当前位置:首页>文档>数学-安徽A10联盟高二下学期开学考_2024-2025高二(7-7月题库)_2025年02月试卷_0215安徽2025A10联盟高二下学期开学考

数学-安徽A10联盟高二下学期开学考_2024-2025高二(7-7月题库)_2025年02月试卷_0215安徽2025A10联盟高二下学期开学考

  • 2026-03-28 14:30:33 2026-02-18 10:24:06

文档预览

数学-安徽A10联盟高二下学期开学考_2024-2025高二(7-7月题库)_2025年02月试卷_0215安徽2025A10联盟高二下学期开学考
数学-安徽A10联盟高二下学期开学考_2024-2025高二(7-7月题库)_2025年02月试卷_0215安徽2025A10联盟高二下学期开学考
数学-安徽A10联盟高二下学期开学考_2024-2025高二(7-7月题库)_2025年02月试卷_0215安徽2025A10联盟高二下学期开学考
数学-安徽A10联盟高二下学期开学考_2024-2025高二(7-7月题库)_2025年02月试卷_0215安徽2025A10联盟高二下学期开学考
数学-安徽A10联盟高二下学期开学考_2024-2025高二(7-7月题库)_2025年02月试卷_0215安徽2025A10联盟高二下学期开学考
数学-安徽A10联盟高二下学期开学考_2024-2025高二(7-7月题库)_2025年02月试卷_0215安徽2025A10联盟高二下学期开学考
数学-安徽A10联盟高二下学期开学考_2024-2025高二(7-7月题库)_2025年02月试卷_0215安徽2025A10联盟高二下学期开学考
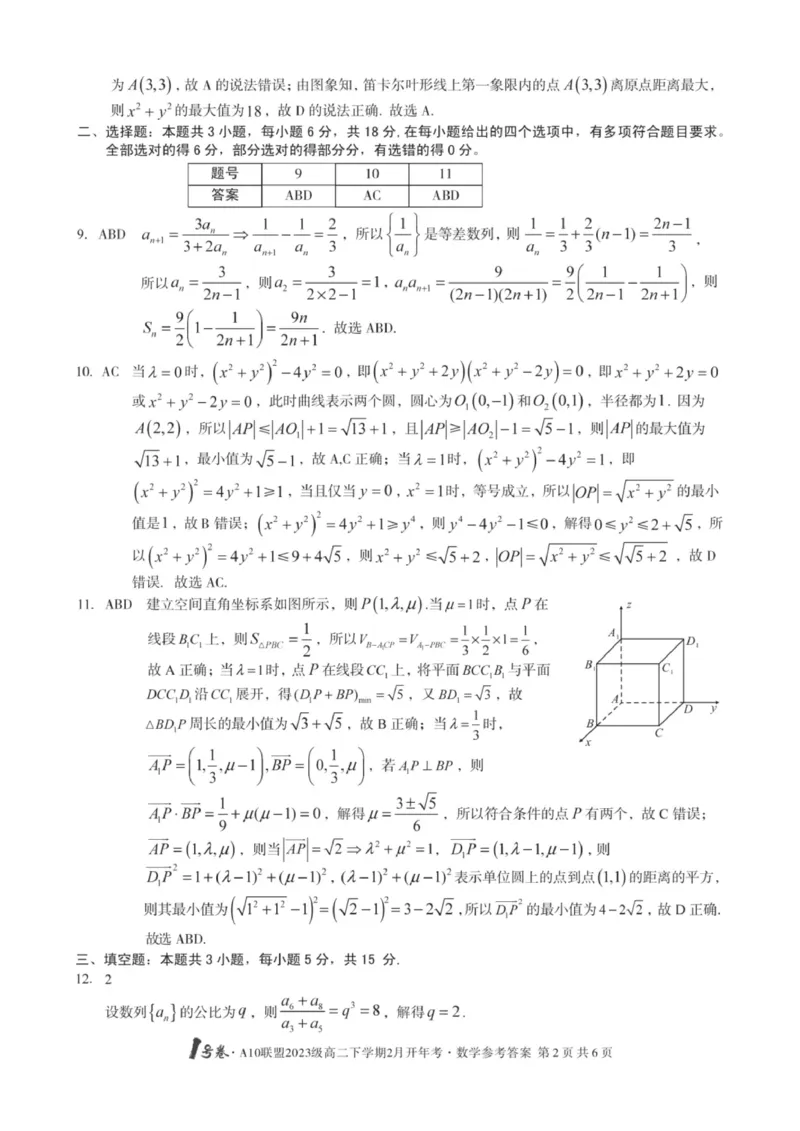
数学-安徽A10联盟高二下学期开学考_2024-2025高二(7-7月题库)_2025年02月试卷_0215安徽2025A10联盟高二下学期开学考
数学-安徽A10联盟高二下学期开学考_2024-2025高二(7-7月题库)_2025年02月试卷_0215安徽2025A10联盟高二下学期开学考
数学-安徽A10联盟高二下学期开学考_2024-2025高二(7-7月题库)_2025年02月试卷_0215安徽2025A10联盟高二下学期开学考

文档信息

文档格式
pdf
文档大小
2.918 MB
文档页数
10 页
上传时间
2026-02-18 10:24:06