当前位置:首页>文档>2025届湖南省长郡二十校联盟(新高考教学教研联盟)高三下学期第二次预热演练历史试题+答案_2025年2月_2502052025届湖南长郡二十校联盟高三上学期第二次预热演练

2025届湖南省长郡二十校联盟(新高考教学教研联盟)高三下学期第二次预热演练历史试题+答案_2025年2月_2502052025届湖南长郡二十校联盟高三上学期第二次预热演练

  • 2026-03-24 21:48:13 2026-02-10 17:42:10

文档预览

2025届湖南省长郡二十校联盟(新高考教学教研联盟)高三下学期第二次预热演练历史试题+答案_2025年2月_2502052025届湖南长郡二十校联盟高三上学期第二次预热演练
2025届湖南省长郡二十校联盟(新高考教学教研联盟)高三下学期第二次预热演练历史试题+答案_2025年2月_2502052025届湖南长郡二十校联盟高三上学期第二次预热演练
2025届湖南省长郡二十校联盟(新高考教学教研联盟)高三下学期第二次预热演练历史试题+答案_2025年2月_2502052025届湖南长郡二十校联盟高三上学期第二次预热演练
2025届湖南省长郡二十校联盟(新高考教学教研联盟)高三下学期第二次预热演练历史试题+答案_2025年2月_2502052025届湖南长郡二十校联盟高三上学期第二次预热演练
2025届湖南省长郡二十校联盟(新高考教学教研联盟)高三下学期第二次预热演练历史试题+答案_2025年2月_2502052025届湖南长郡二十校联盟高三上学期第二次预热演练
2025届湖南省长郡二十校联盟(新高考教学教研联盟)高三下学期第二次预热演练历史试题+答案_2025年2月_2502052025届湖南长郡二十校联盟高三上学期第二次预热演练
2025届湖南省长郡二十校联盟(新高考教学教研联盟)高三下学期第二次预热演练历史试题+答案_2025年2月_2502052025届湖南长郡二十校联盟高三上学期第二次预热演练
2025届湖南省长郡二十校联盟(新高考教学教研联盟)高三下学期第二次预热演练历史试题+答案_2025年2月_2502052025届湖南长郡二十校联盟高三上学期第二次预热演练
2025届湖南省长郡二十校联盟(新高考教学教研联盟)高三下学期第二次预热演练历史试题+答案_2025年2月_2502052025届湖南长郡二十校联盟高三上学期第二次预热演练
2025届湖南省长郡二十校联盟(新高考教学教研联盟)高三下学期第二次预热演练历史试题+答案_2025年2月_2502052025届湖南长郡二十校联盟高三上学期第二次预热演练
2025届湖南省长郡二十校联盟(新高考教学教研联盟)高三下学期第二次预热演练历史试题+答案_2025年2月_2502052025届湖南长郡二十校联盟高三上学期第二次预热演练
2025届湖南省长郡二十校联盟(新高考教学教研联盟)高三下学期第二次预热演练历史试题+答案_2025年2月_2502052025届湖南长郡二十校联盟高三上学期第二次预热演练
2025届湖南省长郡二十校联盟(新高考教学教研联盟)高三下学期第二次预热演练历史试题+答案_2025年2月_2502052025届湖南长郡二十校联盟高三上学期第二次预热演练
2025届湖南省长郡二十校联盟(新高考教学教研联盟)高三下学期第二次预热演练历史试题+答案_2025年2月_2502052025届湖南长郡二十校联盟高三上学期第二次预热演练
2025届湖南省长郡二十校联盟(新高考教学教研联盟)高三下学期第二次预热演练历史试题+答案_2025年2月_2502052025届湖南长郡二十校联盟高三上学期第二次预热演练

文档信息

文档格式
docx
文档大小
0.237 MB
文档页数
11 页
上传时间
2026-02-10 17:42:10

文档内容

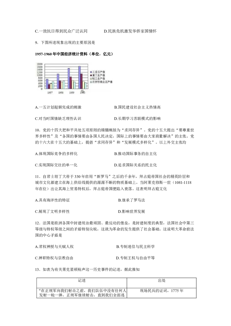
2025届湖南省长郡二十校联盟(新高考教学教研联盟)高三下学期第二次预热演练 历史试题 一、选择题:本大题共16小题,每小题3分,共48分。每小题所给出的四个选项中,只有一 个最符合题目要求。 1.下表中的先秦文献可以用来说明 史料 出处 克明俊德,以亲九族;九族既睦,平章百姓 《尚书·尧典》 民生之所欲,天必从之 《尚书·秦爷》 君子以容民畜众 《周易》 君子以振民育德 《易·盅》 A.统治者重视百姓监督 B.民本思想植根于历史传统 C.天命观发生根本改变 D.儒家仁政思想已深入人心 2.战国时期,各国官营手工业都有一定数量的雇佣工匠,而秦朝建立后,官营手工业中的劳 动者是服役的工匠,刑徒和奴婢。这反映 A.战国手工业水平相对领先于秦朝 B.秦朝经济政策阻碍了手工业进步 C.秦统一后强化了重农抑商的政策 D.大一统国家加强了对人口的控制 3.春秋时期外交“是循着由重视道德的作用,而趋向重现实的利益;由崇尚礼、信,而 趋向诈伪和计谋的轨迹发展的”。这一变化 A.是应对时局的必然选择 B.表明外交思想日臻成熟 C.体现了儒法势力的消长 D.使列国间利益冲突加剧 4.隋文帝开皇年间,陆法言编订《切韵》一书,据陆法言所说,《切韵》之目的在于创 建一个可以广泛应用的音韵之规范。他还指出,当时各地的文人发音都非雅音,所以非常 需要如此韵书。《切韵》的编订 A.便利了文化交流 B.扩大了选官基础 C.实现了思想统一 D.推动了方言传播 5.如图呈现的是辽代人口迁移路线情况。人口迁入A.呈双向流动的特征 B.缘于海外贸易的繁荣 C.利于当地经济发展 D.受重农抑商政策影响 6.下面是两首明清时期的民间歌谣。据此可推知,明清时期 歌名 诗词 赤日炎炎 赤日炎炎似火烧,野田禾稻半枯焦。农夫心里如汤煮,公子王孙把扇摇。 迎闯王 吃他娘,着他娘,吃着不够有闯王。不当差,不纳粮,大家快活过一场。 A.封建统治暗含着危机 B.文学创作脱离了现实 C.西方启蒙思想冲击理学权威 D.清朝时期满汉矛盾尖锐 7.孙中山在20世纪20年代曾提出“耕者有其田”的口号,但国民党当政后并没有实行这 一政策。后来,中国共产党发动土地革命,使数百万无地少地的农民获得土地。这一举措 有助于 A.北伐胜利进军 B.缓和阶级矛盾 C.巩固红色政权 D.团结城市小资产阶级 8.1936年9月20日,来自英、法、荷、德等国的华侨代表共450多人在巴黎成立全欧华侨 抗日救国联合会。大会的最高原则是“精诚团结,一致抗日”,目的在于“团结旅欧侨 胞......尤其促进全国上下的大团结,一致为祖国生存而战,为恢复失地而战”。这表明 A.地方派系影响抗日动员运动 B.抗日民族统一战线获得认同C.一致抗日得到民众广泛认同 D.民族危机激发华侨家国情怀 9.下图所述现象出现的主要原因是 1957-1960年中国经济统计资料(单位:亿元) A.一五计划超额完成的刺激 B.国民建设社会主义热情高 C.对当时国情缺乏理性认识 D.长期学习苏联模式的影响 10.党的十四大把和平共处五项原则的精髓概括为“求同存异”。党的十五大提出“要尊重世 界多样性”及“各国的事情要由各国人民决定,国际上的事情要由大家商量解决”的主张。党 的十六大在十五大的基础上,提倡“求同存异”和“发展模式多样化”。以上外交主张均 A.体现国际竞争的多样化 B.推动国际事务的自主化 C.实现国际交往的单一化 D.追求国际关系的民主化 11.自君士坦丁大帝于330年启用“新罗马”之后的千余年,拜占庭帝国社会的精英阶层和 城市文化都建立在海上供给线提供的源源不断的物质基础上。当阿莱克修斯一世(1081-1118 年在位)出让其海上贸易特权后,拜占庭帝国便陷入衰落。这表明拜占庭文化 A.具有海洋性的特征 B.继承了罗马法 C.展现了文明多样性 D.影响世界发展 12.法国是欧洲各国中封建统治最顽固、最反动的堡垒,是封建制度的典型,法国社会中第三 等级与特权等级之间的矛盾特别尖锐,这就为革命的发生提供了社会基础。这说明大革命前法 国的中心矛盾是 A.君权神授与天赋人权 B.专制迷信与民主科学 C.神职特权与宗教自由 D.专制王权与自由平等 13.如表为有关莱克星顿枪声这一历史事件的记述,据此推知 记述 出处 “在正规军向我们射击之前,我们队伍中没有任何人 现场民兵的证词,1775年 发射一枪一弹,正规军继续射击,直到我们全部逃逸。” “一旦我们接近他们,他们开了一或两枪,我们的人 英军中尉约翰·巴克日记,1775年 在没有命令之下匆忙射击,造成他们逃跑。” “(统率英军的少校说)他骑马上前,命令他们解 耶鲁学院校长斯泰尔斯日记,1775年 散,他们没有立刻照做......当他转身时,他听到了两 或三声枪响......民兵们逃命去了。“ A.英国士兵首先向北美民兵开枪 B.英国士兵遵照命令开火 C.北美民兵首先向英国士兵开枪 D.北美民兵并未坚守抗敌 14.下图为1903年俄国社会报刊所刊登的漫画。该漫画揭示出 图119《致(英法协约》》 (“法国高卢雄鸡一只爪子被绑在俄国熊身上,另一只被绑在英国狮子身上,为难地说道: “如果它们同时朝不同方向移动,那该怎么办?”“没有英俄协约补充的《英法协约》是对俄 法联盟的长期威胁。”) A.俄国转移矛盾的紧迫性 B.帝国主义发展的不平衡性 C.近代国际关系的复杂性 D.西欧国家间同盟的脆弱性 15.1958~1964年期间,苏联农业产量的年平均增长率只有1.7%,1964年苏联不得不从国外进 口粮食;1963年时,管理工业的机构不仅没有像原来设想的那样有所精简,反而扩大二三倍。 这说明前几年实行的经济体制改革没能发挥作用。符合材料中“经济体制改革”的内容是 A.用固定的粮食税代替余粮收集制 B.扩大集体农庄和国营农场的自主权 C.用经济管理方法代替原行政命令 D.调整所有制结构促进个体劳动者发展 16.西方现代主义文学先驱卡夫卡作品《城堡》主人公K,表面上拥有充分的自由,可是实际 上却处处碰壁;表面上在这个空间中拥有自由移动的权限,实际上有一道无形的墙拦在城堡和 他之间,给他的行动造成阻碍。据此可知这一作品A.体现了作者对社会现实极为不满 B.以具体性来再现典型环境和人物 C.表现了生活的危机和心态的扭曲 D.反映了二战后孤独和焦虑极端化 二、非选择题:本大题共4小题,共52分。 17.阅读材料,完成下列要求。(14分) 拜占庭帝国-东西方交流纽带 材料一 拜占庭帝国(395~1453年)处于欧亚大陆的交汇处,其核心地区位于欧洲东南部的 巴尔干半岛,领土也曾包括亚洲西部和非洲北部。拜占庭首都君士坦丁堡正处在欧亚大陆的黑 海与地中海的交通要道上,扼守东西方交通陆桥和南北航道要冲。从5世纪到15世纪,君士坦 丁堡一直扼守在古代的贸易交通要道上,是当时世界上最大的商业和船运中心。 巴比伦文明、埃及文明、波斯文明、希腊文明等大量的地域文化形态,都发生在这个地区。这 些不同的古代文化或文明,在性质上各有特点,表现形态各异。这种多样性的文化,在拜占庭 帝国形成的过程中必然会带来相互之间的碰撞、交流和融合。加之帝国疆域内的很多民族,在 漫长的时间内曾经受到过不同文化的反复浸染。从君士坦丁一世起、到查十丁尼一世等、拜占 庭就曾经历过大规模对外族的战争和领土扩张,先后征服了地中海周边的欧洲、小亚细亚、叙 利亚、埃及等大片区域。频繁的战争、多种自然灾害所导致的人们大规模的迁徙等,是社会生 产力发展低下情况下不同民族文化交流的通常方式。 -摘编自刘建军《拜占庭文化的历史价值新论》 材料二 拜占庭文化在西方文化发展史上起了承上启下、继往开来的重要作用,它是人类文化 宝库中重要的组成部分。 -摘编自陈志强《试论拜占庭文化在中世纪欧洲和东地中海文化发展中的地位和作用》 (1)根据材料并结合所学知识,分析拜占庭帝国成为东西方交流纽带的原因。(6分) (2)根据材料并结合所学知识,阐释材料二的观点。(8分) 18.清末民初是近代中国社会的转型时期,学校教育不断走向近代化。(16分) 材料一 关于近代教育发展的部分研究资料 文献史料 ① 《变法通议·论幼学》《西学书目表》,《时务报》,1896年 ② 北京大学校史馆藏《京师大学堂章程》,1898年7月 ③ 《论教育与国家之关系》,严复著,1906年 ④ 北京市档案馆藏《女子小学堂章程》和《女子师范学堂章程》》,1907年⑤ 《对于新教育之意见》,《东方杂志》,1912年 ⑥ 南京市档案馆藏《高等师范学校规程》,1913年8月 ⑦ 《上海函授大学招生》广告,《申报》,1925年8月 ⑧ 《英国之大学扩张事业》,《社会教育辅导》,1944年 ⑨ 《中国近代经济统计史资料选集》,严中平著.1955年 材料二 探究主题 甲 近代学校教育发展的原因 乙 对近代教育发展的趋势 丙 近代教育发展的影响 (1)按史料类型,将材料一中的文献史料进行分类并写出序号。(4分) (2)结合所学,参考材料一中的研究资料,从材料二中任选一个主题,说明选题意义,拟定 研究提纲,列出3-4个相关参考资料的序号。(12分) 要求:选题意义应结合历史背景,研究提纲应系统清晰,所列参考资料从标题上看须要密切联 系主题。 19.历史记忆的载体多样多源,历史试题则用它独有的方式承载着历史的记忆,下表列举了近 代以来中国高等学校招生考试时的部分历史(史地)类试题。阅读材料,完成下列要求。(10 分) 年代 试题来源 试题内容 埃及、美索不达米亚、印度、中国,均为世界文明古国。 1922年 北京大学入学考试历史试题 何以均发源于大河流域地方?试言其理。 1927年 交通大学入学考试历史试题 我辈青年有志救国,究应取何途径为上策,试各述所见。 试略述唐高宗时与明神宗时,中国对日本发生冲突之由来 1935年 浙江省高中会考历史试题 与结果。略述东晋与南宋两次民族迁移之由来与其影响。 日本在贸易经济方面,依赖于美国者甚多,试略述之。目 1941年 国立中央大学、浙江大学、 前在德国控制下欧洲国家有几?试列举其名。四川为中国 武汉大学及西南联合大学四 民族复兴根据地,其故安在?试就地理、 校联合招生考试史地类试题地形、物产、人口诸端,分别说明之。 1956年 在太平天国的“天朝田亩制度”里,提出了什么样的土地 普通高等学校招生全国统一 改革方案?这个方案为什么不能实行?在苏联第一个五年 考试历史试题 计划期间,开始实行农业全盘集体化为什么是必要的而且 是可能的? 普通高等学校招生全国统一 举例说明在十九世纪晚期,科学成就应用于工业,在哪些 1986年 考试历史试题 方面产生了巨大的影响? 普通高等学校招生全国统一 20世纪50年代中期,中国共产党在探索适合本国国情的 2001年 考试历史试题 建设社会主义道路方面提出了哪些正确的方针?有何重要 意义? 提取任一时期材料所示历史试题反映的时代主题,并结合所学知识加以阐述。(要求:提取时 期可以是一年或几年,需明确写出所选时间和主题,主题明确,史论结合,逻辑严谨)(10 分) 20.阅读材料,回答问题。(12分) 材料一 当代西方学者所谓的“修昔底德陷阱”是指,一个新兴(崛起)大国必然挑战既有 (守成)大国,后者也会主动应对这种威胁和挑战,从而使大国之间的战争不可避免。 1980年美国军事作家赫尔曼·沃克在演讲中首次以“修昔底德陷阱”一说“隐喻”和“警示” 当时的美苏冷战。2012年,美国学者格雷厄姆·艾利森将“修昔底德陷阱”应用于对中美关系 的“论断”和“警示”。 -摘编自黎海波、宋瑞芝《“修昔底德陷阱”:认识误区与战略应对》 材料二 这个世界,和平、发展、合作、共赢成为时代潮流...... 这个世界,一大批新兴市场国家和发展中国家走上发展的快车道...... 这个世界,各国相互联系、相互依存的程度空前加深,人类依然面临诸多难题和挑战...... 世界潮流,浩浩荡荡,顺之则昌,逆之则亡。要跟上时代前进步伐,就不能身体已进入21世 纪,而脑袋还停留在过去,停留在殖民扩张的旧时代里,停留在冷战思维、零和博弈的老框框 内。各国应该共同推动建立以合作共赢为核心的新型国际关系,各国人民应该一起来维护世界 和平、促进共同发展。 -习近平在莫斯科国际关系学院的演讲《顺应时代前进潮流促进世界和平发展》 (1)根据材料一,概况西方学者对中美关系未来发展的看法,并结合所学知识指出其依据和这 一看法的实质。(6分)(2)根据材料二并结合现代史的相关史实,分析中美关系避免陷入“修昔底德陷阱”的出路在 哪里。(6分) 2025 届新高考教学教研联盟高三第二次预热演练 历史参考答案 1 2 3 4 5 6 7 8 9 10 11 12 13 14 15 16 B D A A C A C D C D A D D C B C 1.B【解析】《尚书》《周易》的相关内容意思是,君子应该以容人之量来积蓄民众,接济帮助人 民来涵养自己的德行,这些都说明先秦时期存在朴素的民本思想,B项正确。材料体未涉及百姓对 统治者的监督,排除A;材料未涉及天命观,排除C项;战国时期,孟子提出仁政思想,时间不符, 排除D。 2.D【解析】秦朝官营手工业都使用服役工匠、刑徒和奴婢,这些人口属于国家管理下的人口, 与战国时期雇佣的工匠相比,更有利于控制,侧面反映了当时大一统国家建立后国家对人口的控制 加强,D项正确;材料不体现手工业水平,且国家统一有助于手工业发展,排除A;材料不涉及国 家经济政策,排除B;材料不体现重农,也与商业发展没有直接关系,因为官营手工业多数不面向 市场,排除C。 3.A【解析】春秋时期诸侯争霸纷争不断,各国竞争日益残酷,其外交经历了道义宣示向功利主 义的转变过程,A项正确。忽视道义趋向功利并不意味着外交思想的成熟,排除B;法家作为一种 主要派系是在战国时期出现,排除C;D因果倒置,且外交战略谋划和外交技巧的持续创新顺应时 代,可促进由兼并走向统一。 4.A【解析】当时各地方言流行,不利于交流,《切韵》规范了大家的语言发音,A项正确;结合 所学知识可知,扩大选官基础的是科举制,材料不涉及,排除B项;《切韵》只是规范语言,而非 统一思想,排除C项;切韵起到了规范语言的作用,一定程度上是不利于方言传播的,排除D项。 故选A项。 5.C【解析】辽前中期和平安抚流民政策以及社会经济迅速发展的吸引,设置州府增多,渤海人 和中原人都涌入辽的上京、中京和东京地区,促进当地经济的发展,C项正确;材料没有显示双 向流动,排除A;农业开发发展导致的人口流动,排除B;重农抑商政策不会引发人口的大规模 迁移,排除D。 6.A【解析】文学创作恰恰是当时社会状况的体现,排除B;材料与西方启蒙思想无关,选项表述 有误,排除C;材料未涉及清朝时期满汉矛盾尖锐的相关信息,不符合题意,排除D。 7.C【解析】北伐胜利进军时期时间不符,排除A;土地革命调动的是农民的积极性,其材料信息 与阶级矛盾关系不大,排除B项;农民获得土地与小资产阶级关系不大,排除D。8.D【解析】海外华侨组织抗日救国联合会,并制定了最高原则,主张团结抗日,这表明民族危机 激发华侨家国情怀,D项正确;“全欧华侨抗日救国联合会”由英法等外国华侨组成,不属于国内 地方派系,A错;1937年抗日民族统一战线形成,时空错误,B项错误;蒋介石政府仍然持有“攘 外必先安内”的态度,“一致抗日得到民众广泛认同”的说法不符合史实,C错。 9.C【解析】1957年到1960年中国经济统计资料显示中国经济发展异常快速,不符合经济发展规 律,当时中共缺乏对国情的认识,犯了左倾错误,C正确;材料出现的现象主要是因为中共犯了左 倾错误导致的,不是一五计划的刺激,不是建设热情高涨,排除AB;学习苏联模式不是主要原因, 排除D。 10.D【解析】“求同存异”“国际上的事情要由大家商量解决”体现出国际关系的民主化,即追 求国际关系的民主化要求,D正确;材料并未强调国际竞争,排除A;材料也没有反映国际事务的 自主化的内容,排除B;“求同存异”体现了的是民主化、各国交往多样化并非单一化,排除C。 11.A【解析】拜占庭帝国的兴盛和衰落都与海洋有密切关系,体现了拜占庭帝国具有海洋性的特 征,A正确;拜占庭帝国也被称为东罗马帝国,继承了罗马法,但与材料信息无关,排除B;材料 不涉及其他文明,与文明多样性无关,排除C;拜占庭帝国对世界的影响材料并未说明,排除D。 12.D【解析】法国大革命前的主要任务是反对封建专制,中心矛盾是专制王权与自由平等,D项 正确;君权神授与天赋人权都是意识形态层面反封建的表现,排除A;迷信、科学是认识世界的方 式,并非法国大革命前的中心矛盾,排除B;反对神职特权是宗教改革时期的主要内容,排除C。 13.D【解析】三则材料都提到北美民兵逃走,证明他们并未坚守抗敌,D项正确;现场民兵的日 记提到了英国士兵首先向北美民兵开枪,但是另外两则材料并不能说明这一点,排除A项;英国士 兵并不是遵照命令开火,排除B;只有英军中尉约翰·巴克日记中记载了“他们开了一或两枪”, 其他两个材料没法证明北美民兵首先向英国士兵开枪,排除C。 14.C【解析】1882年5月,三国同盟的建立促使俄法两国接近,1893年,英俄的矛盾未协调使英 法协约和俄法协约产生冲突,体现了近代国际关系的复杂性,C正确;英法俄与德国的矛盾日益提 出,逐渐走向一起组建三国协约,不是俄国转移矛盾,排除A;帝国主义发展的不平衡性是列强错 综复杂的矛盾的根源,但漫画不能直接体现,排除B项;西欧国家间未形成同盟,与材料信息不符 合,而且俄国不是西欧国家,排除D。 15.B【解析】A是新经济政策内容,排除;B符合赫鲁晓夫改革措施;CD是戈尔巴乔夫改革内容, 排除。 16.C【解析】《城堡》以永远无法抵达的城堡揭示了世界的荒诞,揭露了当时社会的种种真实的 状态,表达了作者内心隐藏的不满和倾露,铺排出整个环境的压抑感及个人抗争的无奈和无助, 是第一次世界大战后普遍弥漫于西方世界的孤独与绝望情绪的艺术概括,C正确;西方现代文学主 要是西方社会精神危机在文学上的反映,“对社会现实极为不满”不是其主旨和本质,排除A;以 具体性来再现典型环境和人物是现实主义文学的特点,排除B;现代主义文学的先驱卡夫卡作品 《城堡》写于1922年,时间不符,排除D。 17.(1)地处亚欧大陆交汇处,东西方交通要道,地理位置特殊;帝国疆域广阔,地跨亚欧非三 大洲商贸发达;拜占庭帝国曾经所辖的地区也是多个古代文明的诞生之地,疆域内有多民族交往,文化内涵丰富;拜占庭帝国不断对外征服和被外敌袭扰,人口大规模迁徙,客观上促进了东西方文 化的交流。(答出任意3点即可,6分) (2)拜占庭文化汇集了前代人类文化精华,并将其形成了具有自身特色的文化;拜占庭帝国保存了 古希腊罗马文化遗产,为文艺复兴打下了坚实的文化基础;以《民法大会》为代表的罗马法,成为 后世欧洲国家立法的基础。拜占庭文化融合东西方文化丰富了世界文化的多样性,产生了重要影响。 (影响部分从社会、经济、文化和对世界三个角度作答每一角度2分,只要言之有理,均可得分) 18.(1)史料:档案:②④⑥; 报刊:①⑤⑦⑧; 公文:②④⑥;论著:③⑨。(4分) (2)选题:近代学校教育发展的原因。(2分) 选题意义:近代学校教育发展从侧面反映了中国近代化历程;近代学校教育的发展不仅培养了大批 人才,而且改变了社会风气,推动了社会进步;研究近代学校教育的发展,可以为我们认识近代政 治、经济的发展状况提供新的视角,也可以为今天教育的创新和变革提供借鉴。(4分,从社会、 当代意义等多个角度作答均可得分) 研究提纲:一、近代学校教育发展的不同阶段 二、影响近代学校教育发展的政治因素 三、影响近代学校教育发展的经济因素 四、影响近代学校教育发展的社会因素 五、结论(写出一个得1分,写出4个给4分.) 参考资料:①④⑤⑨。(2分) 19.示例一:时间:1935年、1941年。(1分) 主题:20世纪30、40年代的历史试题体现了近代民族主义精神。(2分) 阐述:1935年“华北事变”,中日民族矛盾成为中国社会的主要矛盾,中国共产党发表《为抗日救 国告全体同胞书》即“八一宣言”,指出抗日救国是全体中国人的首要任务。(1分)同年浙江省 高中会考历史试题考查了唐朝时中日两国冲突的影响;考查了东晋、南宋时两次民族迁移形成的民 族交融对多民族国家发展的影响。试题立意体现了这一时期中国人民的民族主义精神,反映了时代 主题。(1分)1937年抗日战争全面爆发后,中国的沿海工业集团和高校开始有计划地向西南内地 迁徙。实践证明,这个大转移挽救了中国的工业,保存中国的文化科技。(1分)1941年历史试题 要求说明四川是中国民族复兴根据地。(2分)这反映了中国为争取抗日战争胜利而做出的正确决 策这一时代主题。总之,以上历史试题体现了近代中国人民争取民族独立的探索与斗争,具有鲜明 的时代性。(2分) 示例二:时间:2001年。(1分) 主题:改革开放后的历史试题体现了中国特色的社会主义现代化的时代特征。(2分)阐述:1978年党的十一届三中全会后,我国迈出了改革开放的步伐。(1分)1982年党的十二大提 出把马克思主义普遍真理同中国的具体实际相结合,走自己的路,建设有中国特色的社会主义。(1 分)1992年党的十四大提出了社会主义市场经济理论。(1分)21世纪初中国初步建立中国特色的 社会主义市场经济体系(1分)。2001年全国统一考试历史试题考查了“20世纪50年代中期,中国 共产党在探索适合本国国情的建设社会主义道路方面提出的正确的方针及其重要意义”,这一命题 体现了探索中国特色的社会主义现代化道路的时代特征。(1分)综上所述,建设有中国特色的社 会主义是新时期的时代特征,历史试题对此做出了回应。(2分) (1.备注:示例仅供参考,不作为阅卷唯一依据.其他时间段符合要求的论述均可酌情给分. 2.评分说明:时间1分,主题总结2分,结尾总结2分,史实举例3个每个1分,逻辑条理与行 文连贯2分,最后2分由评卷教师自行裁量,卷面不整洁或出现大面积涂改可酌情扣分) 20.(1)看法:未来中美会走向战争。(2分) 依据:历史上西方新崛起的大国如德国挑战原有的、逐渐衰落的大国如英国,最终演变为争霸战 争。(其他答案言之有理亦可)(2分) 实质:以西方历史为坐标,把列强之间的关系演变迁移到中美两国关系发展上来。(2分) (2)出路:中美走合作共赢的道路;坚持多边主义,反对单边主义,推动世界多极化发展;积极 融入和引领经济全球化,深化中美两国利益交融;增强经济文化交流,增进中美两国政府和民间互 信,为中美两国关系和平发展提供坚实的民意基础。(6分,答出三点即可,其他答案言之成理可 酌情给分) 【解析】(1)依据:根据材料一中的“修昔底德陷阱”的内容并结合所学知识可以列举符合要求 的相关史实,即哪一崛起的新大国挑战哪个原有的大国最终导致什么战争的模式来回答;实质:根 据材料一中的“在演讲中首次以'修昔底德陷阱'一说“隐喻'和“警示'时的美苏冷战······应用 于对中美关系的“论断'和“警示'”可得出“以西方历史为坐标,把列强之间的关系演变迁移到 中美两国关系发展上来”。 (2)首先根据材料明确中美避免陷入“修昔底德陷阱”的含义,即避免中美会走向战争;其次根 据材料并结合所学知识提出中美两国避免战争,推动两国关系稳定健康发展的建议,本题为开放性 试题,答案不做硬性要求,只要回答言之有理即可得分。