夹_学生用书Word版文档
板块7第15单元第43讲 中国古代的法律与教化_07高考历史_2024年新高考资料_1.2024一轮复习_2024年高考历史一轮复习讲义(部编版)_学生版在此文件夹_学生用书Word版文档_大一轮复习讲义
一(上)语文-24秋看拼音写词语和给汉字注音(1)_小学1-6年级常用的上册资源汇总_一年级上册资料
板块6阶段检测(六) 世界现代史_07高考历史_2024年新高考资料_1.2024一轮复习_2024年高考历史一轮复习讲义(部编版)_学生版在此文件夹_学生用书Word版文档_一轮复习64练
一(上)语文-24秋看图给汉字注音(1)_小学1-6年级常用的上册资源汇总_一年级上册资料
板块6综合提升(六) 世界现代史_07高考历史_2024年新高考资料_1.2024一轮复习_2024年高考历史一轮复习讲义(部编版)_学生版在此文件夹_学生用书Word版文档_大一轮复习讲义
一(上)语文-24秋生字注音拼音写汉字练习_小学1-6年级常用的上册资源汇总_一年级上册资料