当前位置:首页>文档>历史试题_2024-2025高二(7-7月题库)_2024年07月试卷_0702四川省遂宁市射洪中学2023-2024学年高二下学期期末模拟

历史试题_2024-2025高二(7-7月题库)_2024年07月试卷_0702四川省遂宁市射洪中学2023-2024学年高二下学期期末模拟

  • 2026-03-22 05:52:20 2026-02-17 23:28:32

文档预览

历史试题_2024-2025高二(7-7月题库)_2024年07月试卷_0702四川省遂宁市射洪中学2023-2024学年高二下学期期末模拟
历史试题_2024-2025高二(7-7月题库)_2024年07月试卷_0702四川省遂宁市射洪中学2023-2024学年高二下学期期末模拟
历史试题_2024-2025高二(7-7月题库)_2024年07月试卷_0702四川省遂宁市射洪中学2023-2024学年高二下学期期末模拟
历史试题_2024-2025高二(7-7月题库)_2024年07月试卷_0702四川省遂宁市射洪中学2023-2024学年高二下学期期末模拟
历史试题_2024-2025高二(7-7月题库)_2024年07月试卷_0702四川省遂宁市射洪中学2023-2024学年高二下学期期末模拟
历史试题_2024-2025高二(7-7月题库)_2024年07月试卷_0702四川省遂宁市射洪中学2023-2024学年高二下学期期末模拟

文档信息

文档格式
docx
文档大小
0.355 MB
文档页数
6 页
上传时间
2026-02-17 23:28:32

文档内容

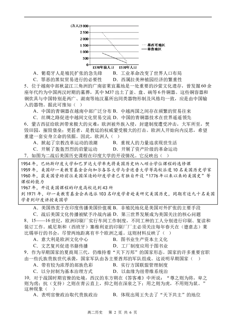
射洪中学高 2022 级高二(下)期末模拟考试 历史试题 (考试时间:75分钟 满分:100分) 注意事项: 1.答卷前,考生务必将自己的班级、姓名、考号填写在答题卡上。 2.回答选择题时,选出每小题答案后,用2B铅笔把答题卡上对应题目的答案标号涂 黑。如需改动,用橡皮擦干净后,再选涂其他答案标号。写在本试卷上无效。 3.回答非选择题时,将答案写在答题卡对应题号的位置上。写在本试卷上无效。 4.考试结束后,将答题卡交回。 第 I 卷(选择题) 一、单选题(48分,每小题3分,共16小题) 1.袁行霈教授认为:古埃及、古巴比伦和古印度文明都处在相对集中的较小范围,一旦遭 到外族入侵或自然灾害,就难以恢复;而中华文明所在范围和回旋余地很大,便于吸纳与 整合不同民族的势力和文化,也不致因地区性的自然灾害而全体毁灭。这一观点旨在( ) A.从文化角度论证中华文明的包容性B.从地理角度论证中华文明的连续性 C.从文化角度论证中华文明的先进性 D.从地理角度论证中华文明的本土性 2.13世纪以来,神迹剧开始在欧洲部分地区上演,剧情多是圣徒的生活、道德故事,以及 最重要的《圣经》故事,而《圣经》故事大都由手工业行会负责演出,它们往往将基督徒 的虔诚和粗鄙的幽默感结合起来,从而吸引了众多的观众。神迹剧这一类戏剧( ) A.表达了资产阶级的文化追求 B.展现了市民阶层的价值取向 C.维护了基督教会的封建统治 D.彰显了骑士阶层的道德理想 3.以下是两则古代法律形成的资料: 资 公元前十八世纪,古巴比伦王国颁布《汉谟拉比法典》,是汉谟拉比在位期间所 料 制定的法律条文集,包含了各种法律规定和制度,涉及民事、商业、家庭、犯罪 甲 等方面,成为古巴比伦社会的基本法律制度。 公元前五世纪中叶,经过平民长期抗争,罗马元老院接受公民大会决议,整理罗 资 马法律,刻在铜板上,公诸社会,是为《十二铜表法》。 料 《十二铜表法》以明文规范,保护公民的私有财产和相关权利,也限制贵族的若 乙 干权力。 由此,我们可以得出的结论是( ) A.两者的共同特色,乃是法律的成文化与透明化 B.两者皆是因为平民的抗争,而导致法律的改革 C.《汉谟拉比法典》是人类历史最早的成文法典 D.罗马的法律改革,推动了共和国向帝国的转变 4.下图为1570年前后墨西哥和秘鲁地区人口变化(单位:万人)示意图,这表明( ) 高二历史 第 1 页 共 6 页A.葡萄牙人是殖民扩张的急先锋 B.工业革命改变了世界人口布局 C.罪恶的黑奴贸易进行的必要性 D.西属拉美种植园经济的繁重性 5.位于越南中部秋盆江三角洲的广南省莱宜墓地是一处重要的沙萤文化遗存,曾发掘60余 座年代约为中国两汉时期的墓葬,其中M37出土了釜、盘、碗等6件铜器。这些铜容器和 铜炊具与中国特别是两广、湖南等地汉墓所出同类器物形制及风格均一致,应是由中国输 入的器物。据此可推知( ) A.中国的青铜器在越南中部广泛分布B.中越两国之间存在频繁的贸易往来 C.丝绸之路促进中越间文化贸易交流 D.中国的青铜器技术在世界遥遥领先 6.蒙古西征给欧洲带来极大的灾难:欧洲被外族入侵,封建制度遭受冲击,大军所至,焚 毁田园,摧毁堡垒;更甚者,是教廷的权威蒙受极大的打击。欧洲人开始向内反思,希望 重建一套安身立命的依据。因此,欧洲人( ) A.掀起了宗教改革运动的浪潮 B.重视人的力量追求现世生活 C.开展了轰轰烈烈的启蒙运动 D.开展了资产阶级的革命运动 7.如图为二战后美国历史课程在印度大学的开设情况。它反映出( ) 1954年,巴纳斯印度大学和巴罗达大学率先将美国历史纳入硕士学位课程的选修课 1959年,美国印一美教育基金会向加尔各答大学与旁遮普大学等高校派遣10名美国历史学家 1960年,获美国资助前往美国深造的印度学者已有独自开设“1776年以来以来的美国史”等 课程的能力 1967年,开设美国课程的印度高校达到43所 到1971年,印一美教育基金会共选派103名印度学者赴美研究美国历史,同期有近九十名美国 学者到印度讲授美国学 A.美国热衷于在印度传播美国价值观B.非殖民地化是美国对外扩张的主要手段 C.战后美国文化传播被赋予冷战内涵 D.第三世界发展成为美国关注的核心问题 8.15——16世纪,欧洲印刷厂实行车间工作制度,不同工种的工人分别进行印刷、复读和 装订工作。威尼斯和(西班牙)塞维利亚的印刷厂厂主必须关注每年春天在(德意志)莱 比锡举行的书会,尽管两地距离有半个欧洲之遥。这则材料反映了( ) A.意大利是欧洲文化中心 B.图书业生产资本主义化 C.文艺复兴促进书籍传播 D.工厂制度应用于图书业 9.作为早期国家的夏商周三代,仍维持着“天下万邦”的国家形态。国家的许多重要官职 由一些氏族贵族世代承袭,国家军队由各主要酋邦的军队组成。这说明早期国家( ) A.带有较为浓厚的部族色彩 B.实行方国联盟管理制度 C.以分封制为基本治理方式 D.以血缘为纽带维系统治 10.对于战国时期官僚的处境,西汉的东方朔在《答客难》中所说:“尊之则为将,卑之 则为虏;抗(支持)之则在青云直上,抑之则在深泉之下;用之则为虎,不用则为鼠。” 这种现象( ) A.表明官僚政治取代贵族政治 B.体现出周王失去了“天下共主”的地位 高二历史 第 2 页 共 6 页C.折射出社会转型的发展趋势 D.反映出专制主义中央集权制度已确立 11.1976年,考古学家在今江西省遂川县藻林乡发现了一批秦朝军队在南征百越时留下的 青铜矛镞、戈等兵器 其中一青铜戈内刻有“廿二年临汾守潭库係(?)工造”,说明是秦王嬴 政二十二年(前225年)暝任临汾郡守期间,由武库官员係监督、工匠铸造的。这批兵器在江 西的被发现,表明秦时江西( ) A.已成为国家战略的一部分 B.与中原经济交流频繁 C.官营手工业相对比较发达 D.郡县制得到全面推行 12.西汉时期,齐王死,文帝剖齐为六,分封为齐、济北、淄川、胶东、胶西、济南6国; 景帝时期,梁孝王死,景帝立其五子为王,将梁国一分为五。景帝先后封自己十三子为 王,使王国数量达到25个,创西汉一代最高纪录。据此可知( ) A.分封王国严重威胁着汉朝的统治 B.郡国并行制有利于国家长治久安 C.汉武帝颁布推恩令削弱王国势力 D.血缘纽带是维护统治的重要手段 13.黄河流域在西汉晚期至东汉,大致归并为关东(山东)、关西(山西)两个文化倾向 有差异的基本文化区。到东晋时,许多关西关东方言已经混一。魏晋以后,出现了江南、 江北两个文化区并峙的局面。对上述文化区格局的变迁解释正确的是( ) A.黄河流域文化差异缩小得益于大一统的局面 B.江南地区的经济开发影响文化区格局的变化 C.区域间文化差异会影响中央集权体制的建立 D.自然地理条件决定文化区的多样性与统一性 14.唐朝士人存在“觅举”的风气。时人薛登批评说:“方今举士,明诏方下,固已驱驰 府寺之廷,出入王公之第,陈篇希恩,奏记誓报。故俗号举人皆称觅举。” “觅举”反映 了当时( ) A.科举取士扩大了选官的范围 B.士族仍然把持着选官权力 C.荐举仍然是选官的重要途径 D.士人主动向官员自荐求仕 15.宋朝与并立的民族政权间的疆界大致可分为四种形态(如下表)。这些疆界形态本质上反 映出宋朝( ) 疆界形态 所涉地区 点状控制的模糊疆界 直辖郡县与羁縻民族生活地区之间的模糊地带 片状模糊疆界 西夏、吐蕃、交趾、大理与宋朝之间的片状中间地带 (澶渊之盟后)北宋与辽朝在河北一带、(元祐五年后)北宋与西夏之 带状清晰疆界 间形成带状清晰疆界 宋朝与辽朝熙宁河东划界、与交趾元丰划界后,宋金绍兴议和后形 线状清晰疆界 成明确的线状疆界 A.贸易有利于强化边疆控制 B.通过盟约划界具有局限性 C.处理复杂民族关系的尝试 D.应对现实安全的政治考虑 16.牌符印信是证明持有者身份的官方信物。下图为1981年在贵州毕节发现一枚元朝铜质 方形印章,印信正面用八思巴蒙古文刻有“雍真等处蛮夷管民官印”,背面左侧用楷书汉 字刻有相同内容。据《元史·地理志》记载,“雍真等处”应属元朝政府在此设置的“顺元 路军民安抚司”。据此可知( ) 高二历史 第 3 页 共 6 页A.史料的多元性加深历史认知 B.官修史书受政治影响 C.文献史料必经实物史料印证 D.文献史料皆真实可信 第 II 卷(非选择题) 二、材料分析题(共52分) 17.阅读材料,完成下列要求。(22分) 材料一 唐朝沿用隋制,在西北边境继续设互市监掌管陆路贸易,太宗贞观六年(632 年),改隋交市监为互市监。《唐六典》“诸市互监”云:“诸互市监各掌诸蕃交易之 事”,唐代互市监的品级相对于隋代大大提高。还规定,“诸官私互市,唯得用帛练、蕃 彩,自外并不得交易。……若善人须籴粮食者,监司斟酌须数,与州司相知,听百姓将物 就互市所交易。” ——摘编自李叶宏、惠建利《唐代“互市”法律制度探析》 材料二 公元977 年,北宋于镇州、易州、雄州、霸州和沧州等州“各置榷场”,辽 于琢州新城、振武军和朔州城南置榷场,进行官方贸易。后因范阳之战,罢互市。公元 988 年宋太宗下诏:“幽蓟之民,皆吾赤子,宜许边疆互相市易。自今缘边戍兵,不得辄恣侵 略。”但不久又罢。公元1002年,应契丹之请,恢复互市,置场于雄州。“澶渊之盟”后, 双方达成协议,在河北沿边陆续开放榷场。……由朝廷派官员专管,并由当地通判兼管其 事,后又终仁宗、英宗两朝。从双方交换的物品来看,宋输出的主要品种有香药、犀角、 象牙、茶叶、缯帛、漆器、瓷器、粳糯和书籍等。辽输出的物品有羊、马、橐驼、银钱、 布等,羊是其中的大宗货物。宋方严禁私市硫磺、焰硝、卢甘石、水银丹漆,或“堪造军器 物”以及直接影响国计民生的盐、米等项。辽国也同样如此,特别禁止向宋输出马匹。 ——摘编自王晓燕《论宋与辽、夏、金的榷场贸易》 (1)根据材料一,说明隋唐时期西北边境互市贸易的概况。(8分) ▲ (2)结合材料二与所学,归纳宋辽榷场边贸的特点并分析影响其发展的因素。(10 分) ▲ (3)综合上述材料并结合所学知识,分析中国古代各民族间互市贸易的意义。(4 分) ▲ 18.阅读材料,完成下列要求。(18分) 材料一 雅典城外阿波罗神庙墙上,铭刻着古希腊哲人的一句名言:人啊,认识你自 己!体育就是人类认识自我的一种方式。雅典在公元前8世纪形成奴隶制城邦,公元前594 年梭伦改革推进社会发展。古希腊苏格拉底、柏拉图、亚里士多德的体育思想影响了 2000 多年来的人类生活。 高二历史 第 4 页 共 6 页古希腊体育思想 苏格 提醒雅典人要不懈地提高身体素质,“体育教育……让他们从小就开始接 拉底 受。而且,体育训练应该十分小心,并且要终其一生”。 提倡进行简单而朴素的身体锻炼,认为青年人,无论是男人还是女人,都 柏拉图 应该严格地受到音乐与体育的教育,借以成为优秀的卫国者。 认为“体育锻炼有助于培养人的勇敢”,“显然预先应把儿童交给体育教 亚里士 师和角力教师,这些人分别能造就儿童的体质和教给他们身体方面的本 多德 领”。 ——摘编自谭华、刘春燕主编《体育史》等 材料二 孔子在“六艺”教育中,重视体育活动教化作用。“射”“御”及“乐”中的 “舞”,都是通过一定规范的身体活动来培养学生的“礼”,即通过体育的形式培养学生 尊重理法的习惯和精神,如在“礼”的教育中,礼射就是通过射箭来进行礼仪、道德教育 的重要社会活动,具有严格的礼仪程序和等级规定,礼射也是是专门用来挑选参加祭神、 祭祖最佳人选的一个方式,是专为选择参加祭礼人服务的。孔子体育思想是为理念服务 的,这种理念是以“礼”为外壳,“仁”为内核的思想,是把体育作为一种实用性的工 具,为实现其“仁”的政治理想服务。因此在中国古代体育历史长河中,孔子体育思想起 到了各家诸子都无法比拟的后世影响力。后世儒家在继承基础,上不断地创新和发展,使 之更为成熟与完善。人们遵循孔子的体育思想,积极从事实用性体育运动,强身健体。 ——摘编自王烈《基于“六艺”教育下孔子体育思想的阐释》 (1)根据材料一并结合所学知识,概括雅典的体育思想,并简析其兴盛原因。(10 分) ▲ (2)根据材料一、二并结合所学知识,说明与古代雅典相比,我国古代体育思想展现 出的特质,并简析孔子体育思想的意义。(8分) ▲ 三、论述题(12分) 19.阅读材料,完成下列要求。 材料 在中国古代封建王朝发展的不同阶段,其政治、经济等方面具有不同的社会表 象,且制度安排也具有不同的特性。下图是体现中国古代封建王朝不同发展阶段典型性特 征的示意图,反映了中国古代封建王朝发展的基本规律。 高二历史 第 5 页 共 6 页——摘编自刘颜《利益集团与我国封建王朝周期性兴衰研究》 从中国某个王朝或者中国古代封建社会整体发展角度,对材料中的信息提出自己的看 法,并加以阐述。(要求:看法具体明确,史论结合,论据充分,表达清晰) ▲ 高二历史 第 6 页 共 6 页