壁纸
办公文件
生活文档
学习资料
当前位置:
首页
>
文档
>吉林省东北师大附中、长春市十一高中、吉林一中、四平一中、松原实验中学2023-2024学年高三上学期1月联合模拟考试化学答案_2024年2月_01每日更新_04号
吉林省东北师大附中、长春市十一高中、吉林一中、四平一中、松原实验中学2023-2024学年高三上学期1月联合模拟考试化学答案_2024年2月_01每日更新_04号
2026-02-16 01:33:05
2026-02-16 00:19:00
文档预览
文档信息
文档格式
pdf
文档大小
0.527 MB
文档页数
2 页
上传时间
2026-02-16 00:19:00
下载文档
文档内容
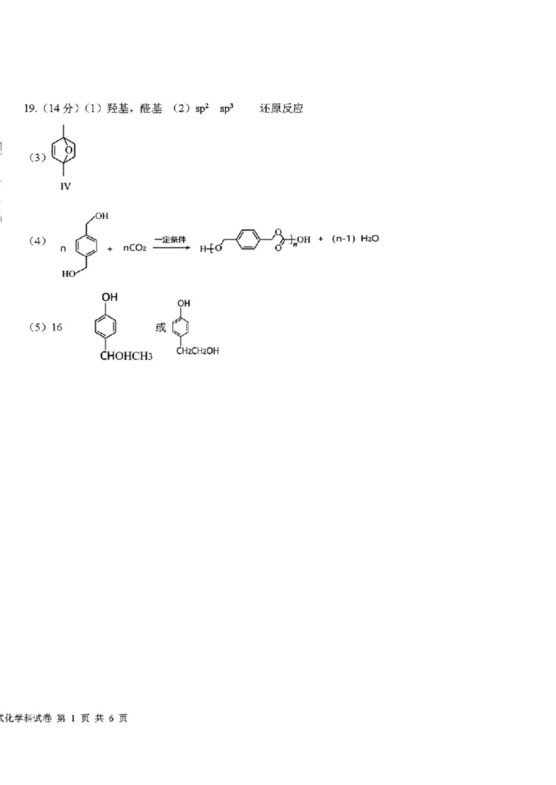
{#{QQABIQ6EggAAQhAAAAhCQwFqCAAQkBAACAoGxBAEsAAASRFABAA=}#}{#{QQABIQ6EggAAQhAAAAhCQwFqCAAQkBAACAoGxBAEsAAASRFABAA=}#}
提示
本文档需要支付0.99元
购买此文档
提示
为了保护文档版权,请下载文档后查看完整内容
下载文档
关闭
本文档来自网络内容,如有侵犯您的权益请联系我们删除,联系邮箱:wyl860211@qq.com。
上一篇
1995年浙江高考历史真题及答案_历史高考真题试卷_旧1990-2007·高考历史真题_1990-2007·高考历史真题·PDF_浙江
下一篇
第17课第二次世界大战与战后国际秩序的形成(含答案解析)-2022-2023学年高一历史下学期课后诊断性课时练+单元练(中外历史纲要下册)_E015高中全科试卷_历史试题_必修下_2.同步练习
最新文档
1997年湖北高考理科数学真题及答案_数学高考真题试卷_旧1990-2007·高考数学真题_1990-2007·高考数学真题·word_湖北
第6.2课《为了忘却的记念》-2022-2023学年高二语文课后培优分级练(统编版选择性必修中册)(原卷版)(1)_E015高中全科试卷_语文试题_选修中_4.新版高中语文试卷选择性必修中册_2.同步练习
洛阳市2023-2024下学期期末考试物理试卷_2024-2025高一(7-7月题库)_2024年7月试卷_0729河南省洛阳市2023-2024学年高一下学期期末考试
1997年湖北高考理科数学真题及答案_数学高考真题试卷_旧1990-2007·高考数学真题_1990-2007·高考数学真题·PDF_湖北
泸州市高2023级高一学年末统一考试语文试题答案_2024-2025高一(7-7月题库)_2024年7月试卷_0729四川省泸州市2023-2024学年高一下学期期末考试
地理答案(红色十校2月高三)_2024年2月_01每日更新_23号_2024届江西省红色十校高三下学期2月联考_江西省红色十校2024届高三下学期2月联考地理
第6.1课《记念刘和珍君》-2022-2023学年高二语文课后培优分级练(统编版选择性必修中册)(解析版)_E015高中全科试卷_语文试题_选修中_4.新版高中语文试卷选择性必修中册_2.同步练习
1997年湖北高考文科数学真题及答案_数学高考真题试卷_旧1990-2007·高考数学真题_1990-2007·高考数学真题·word_湖北
泸州市高2023级高一学年末统一考试语文试题_2024-2025高一(7-7月题库)_2024年7月试卷_0729四川省泸州市2023-2024学年高一下学期期末考试
地理答案(仿真联考一)_2024年4月_01按日期_24号_2024届湖南名校联考联合体高三考前仿真联考一_2024届湖南省炎德英才名校联考联合体高三下学期考前仿真联考一地理试题
热门文档
25年《进度控制(水利)》第3章(打印版)_监理工程师_2025监理工程师_2025年监理工程师SVIP_2025年监理水利控制SVIP_02-基础精讲✿高端面授✿深度强化
第6.1课《记念刘和珍君》-2022-2023学年高二语文课后培优分级练(统编版选择性必修中册)(原卷版)_E015高中全科试卷_语文试题_选修中_4.新版高中语文试卷选择性必修中册_2.同步练习
1997年湖北高考文科数学真题及答案_数学高考真题试卷_旧1990-2007·高考数学真题_1990-2007·高考数学真题·PDF_湖北
泸州市高2023级高一学年末统一考试语文试题_2024-2025高一(7-7月题库)_2024年7月试卷_0729四川省泸州市2023-2024学年高一下学期期末考试
1997年湖北高考历史真题及答案_历史高考真题试卷_旧1990-2007·高考历史真题_1990-2007·高考历史真题·word_湖北
25年《进度控制(水利)》第3章(在线版)_监理工程师_2025监理工程师_2025年监理工程师SVIP_2025年监理水利控制SVIP_02-基础精讲✿高端面授✿深度强化
第6.1课《大堰河——我的保姆》-教考融合2022-2023学年高二下学期语文同步练习(统编版选修下册)原卷版_E015高中全科试卷_语文试题_选修下_5.新版高中语文试卷选择性必修下册
泸州市高2023级高一学年末统一考试英语试题_2024-2025高一(7-7月题库)_2024年7月试卷_0729四川省泸州市2023-2024学年高一下学期期末考试
地理答案(一中)-1_2024年3月_013月合集_2024届湖南省长沙市第一中高三下学期高考适应性演练(一)_湖南省长沙市第一中2024届高三下学期高考适应性演练(一)地理
1997年湖北高考历史真题及答案_历史高考真题试卷_旧1990-2007·高考历史真题_1990-2007·高考历史真题·PDF_湖北
随机文档
第6.1课《〈老子〉四章》-2022-2023学年高二语文上学期课后培优分级练(统编版选择性必修上册)(解析版)_E015高中全科试卷_语文试题_选修上_3.新版高中语文试卷选择性必修上册
地理答案(一中高三二模)_2024年5月_01按日期_23号_2024届湖南省长沙一中高三下学期模拟试卷(二)_2024届湖南省长沙市第一中学高三下学期模拟试卷(二)地理试题
1997年湖北高考化学真题及答案_化学高考真题试卷_旧1990-2007·高考化学真题_1990-2007·高考化学真题·word_湖北
泸州市高2023级高一学年末统一考试英语参考答案_2024-2025高一(7-7月题库)_2024年7月试卷_0729四川省泸州市2023-2024学年高一下学期期末考试
泸州市高2023级高一学年末统一考试日语试题答案_2024-2025高一(7-7月题库)_2024年7月试卷_0729四川省泸州市2023-2024学年高一下学期期末考试
泸州市高2023级高一学年末统一考试日语试题_2024-2025高一(7-7月题库)_2024年7月试卷_0729四川省泸州市2023-2024学年高一下学期期末考试
1997年湖北高考化学真题及答案_化学高考真题试卷_旧1990-2007·高考化学真题_1990-2007·高考化学真题·PDF_湖北
第6.1课《〈老子〉四章》-2022-2023学年高二语文上学期课后培优分级练(统编版选择性必修上册)(原卷版)_E015高中全科试卷_语文试题_选修上_3.新版高中语文试卷选择性必修上册
1997年海南高考生物真题及答案_生物高考真题试卷_旧1990-2007·高考生物真题_1990-2007·高考生物真题·word_海南
泸州市高2023级高一学年末统一考试思想政治试题_2024-2025高一(7-7月题库)_2024年7月试卷_0729四川省泸州市2023-2024学年高一下学期期末考试