当前位置:首页>文档>黑龙江省牡丹江市第二高级中学2023-2024学年高三上学期第二次阶段性考试历史(1)_2023年10月_01每日更新_22号_2024届黑龙江省牡丹江市第二高级中学高三上学期第二次阶段性考试

黑龙江省牡丹江市第二高级中学2023-2024学年高三上学期第二次阶段性考试历史(1)_2023年10月_01每日更新_22号_2024届黑龙江省牡丹江市第二高级中学高三上学期第二次阶段性考试

  • 2026-03-18 14:11:35 2026-02-13 21:00:07

文档预览

黑龙江省牡丹江市第二高级中学2023-2024学年高三上学期第二次阶段性考试历史(1)_2023年10月_01每日更新_22号_2024届黑龙江省牡丹江市第二高级中学高三上学期第二次阶段性考试
黑龙江省牡丹江市第二高级中学2023-2024学年高三上学期第二次阶段性考试历史(1)_2023年10月_01每日更新_22号_2024届黑龙江省牡丹江市第二高级中学高三上学期第二次阶段性考试
黑龙江省牡丹江市第二高级中学2023-2024学年高三上学期第二次阶段性考试历史(1)_2023年10月_01每日更新_22号_2024届黑龙江省牡丹江市第二高级中学高三上学期第二次阶段性考试
黑龙江省牡丹江市第二高级中学2023-2024学年高三上学期第二次阶段性考试历史(1)_2023年10月_01每日更新_22号_2024届黑龙江省牡丹江市第二高级中学高三上学期第二次阶段性考试
黑龙江省牡丹江市第二高级中学2023-2024学年高三上学期第二次阶段性考试历史(1)_2023年10月_01每日更新_22号_2024届黑龙江省牡丹江市第二高级中学高三上学期第二次阶段性考试
黑龙江省牡丹江市第二高级中学2023-2024学年高三上学期第二次阶段性考试历史(1)_2023年10月_01每日更新_22号_2024届黑龙江省牡丹江市第二高级中学高三上学期第二次阶段性考试
黑龙江省牡丹江市第二高级中学2023-2024学年高三上学期第二次阶段性考试历史(1)_2023年10月_01每日更新_22号_2024届黑龙江省牡丹江市第二高级中学高三上学期第二次阶段性考试
黑龙江省牡丹江市第二高级中学2023-2024学年高三上学期第二次阶段性考试历史(1)_2023年10月_01每日更新_22号_2024届黑龙江省牡丹江市第二高级中学高三上学期第二次阶段性考试
黑龙江省牡丹江市第二高级中学2023-2024学年高三上学期第二次阶段性考试历史(1)_2023年10月_01每日更新_22号_2024届黑龙江省牡丹江市第二高级中学高三上学期第二次阶段性考试
黑龙江省牡丹江市第二高级中学2023-2024学年高三上学期第二次阶段性考试历史(1)_2023年10月_01每日更新_22号_2024届黑龙江省牡丹江市第二高级中学高三上学期第二次阶段性考试

文档信息

文档格式
pdf
文档大小
1.099 MB
文档页数
6 页
上传时间
2026-02-13 21:00:07

文档内容

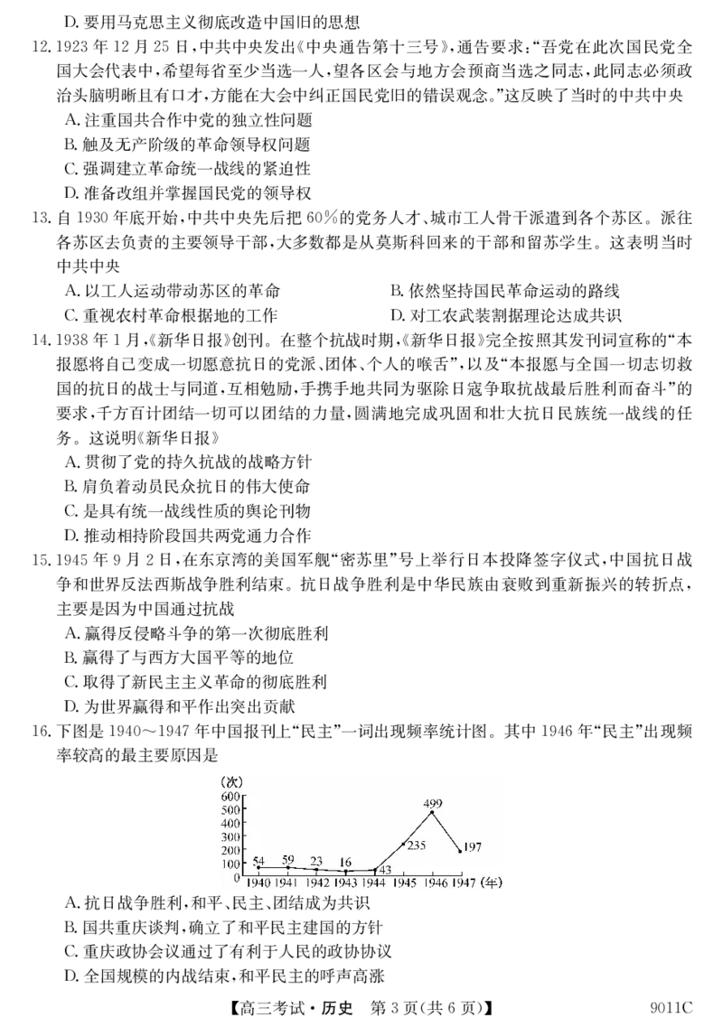
牡丹江二中&$&’&&$&(学年度第一学期高三第二次阶段性考试 历 史 !! 考生注意’ !)本试卷分第!卷#选择题$和第"卷#非选择题$两部分(满分!$$分)考试时间*+分钟( &)答题前)考生务必将密封线内项目填写清楚(考生作答时)请将答案答在答题卡上(必 须在题号所指示的答题区域作答)超出答题区域书写的答案无效)在试题卷*草稿 !!!!!!!!!!!!! !!!! !! 纸上作答无效( !!!!!! ’)本试卷主要命题范围’中外历史纲要#上$!,&+课( 第!卷#选择题!共(-分$ 一*选择题#本题共!"小题)每小题#分)共$%分(在每小题给出的四个选项中)只有一个选项 是符合题目要求的$ !)根据考古学者的统计和估算)良渚古城的莫角山高台*内外城墙)以及大型水利工程建设需要 约!&$$万立方米的土方量(若按照!万人每年劳作&$$天计算)上述工程约需要"年以上 的时间(此外)还需要有更多人为这些劳动力提供后勤保障(良渚古城的修建得益于 .)农业经济的发展 /)国家形态的成熟 %)金属工具的使用 0)奴隶的辛勤劳动 &)商朝是青铜时代的繁盛时期)青铜器以礼器和兵器为主)常铸有铭文)标明器主的族氏和祭祀 对象)记载商王对器主的恩赐)说明器物的用途(从材料看)商代铸造青铜器的一个重要目的 在于 .)强化国家政权机能 /)扩大统治区域 %)突破血缘组织框架 0)完善宗法制度 ’)+一个经济上能够生存的农民阶级)是一个政治上成功的政府的社会基础(,中国古代封建社 会+经济上能够生存的农民阶级,出现的必要前提是 .)井田制确立并得到普及 /)国家减轻对豪强的依赖 %)土地私有制度逐渐形成 0)种植经济的出现并确立 ()北魏实行均田制)把土地划分为生产谷物的露田)栽植桑*榆*果木的桑榆田)植麻的麻田)造 屋和种菜的园宅田)备休耕的倍田)明确规定各类土地的用途(这一做法 .)推动经济作物广泛种植 /)推动北方经济恢复发展 %)有利于棉纺织业的发展 0)限制了土地的高度集中 +)有学者认为)+秦汉时民之反)多农与士结合)易成-至宋*明民之反)农而已)士稍也)易败,( 由此可见)隋唐制度对封建社会政治产生的影响是 .)中央集权制度得到完善 /)儒学得到发展和完善 !高三考试"历史!第!!!!!页#共"页$% #$!!% {#{QQABLQCAogigAAAAAQgCAw0wCEGQkBCCCIoOAEAMoAIAgBNABAA=}#} 书书书%)+大一统,格局得以奠定 0)封建统治基础得到扩大 ")自宋徽宗开始)+衍圣公,成为孔子后裔的专属封爵(金熙宗继位后)孔璠成为金朝正式册封 的第一位+衍圣公,(至此)在南宋和金朝境内各出现了一位+衍圣公,)孔氏后裔也在此后分 为南北二宗(据此可知 .)崇尚正统观念得以加强 /)南北治理模式逐渐趋同 %)政权并立推动儒学分化 0)儒学成为金朝主流意识 *)我国古代南方和北方政区分布密度如下表所示)影响分布密度变化的主要因素是 时期 汉武帝元封 西晋前期 唐贞观元年 北宋元丰 元#省$ #政区名$ 年间#州$ #州$ #道$ 年间#路$ 分布状况 北#南( 北!&南* 北+南+ 北#南!( 北+南" !!.)统治区域的变化 /)经济地位的消长 %)地方机构的变革 0)政治中心的转移 -)明中后期)基于地域平衡理念)吏部各司的司官每省各有定额)司官升转出部或请假归家)接 任递补者仍是该省籍贯(后来这一现象逐渐蔓延至巡抚*提学*科道*翰林*部属等官缺)各省 官僚群体的乡党意识逐渐增强(该现象 .)适应了科举分地定额取士的现实 /)体现了官僚政治生态的恶化 %)表明中央政府政治权威逐渐衰落 0)反映出政府行政效率的提高 #)太平天国运动期间出现两个纲领性文件)即.天朝田亩制度/和.资政新篇/)但二者之间存在 着很大的不同(其本质不同体现在 .)制定方案的目的不同 /)发展经济的方向不同 %)反封建程度有所不同 0)方案的指导思想不同 !$)!-*&年)李鸿章主持的上海轮船招商局成立并向民间发行股票(如表是招商局利润分配 表)据此推知招商局 !-*(,!--(#!$年$ !--",!-#’#-年$ 净利 &#&"""+ !$$1 ’!$#""! !$$1 股息 #*$-’( ’’)!*1 !(-$$$$ (*)+#1 利息 !*-!!#! "$)-"1 +&+!+# !")-#1 其他 !+#$** +)((1 !+’’$( ()#’1 余额 !++"’ $)+’1 #+!!#- ’$)+#1 !!.)充分保障了广大股民的利益 /)通过利益共享机制促进发展 %)在甲午中日战争后走向衰落 0)在企业制度方面具有开创性 !!)陈独秀指出’+辛亥革命以后)袁世凯复辟帝制)使中国先进的知识分子认识到我们中国多数 国民口里虽然不反对共和)脑子里实在是装满了帝制时代的旧思想)要帝制不再发生)民主 共和可以安稳00非先将国民脑子里所有反对共和的旧思想)一一洗刷干净不可(,材料 强调 .)必须继续革命)推翻清朝封建帝制 /)政治革命的彻底性和长期性 %)要从思想上肃清旧的封建残余 !高三考试"历史!第!!!!&页#共"页$% #$!!% {#{QQABLQCAogigAAAAAQgCAw0wCEGQkBCCCIoOAEAMoAIAgBNABAA=}#}0)要用马克思主义彻底改造中国旧的思想 !&)!#&’年!&月&+日)中共中央发出.中央通告第十三号/)通告要求’+吾党在此次国民党全 国大会代表中)希望每省至少当选一人)望各区会与地方会预商当选之同志)此同志必须政 治头脑明晰且有口才)方能在大会中纠正国民党旧的错误观念(,这反映了当时的中共中央 .)注重国共合作中党的独立性问题 /)触及无产阶级的革命领导权问题 %)强调建立革命统一战线的紧迫性 0)准备改组并掌握国民党的领导权 !’)自!#’$年底开始)中共中央先后把"$1的党务人才*城市工人骨干派遣到各个苏区(派往 各苏区去负责的主要领导干部)大多数都是从莫斯科回来的干部和留苏学生(这表明当时 中共中央 .)以工人运动带动苏区的革命 /)依然坚持国民革命运动的路线 %)重视农村革命根据地的工作 0)对工农武装割据理论达成共识 !()!#’-年!月).新华日报/创刊(在整个抗战时期).新华日报/完全按照其发刊词宣称的+本 报愿将自己变成一切愿意抗日的党派*团体*个人的喉舌,)以及+本报愿与全国一切志切救 国的抗日的战士与同道)互相勉励)手携手地共同为驱除日寇争取抗战最后胜利而奋斗,的 要求)千方百计团结一切可以团结的力量)圆满地完成巩固和壮大抗日民族统一战线的任 务(这说明.新华日报/ .)贯彻了党的持久抗战的战略方针 /)肩负着动员民众抗日的伟大使命 %)是具有统一战线性质的舆论刊物 0)推动相持阶段国共两党通力合作 !+)!#(+年#月&日)在东京湾的美国军舰+密苏里,号上举行日本投降签字仪式)中国抗日战 争和世界反法西斯战争胜利结束(抗日战争胜利是中华民族由衰败到重新振兴的转折点) 主要是因为中国通过抗战 .)赢得反侵略斗争的第一次彻底胜利 /)赢得了与西方大国平等的地位 %)取得了新民主主义革命的彻底胜利 0)为世界赢得和平作出突出贡献 !")下图是!#($#!#(*年中国报刊上+民主,一词出现频率统计图(其中!#("年+民主,出现频 率较高的最主要原因是 .)抗日战争胜利)和平*民主*团结成为共识 /)国共重庆谈判)确立了和平民主建国的方针 %)重庆政协会议通过了有利于人民的政协协议 0)全国规模的内战结束)和平民主的呼声高涨 !高三考试"历史!第!!!!’页#共"页$% #$!!% {#{QQABLQCAogigAAAAAQgCAw0wCEGQkBCCCIoOAEAMoAIAgBNABAA=}#}第"卷#非选择题!共+&分$ 二*非选择题#本大题共&小题)共&’分$ !*)#!$分$阅读材料)完成下列要求( 材料 随着献公*孝公的改革)秦国在与魏国的争战中逐渐占据上风)把都城迁至咸阳)是通过 函谷道对付东方和通过武关道对付楚国的必然趋势(咸阳地处关中腹地)土地肥沃)物产丰 富(地理位置可谓+南扼渭水)北依九峻)左扶崤函)右控陇蜀,)正是建立都城的理想场所( 公元前’+$年)秦孝公从栎阳迁都咸阳)商鞅开始第二次变法)新法得以迅速推行(迁都咸 阳)是秦国政治形势*社会面貌发生根本变化和进步的转折点(咸阳不但成为当时秦国的中 心和重心)同时也成为全国著名的大都市( &&&根据王果然.秦迁都与强盛之关系研究/整理 #!$根据材料并结合所学知识)分析说明秦迁都咸阳的原因(#(分$ #&$根据材料并结合所学知识)简析秦迁都咸阳的影响(#"分$ !-)#!$分$阅读材料)完成下列要求( 材料一 隋开皇四年#+-(年$)隋文帝命宇文凯率水工开凿了从长安到潼关的广通渠)并对古邗 沟进行修浚)大大便利了关中地区的漕运和交通(隋炀帝即位后)迁都洛阳)于公元"$+, "!$年)费时六年)征用五百余万民工)先后开凿并疏通了永济渠*通济渠*邗沟和江南运河( 至此)以洛阳为中心)北到涿郡#今北京$)南到余杭#今杭州$)全长两千八百多公里的大运河 全线贯通)巩固了隋朝对北方的政治统治)也使富庶的江南物资)源源不断地运往东都洛阳( &&&摘编自张鑫.中国大运河的发展变迁/ !高三考试"历史!第!!!!(页#共"页$% #$!!% {#{QQABLQCAogigAAAAAQgCAw0wCEGQkBCCCIoOAEAMoAIAgBNABAA=}#}材料二 至!-($年鸦片战争失败后中国开放五口通商)英轮陆续进入中国内河航运业(00中 国真正意义上的第一条铁路)是!--!年修筑的唐胥铁路(此后)随着开埠通商逐渐扩大与 外贸需求*行政控制*国防与垦边的需要)也由于俄*日*英*德对在华利益的争夺与瓜分)缺 少水运条件和拥有政治中心的华北*东北地区率先在建筑港口的同时修筑了京汉*津浦*胶 济*北宁*陇海*南满*中东等诸条铁路(这些铁路线路不仅与港口连通)形成原料*农产品出 口与工业品进口的重要通道和经济腹地)强化了区域间的经贸往来)也成为清末民初中国行 政管理的重要通道和国防运输线)构成了今天中国铁路网络的基本格局(以铁路*港口为骨 干)公路*水路*驿运互为关联而形成的这一现代交通体系)对于近代中国从自然经济向现代 经济转型*区域城市成长*工矿化生产与相关产业生长*农业产业化种植等)具有前所未有的 重要推动作用( &&&摘编自江沛.关于开展中国近代交通社会史研究的若干思考/ #!$根据材料一并结合所学知识)简述隋朝开凿大运河的目的和大运河开通后的影响(#(分$ #&$根据材料二并结合所学知识)概述晚清时期新式交通发展的原因(#"分$ !#)#!$分$阅读材料)完成下列要求( 材料 清末)随着统治危机加深)清政府开始了选官制度的变革(!#$!年)清政府颁布.学堂 选举鼓励章程/)规定’凡由学堂考试合格毕业生)均给予贡生*举人*进士出身-殿试后+酌加 擢用)优予官阶,(!#$’年)清政府拟定.约束鼓励游学生章程/)对录用留学生的办法做了 详细的规定(之后)学部确定每年八月为留学生考试月份)考试的结果分为三等)最优等者 被给予进士出身)优等*中等者被给予举人出身(!#$+年)清廷又宣布+自丙午科为始)所有 乡会试一律停止)各省岁科考试亦即停止,(!#$-年*月&&日)为了规范咨议局职权和议 员选举)清政府批准了.各省咨议局章程/及.咨议局议员选举章程/(次年#月)又颁布了 .资政院章程/)规定资政院议员分为钦定议员与民选议员)钦定议员主要由具备一定身份或 者条件的人担任(尽管这些举措随着清王朝的灭亡最终停止)但却为后来的民主政治做了 一些铺垫( &&&摘编自许卓.试论清末选官制度改革/ #!$根据材料并结合所学知识)归纳清末选官制度改革的内容(#"分$ #&$根据材料并结合所学知识)评价清末选官制度改革(#(分$ !高三考试"历史!第!!!!+页#共"页$% #$!!% {#{QQABLQCAogigAAAAAQgCAw0wCEGQkBCCCIoOAEAMoAIAgBNABAA=}#}&$)#!$分$阅读材料)完成下列要求( 材料一 中国的十四年抗战示意图 材料二 !#’*年*月*日晚上)有人对正在京郊外卢沟桥上演习的日军进行炮击(00同年- 月)在外国权益所集中的上海)有两位日本士兵被人射杀)中日两国为此进入全面作战( &&&&$$!年日本扶桑社出版的.新编历史教科书/ !#’*年*月*日夜)日军借口一个士兵失踪)要求进入宛平城搜查)遭到中国守军拒 绝(日军随即进攻宛平城和卢沟桥00!#’*年-月!’日)日军大举进攻上海)威胁南京( &&&人民教育出版社.普通高中课程标准实验教科书历史必修!/#&$$*年第’版$ #!$根据材料一并结合所学知识)分析中小学生课程教材全面落实+十四年抗战,概念的意 义(#(分$ #&$根据材料二)比较中日教科书对抗战爆发叙述的不同之处)并对其不同之处进行合理的 历史解释(#"分$ &!)#!&分$阅读材料)完成下列要求( 材料 从上图中任选’个及以上相关信息)自拟一个主题)运用所选信息并结合所学知识)围绕主 题予以阐释(#要求’史论结合)史实准确)逻辑清晰$ !高三考试"历史!第!!!!"页#共"页$% #$!!% {#{QQABLQCAogigAAAAAQgCAw0wCEGQkBCCCIoOAEAMoAIAgBNABAA=}#}