当前位置:首页>文档>数学试题(理科)(1)_2023年10月_0210月合集_2024届四川省射洪中学高三上学期10月月考试题_四川省射洪中学2024届高三上学期10月月考试题理科数学

数学试题(理科)(1)_2023年10月_0210月合集_2024届四川省射洪中学高三上学期10月月考试题_四川省射洪中学2024届高三上学期10月月考试题理科数学

  • 2026-04-23 05:00:31 2026-02-13 01:03:39

文档预览

数学试题(理科)(1)_2023年10月_0210月合集_2024届四川省射洪中学高三上学期10月月考试题_四川省射洪中学2024届高三上学期10月月考试题理科数学
数学试题(理科)(1)_2023年10月_0210月合集_2024届四川省射洪中学高三上学期10月月考试题_四川省射洪中学2024届高三上学期10月月考试题理科数学
数学试题(理科)(1)_2023年10月_0210月合集_2024届四川省射洪中学高三上学期10月月考试题_四川省射洪中学2024届高三上学期10月月考试题理科数学
数学试题(理科)(1)_2023年10月_0210月合集_2024届四川省射洪中学高三上学期10月月考试题_四川省射洪中学2024届高三上学期10月月考试题理科数学
数学试题(理科)(1)_2023年10月_0210月合集_2024届四川省射洪中学高三上学期10月月考试题_四川省射洪中学2024届高三上学期10月月考试题理科数学
数学试题(理科)(1)_2023年10月_0210月合集_2024届四川省射洪中学高三上学期10月月考试题_四川省射洪中学2024届高三上学期10月月考试题理科数学
数学试题(理科)(1)_2023年10月_0210月合集_2024届四川省射洪中学高三上学期10月月考试题_四川省射洪中学2024届高三上学期10月月考试题理科数学
数学试题(理科)(1)_2023年10月_0210月合集_2024届四川省射洪中学高三上学期10月月考试题_四川省射洪中学2024届高三上学期10月月考试题理科数学

文档信息

文档格式
pdf
文档大小
0.276 MB
文档页数
4 页
上传时间
2026-02-13 01:03:39

文档内容

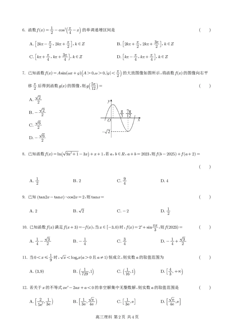
射洪中学高2021级高三上期10月月考 数学 (理科) 试题 命题人:谌国利 吴 琪 审题人:文质彬 杨 勇 第I卷(选择题共60分) 注意事项: 1.答卷前,考生务必将自己的姓名、准考证号等填写在答题卡上。 2.回答选择题时,选出每小题答案后,用铅笔把答题卡上对应题目的答案标号涂黑。如需改动,用橡皮 擦干净后,再选涂其他答案标号。回答非选择题时,将答案写在答题卡上。写在本试卷上无效。 3.考试结束后,将本试卷和答题卡一并交回。 一、选择题:本题共12小题,每小题5分,共60分,在每小题给出的四个选项中,只有一项是符合题目要求 的,请将答案涂在答题卡上。 1. 已知集合A=x∈Z-1≤x≤3  ,B=xx2≤2  ,则A∩B= ( ) A. -1, 2  B. -1,0,1  C. -1,0,1,2  D. - 2,3  2. 若a>b>0,则一定有 ( ) 1 1 A.cosa D.a3>b3 a b 3. 已知命题p:∃x∈R,3ax2+2ax+1≤0是假命题,则实数a的取值范围是 ( ) A. -∞,0  ∪3,+∞  B. -∞,0  ∪3,+∞  C. 0,3  D. 0,3  4. 已知函数y=fx  的图像在点P 3,f3    处的切线方程是y=-2x+7,则f3  -f3  = ( ) A.-2 B.2 C.-3 D.3 ex-1 π π 5. 函数f(x)= ⋅sinx在区间 - , ex+1  2 2  上的图象大致为 ( ) A B C D 高三理科 第1页 共4页6. 函数fx  1 π = - 2 -x 2 4  cos 的单调递增区间是 ( ) π π A.  2kπ- ,2kπ+  2 2  π 3π ,k∈Z B.  2kπ+ ,2kπ+  2 2  ,k∈Z π 3π C.  kπ+ ,kπ+  4 4  π π ,k∈Z D.  kπ- ,kπ+  4 4  ,k∈Z π 7. 已知函数f(x)=Asin(ωx+φ)A>0,ω>0,|φ|< 2  的大致图像如图所示,将函数f(x)的图像向右平 π 5π 移 后得到函数g(x)的图像,则g 2 12  = ( ) 2 A. 2 2 B.- 2 6 C. 2 6 D.- 2 8. 已知函数f(x)=ln 9x2+1-3x  +x+1,若a,b∈R,a+b=2023,则fb-2025  +fa+2  = ( ) 1 9 A. B.2 C. D.4 2 4 9. 已知tan2α-tanα  ⋅cos2α=2,则tanα= ( ) 1 A.2 B. 2 C.-2 D. 2 πx 10.已知函数f(x)满足f(x+3)=-f(x),当x∈[-3,0)时,f(x)=2x+sin ,则f(2023)= ( ) 3 1 3 1 3 1 3 A. - B.- C. D.- + 4 2 4 4 4 2 1 11.当00且a≠1)恒成立,则实数a的取值范围为 ( ) 9 a 1 A.(3,9) B.  ,1 729  1 C.  ,1 16  4 D.   ,+∞  3  12.若关于x的不等式xex-2ax+a<0的非空解集中无整数解,则实数a的取值范围是 ( )  2 1 A.  , 5e2 3e   1 e B.  , 3e 4e  1 C.   ,e 3e   e D.  ,e  4e  高三理科 第2页 共4页第II卷(非选择题,共90分) 二、填空题:本大题共4个小题,每小题5分,共20分. 1 13.已知幂函数f(x)的图象过点(2,4),且f(a)= ,则a的值为 . 4 2  14.复数z= 的共轭复数z= . 1+i sinθ+3cosθ 15.已知倾斜角为θ的直线l与直线x+2y+1=0垂直,则 = . sinθ-cosθ 16.对于函数fx  sinπx, x∈0,2 =  1 fx-2 2  ,x∈2,+∞    ,有下列4个命题: ①任取x 1 ,x 2 ∈0,+∞  ,都有 fx 1  -fx 2    ≤2恒成立; ②fx  =2kfx+2k  k∈N*  ,对于一切x∈0,+∞  恒成立; ③函数y=fx  -lnx-1  有3个零点; ④对任意x>0,不等式fx  2 ≤ 恒成立.则其中所有真命题的序号是 . x 三、解答题:共70分.解答应写出文字说明、证明过程或演算步骤.第17-21题为必考题,每个试题考生都必 须作答.第22、23题为选考题,考生根据要求作答. (一)必考题:共60分. 17.本小题12分  已知集合A={x|x-5<2x0,0<φ<π  的图象相邻两最高点的距离为π,且有一个对称中心为 π  ,0 3  . (1)求ω和φ的值; π (2)若fθ- 6  2 2 π π = ,且 <θ< ,求fθ 3 8 4  的值. 高三理科 第3页 共4页19.本小题12分  已知x=2是函数f(x)=ax3+cx的极值点,且曲线f(x)在点(1,f(1))处的切线斜率为-9. (1)求函数f(x)的解析式; (2)设g(x)=mx+5(m>0),若对任意x 1 ∈[-1,3],总存在x 2 ∈[-1,3],使得gx 1  =fx 2  成立,求实数 m的取值范围. 20.本小题12分  π 已知f(x)= 3sin(π+x)sinx- 2  π +cos2 +x 2  1 - 2 (1)求函数f(x)的单调递增区间; (2)在△ABC中,A,B,C的对边分别为a,b,c,若f(A)=1,a=2,求△ABC面积的最大值. 21.本小题12分  已知函数f(x)=xetx-ex+1,其中t∈R,e=2.71 828⋯是自然对数的底数. (1)当t=0时,求函数f(x)的最大值; 1 (2)证明:当t<1- 时,方程f(x)=1无实根; e (3)若函数f(x)是(0,+∞)内的减函数,求实数t的取值范围. (二)选考题 22.本小题10分  在平面直角坐标系xOy中,直线l的参数方程为  x=2- 3t (t为参数),以坐标原点O为极点,x轴非 y=t 负半轴为极轴建立极坐标系,曲线C极坐标方程为:ρsin2θ=6cosθ. (1)求直线l普通方程与曲线C的直角坐标方程; (2)过点M2,0  的直线l与C相交于A,B两点,求AM  +BM  的值. 高三理科 第4页 共4页