当前位置:首页>文档>高二数学第一次月考卷03(全解全析)(江苏专用)(1)_1多考区联考_2510052025-2026学年高二数学上学期第一次月考

高二数学第一次月考卷03(全解全析)(江苏专用)(1)_1多考区联考_2510052025-2026学年高二数学上学期第一次月考

  • 2026-04-10 15:40:12 2026-02-11 02:50:14

文档预览

高二数学第一次月考卷03(全解全析)(江苏专用)(1)_1多考区联考_2510052025-2026学年高二数学上学期第一次月考
高二数学第一次月考卷03(全解全析)(江苏专用)(1)_1多考区联考_2510052025-2026学年高二数学上学期第一次月考
高二数学第一次月考卷03(全解全析)(江苏专用)(1)_1多考区联考_2510052025-2026学年高二数学上学期第一次月考
高二数学第一次月考卷03(全解全析)(江苏专用)(1)_1多考区联考_2510052025-2026学年高二数学上学期第一次月考
高二数学第一次月考卷03(全解全析)(江苏专用)(1)_1多考区联考_2510052025-2026学年高二数学上学期第一次月考
高二数学第一次月考卷03(全解全析)(江苏专用)(1)_1多考区联考_2510052025-2026学年高二数学上学期第一次月考
高二数学第一次月考卷03(全解全析)(江苏专用)(1)_1多考区联考_2510052025-2026学年高二数学上学期第一次月考
高二数学第一次月考卷03(全解全析)(江苏专用)(1)_1多考区联考_2510052025-2026学年高二数学上学期第一次月考
高二数学第一次月考卷03(全解全析)(江苏专用)(1)_1多考区联考_2510052025-2026学年高二数学上学期第一次月考
高二数学第一次月考卷03(全解全析)(江苏专用)(1)_1多考区联考_2510052025-2026学年高二数学上学期第一次月考
高二数学第一次月考卷03(全解全析)(江苏专用)(1)_1多考区联考_2510052025-2026学年高二数学上学期第一次月考
高二数学第一次月考卷03(全解全析)(江苏专用)(1)_1多考区联考_2510052025-2026学年高二数学上学期第一次月考
高二数学第一次月考卷03(全解全析)(江苏专用)(1)_1多考区联考_2510052025-2026学年高二数学上学期第一次月考
高二数学第一次月考卷03(全解全析)(江苏专用)(1)_1多考区联考_2510052025-2026学年高二数学上学期第一次月考
高二数学第一次月考卷03(全解全析)(江苏专用)(1)_1多考区联考_2510052025-2026学年高二数学上学期第一次月考
高二数学第一次月考卷03(全解全析)(江苏专用)(1)_1多考区联考_2510052025-2026学年高二数学上学期第一次月考
高二数学第一次月考卷03(全解全析)(江苏专用)(1)_1多考区联考_2510052025-2026学年高二数学上学期第一次月考
高二数学第一次月考卷03(全解全析)(江苏专用)(1)_1多考区联考_2510052025-2026学年高二数学上学期第一次月考
高二数学第一次月考卷03(全解全析)(江苏专用)(1)_1多考区联考_2510052025-2026学年高二数学上学期第一次月考
高二数学第一次月考卷03(全解全析)(江苏专用)(1)_1多考区联考_2510052025-2026学年高二数学上学期第一次月考
高二数学第一次月考卷03(全解全析)(江苏专用)(1)_1多考区联考_2510052025-2026学年高二数学上学期第一次月考
高二数学第一次月考卷03(全解全析)(江苏专用)(1)_1多考区联考_2510052025-2026学年高二数学上学期第一次月考
高二数学第一次月考卷03(全解全析)(江苏专用)(1)_1多考区联考_2510052025-2026学年高二数学上学期第一次月考
高二数学第一次月考卷03(全解全析)(江苏专用)(1)_1多考区联考_2510052025-2026学年高二数学上学期第一次月考

文档信息

文档格式
docx
文档大小
1.048 MB
文档页数
20 页
上传时间
2026-02-11 02:50:14

文档内容

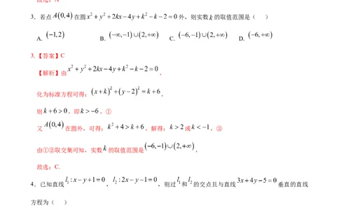
2025-2026 学年高二数学上学期第一次月考卷 03 (江苏专用) (时间:120分钟 满分:150分) 注意事项: 1.答卷前,考生务必将自己的姓名、准考证号填写在答题卡上。 2.回答选择题时,选出每小题答案后,用铅笔把答题卡上对应题目的答案标号涂黑。如需改动, 用橡皮擦干净后,再选涂其他答案标号。回答非选择题时,将答案写在答题卡上。写在本试卷上无效。 3.考试结束后,将本试卷和答题卡一并交回。 4.测试范围:苏教版2019选择性必修第一册第1章~第2章。 5.难度系数:0.65。 第一部分(选择题 共58分) 一、选择题:本题共8小题,每小题5分,共40分。在每小题给出的四个选项中,只有一项是符合题目要 求的。 1.经过两点 的直线 的倾斜角为 ,则 的值为( ) A. -2 B. 1 C. 3 D. 4 1.【答案】B 【解析】经过两点 的直线 的斜率为 , 又直线 的倾斜角为 ,所以 ,解得 . 故选:B. 2. “ ”是“直线 和直线 平行”的( ) A. 充分非必要条件 B. 必要非充分条件 C. 充要条件 D. 既非充分也非必要条件 2.【答案】A 1 / 20 学科网(北京)股份有限公司【解析】当 时,两直线分别为: , , 两直线斜率相等,则平行且不重合. 若两直线平行且不重合,则 或 , 综上所述, 是两直线平行的充分不必要条件. 故选:A 3.若点 在圆 外,则实数 的取值范围是( ) A. B. C. D. 3.【答案】C 【解析】由 , 化为标准方程可得: , 则 ,即 ,① 又 在圆外,可得: ,解得: 或 ,② 由①②取交集可知,实数 的取值范围是 , 故选:C. 4.已知直线 , ,则过 和 的交点且与直线 垂直的直线 方程为( ) A. B. C. D. 4.【答案】D 【解析】由 , ,联立方程可得: 2 / 20 学科网(北京)股份有限公司又直线 斜率为 , 所以要求直线斜率为 ,故直线方程为 ,即 . 故选:D 5.在平面直角坐标系 中,已知点 ,动点 满足 ,则动点 的轨迹与圆 的位置关系是( ) A. 外离 B. 外切 C. 相交 D. 内切 5.【答案】C 【解析】由 ,得 , 则 ,整理得 , 表示圆心为 ,半径为 的圆, 圆 的圆心为 为圆心,半径 , 两圆的圆心距为 ,满足 , 所以两个圆相交. 故选:C. 6.若直线 被圆 截得的弦长为定值,则实数 的值 为( ) A. B. 0 C. 1 D. 2 6.【答案】C 【解析】圆 的圆心为 ,半径为 , 3 / 20 学科网(北京)股份有限公司要使弦长为定值,则需圆心到直线的距离为定值, 即 为定值,所以 . 故选:C 7.设直线 , 一束光线从原点 出发沿射线 向直线 射出, 经 反射后与 轴交于点 , 再次经 轴反射后与 轴交于点 . 若 , 则 的值 为( ) A. B. C. D. 7.【答案】B 【解析】 如图,设点 关于直线 的对称点为 , 则 得 ,即 , 由题意知 与直线 不平行,故 , 4 / 20 学科网(北京)股份有限公司由 ,得 ,即 , 故直线 斜率为 , 的 直线 的直线方程为: , 令 得 ,故 , 令 得 ,故由对称性可得 , 由 得 ,即 , 解得 ,得 或 , 若 ,则第二次反射后光线不会与 轴相交,故不符合条件. 故 , 故选:B. 8.已知曲线 : 是双纽线,则下列结论正确的是( ) A. 曲线 的图象不关于原点对称 5 / 20 学科网(北京)股份有限公司B. 曲线 经过4个整点(横、纵坐标均为整数的点) C. 若直线 与曲线 只有一个交点,则实数 的取值范围为 D. 曲线 上任意一点到坐标原点 的距离都不超过3 8.【答案】D 【解析】对于A,结合曲线 : ,将 代入, 方程不变,即曲线 的图象关于原点对称,A错误; 对于B,令 ,则 ,解得 , 令 ,则 ,解得 , 令 ,则 ,解得 , 故曲线 经过的整点只能是 ,B错误; 对于C,直线 与曲线 : 必有公共点 , 因此若直线 与曲线 只有一个交点,则 只有一个解 , 即 只有一个解为 ,即 时, 无解, 故 ,即实数 的取值范围为 ,C错误, 对于D,由 ,可得 , 时取等号, 则曲线 上任意一点到坐标原点 的距离为 ,即都不超过3,D正确, 故选:D 二、选择题:本题共3小题,每小题6分,共18分.在每小题给出的选项中,有多项符合题目要求.全部 6 / 20 学科网(北京)股份有限公司选对的得6分,部分选对的得部分分,有选错的得0分. 9.下列结论正确的有( ) A. 直线 恒过定点 B. 直线 的倾斜角的取值范围是 C. 经过点 , 的直线方程均可用 表示 D. 直线 和 都经过点 ,则过两点 , 的 直线方程为 9.【答案】ACD 【解析】对于A,直线 ,即 ,直线恒过定点 ,故A正确; 对于B,直线 的斜率 ,设直线的倾斜角为 ,则 ,所以 ,故B错误; 对于C,经过点 , 的直线方程均可用 表示,故 C正确; 对于D,直线 和 都经过点 ,则 所以点 , 的直线方程为 上,故D正确. 故选:ACD. 10.已知圆 与圆 ,则( ) 7 / 20 学科网(北京)股份有限公司A. 过点 作圆 的切线只有 条,则 B. 若圆 与圆 有且只有 条公切线,则 C. 当 时,两圆的一条公切线方程为 D. 当 时,两圆的公共弦长为 10.【答案】AC 【解析】圆 的标准方程为 ,圆心 ,半径为 , 圆C :(x−2) 2+(y−m) 2=4(m>0)的圆心为 ,半径为 , 2 对于A选项,若点 作圆 的切线只有 条,则圆心 的圆心在圆 上, 则有 ,因为 ,解得 ,A对; 对于B选项,若圆 与圆 有且只有 条公切线,则两圆相交, 且 , 由题意可得 ,即 , 因为 ,解得 ,B错; 对于C选项,当 时,圆 的方程为 ,圆心为 ,半径为 , 圆心 到直线 的距离为 , 圆心 到直线 的距离为 , 故当 时,两圆的一条公切线方程为 ,C对; 8 / 20 学科网(北京)股份有限公司对于D选项,当 时,由B选项可知,两圆相交, 将两圆方程作差可得 ,此时,两圆的相交弦所在直线的方程为 , 圆心 到直线 的距离为 , 所以,两圆的公共弦长为 ,D错. 故选:AC. 11.数学美的表现形式不同于自然美或艺术美那样直观,它蕴藏于特有的抽象概念、公式符号、推理论证、 思维方法等之中,揭示了规律性,是一种科学的真实美,曲线 就是一条形状优 美的曲线,则( ) A. 曲线C上两点间距离的最大值为 B. 若点 在曲线 内部(不含边界),则 C. 若曲线C与直线 有公共点,则 D. 若曲线C与圆 有公共点,则 11.【答案】ABC 【解析】当 时,曲线 ,圆心 ,半径 当 时,曲线 ,圆心 ,半径 当 时,曲线 ,圆心 ,半径 当 时,曲线 ,圆心 ,半径 9 / 20 学科网(北京)股份有限公司曲线 如图所示: 曲线 上两点间距离的最大值为 ,A选项正确. 如图直线 : ,则 在线段 上, , ,∴ ,B选项正确; 曲线C与直线 有公共点,则圆心 、 到直线的距离小于或等于半径,则 ,则 或者 ,则 , ∴ ,C选项正确. 原点到圆上的点最小距离 ,最大距离 ,故 , D选项错误. 故选:ABC 第二部分(非选择题 共92分) 三、填空题:本题共3小题,每小题5分,共15分。 12.在平面直角坐标系 中,点 在直线 上,当 最小时, 点的坐标为______. 12.【答案】 【解析】易知,当 垂直于直线 时, 取得最小值, 10 / 20 学科网(北京)股份有限公司此时 , 所在直线方程为 , 联立 解得 ,即 . 故答案为: 13.瑞士著名数学家欧拉在1765年提出定理:三角形的外心、重心、垂心位于同一直线上.这条直线被后 人称为三角形的“欧拉线”.在平面直角坐标系中作 , ,点 ,点 ,且其 “欧拉线”与圆 相切,则 的“欧拉线”方程为________, 的最大值是 ________. 13.【答案】 7 【解析】 ,由题意可得 的欧拉线为 的中垂线, 由 , 可得 的中点为 ,且 , 线段 的中垂线方程为 ,即 , 因为 表示圆上的点 与 连线的斜率,设 ,则 ,即 , 所以 ,即 ,解得 , 所以 的最大值为 ,故D正确; 故答案为: 7 14.已知点A,B为圆 上两动点,且 ,点P为直线 上动点, 11 / 20 学科网(北京)股份有限公司则 的最小值为________. 14.【答案】 【解析】设 的中点为 ,则 ,且 , ,所以 点在以 为圆心,半径为 的圆上. , 要求 的最小值,则需求 的最小值, O(0,0)到直线 的距离为 , 所以 的最小值为 , 所以 的最小值为 . 故答案为: 四、解答题:本题共5小题,共77分。解答应写出文字说明、证明过程或演算步骤。 12 / 20 学科网(北京)股份有限公司15.(13分) 已知直线 , . (1)若坐标原点O到直线m的距离为 ,求a的值; (2)当 时,直线l过m与n的交点,且它在两坐标轴上的截距相反,求直线l的方程. 15.(13分) 【解析】(1)设原点O到直线m的距离为 , 则 ,解得 或 ; (2)由 解得 ,即m与n的交点为 . 当直线l过原点时,此时直线斜率为 , 所以直线l的方程为 ; 当直线l不过原点时,设l的方程为 , 将 代入得 , 所以直线l的方程为 . 故满足条件的直线l的方程为 或 . 16.(15分) 已知 : 及经过点 的直线 . (1)当 平分 时,求直线 的方程; 13 / 20 学科网(北京)股份有限公司(2)当 与 相切时,求直线 的方程. 16.(15分) 【解析】(1)由题意,当 平分 时,即直线l过圆心C时. 圆 的圆心为 ,半径 , 则直线 的斜率为 , 所以 的方程为 ,即 . (2)当斜率不存在时,直线 的方程为 , 圆心 到 的距离为2,等于半径,符合题意; 当斜率存在时,设直线 的方程为 ,即 , 则 ,解得 , 所以 的方程为 ; 所以直线 的方程为 或 . 17.(15分) 已知圆 ,点 , 为坐标原点. 14 / 20 学科网(北京)股份有限公司(1)若 ,求圆 过 点的切线方程; (2)若直线 与圆 交于 , 两点,且 ,求 的值; 的 (3)若圆 上存在点 ,满足 ,求 取值范围. 17.(15分) 【解析】(1)当 时,圆 的圆心 ,半径 , 而点 到直线 的距离为2,因此圆 过 点的切线斜率存在,设方程为 , 则 ,解得 或 , 所以所求切线方程为 或 . (2)由 消去 得 , , 设 ,则 , 由 ,得 ,则 , 整理得 ,则 ,即 ,解得 ,满足 , 所以 . 15 / 20 学科网(北京)股份有限公司(3)设点 ,由 ,得 , 整理得 ,即 ,因此点 的轨迹是以点 为圆心,2为半径的 圆, 依题意,圆 与圆 有公共点,即 ,则 , 整理得 ,解得 , 所以 的取值范围是 . 18.(17分) 如图,将一块直角三角形木板 置于平面直角坐标系中,已知 , ,点 是三角形木板内一点,现因三角形木板中阴影部分受到损坏,要把损坏部分锯掉,可用经过 点P的任一直线 将三角形木板锯成 ,设直线 的斜率为k. 16 / 20 学科网(北京)股份有限公司(1)用k表示出直线 的方程,并求出M、N的坐标; (2)求锯成的 的面积的最小值. 18.(17分) 【解析】(1)设直线 , 因为直线 过点 ,所以 ,即 , 所以 , 又因为 , ,易得直线 ,直线 , 联立 ,解得 ;联立 ,解得 , 故 , . (2)因为 , ,所以 ,所以 , 因为 , 17 / 20 学科网(北京)股份有限公司设M到直线 的距离为d,则 , 所以 , 当且仅当 ,即 时,等号成立, 所以S的最小值为 . 19.(17分) 已知圆 与直线 相切于点 ,圆心 在 轴上. (1)求圆 的标准方程; (2)若直线 与圆 交于 两点,当 时,求 实数 的值; (3)过点 且不与 轴重合的直线与圆 相交于 两点, 为坐标原点,直线 分别与直 线 相交于 两点,记 的面积为 ,求 的最大值. 19.(17分) 【解析】(1)由题可知,设圆的方程为 , 由直线 与圆相切于点 , 18 / 20 学科网(北京)股份有限公司得 ,解得 , 所以圆的方程为 ; (2)设圆心到直线 的距离为 , 因为 ,所以 , 所以 , 解得 ; (3)由题意知, , 设直线 的斜率为 , 则直线 的方程为 , 由 ,得 , 19 / 20 学科网(北京)股份有限公司解得 或 , 则点 的坐标为 , 又直线 的斜率为 , 同理可得:点 的坐标为 , 由题可知: , , 又 , 同理 , , 当且仅当 时等号成立, 的最大值为 . 20 / 20 学科网(北京)股份有限公司