当前位置:首页>文档>2023年江苏省南京市中考化学真题(原卷版)_江苏省中考_01江苏省13市中考历年真题2008-2025新_、中考全套_江苏省中考历年真题_南京中考历年真题_05南京中考化学(2008年-2023年)_真题

2023年江苏省南京市中考化学真题(原卷版)_江苏省中考_01江苏省13市中考历年真题2008-2025新_、中考全套_江苏省中考历年真题_南京中考历年真题_05南京中考化学(2008年-2023年)_真题

  • 2026-03-03 07:53:03 2026-03-03 07:53:03

文档预览

2023年江苏省南京市中考化学真题(原卷版)_江苏省中考_01江苏省13市中考历年真题2008-2025新_、中考全套_江苏省中考历年真题_南京中考历年真题_05南京中考化学(2008年-2023年)_真题
2023年江苏省南京市中考化学真题(原卷版)_江苏省中考_01江苏省13市中考历年真题2008-2025新_、中考全套_江苏省中考历年真题_南京中考历年真题_05南京中考化学(2008年-2023年)_真题
2023年江苏省南京市中考化学真题(原卷版)_江苏省中考_01江苏省13市中考历年真题2008-2025新_、中考全套_江苏省中考历年真题_南京中考历年真题_05南京中考化学(2008年-2023年)_真题
2023年江苏省南京市中考化学真题(原卷版)_江苏省中考_01江苏省13市中考历年真题2008-2025新_、中考全套_江苏省中考历年真题_南京中考历年真题_05南京中考化学(2008年-2023年)_真题
2023年江苏省南京市中考化学真题(原卷版)_江苏省中考_01江苏省13市中考历年真题2008-2025新_、中考全套_江苏省中考历年真题_南京中考历年真题_05南京中考化学(2008年-2023年)_真题
2023年江苏省南京市中考化学真题(原卷版)_江苏省中考_01江苏省13市中考历年真题2008-2025新_、中考全套_江苏省中考历年真题_南京中考历年真题_05南京中考化学(2008年-2023年)_真题
2023年江苏省南京市中考化学真题(原卷版)_江苏省中考_01江苏省13市中考历年真题2008-2025新_、中考全套_江苏省中考历年真题_南京中考历年真题_05南京中考化学(2008年-2023年)_真题

文档信息

文档格式
docx
文档大小
0.518 MB
文档页数
7 页
上传时间
2026-03-03 07:53:03

文档内容

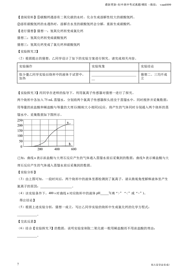
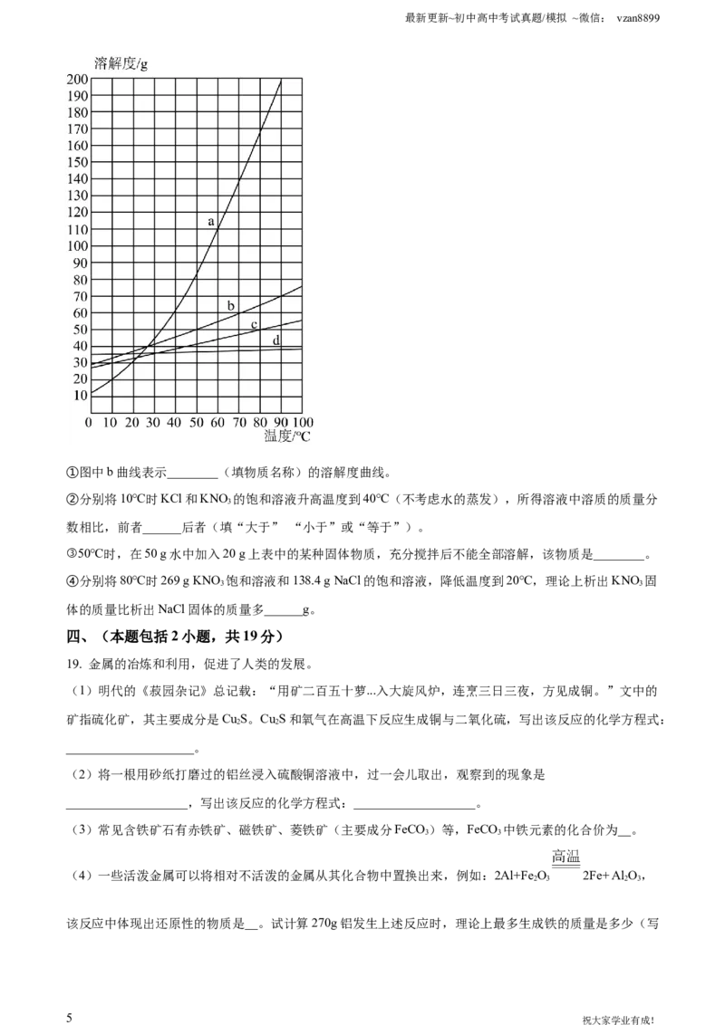
最新更新~初中高中考试真题/模拟 ~微信: vzan8899 南京市 2023 年初中学业水平考试化学试题 可能用到的相对原子质量:H-1 C-12 N-14 O-16 Al-27 S-32 Fe-56 Cu-64 一、选择题(本题共 15小题,每小题只有一个选项符合题意。每小题2分, 共30分) 1. 下列图标中表示禁止烟火的是( ) A. B. C. D. 2. 下列变化属于化学变化的是 A. 汽油挥发 B. 石蜡熔化 C. 铁钉生锈 D. 干冰升华 3. 地壳中含量最多的金属元素是 A. 金 B. 铁 C. 铝 D. 铜 4. 下列图示实验操作中,正确的是 A. 读取液体体积 B. 称量固体 C. 过滤 D. 取少量液体 5. 下列化肥中,属于钾肥的是 A. 氨水 B. 磷矿粉 C. 氯化钾 D. 碳酸氢铵 6. 下列物质由分子构成的是( ) A. 汞 B. 水 C. 金刚石 D. 氯化钠 7. 下列物质属于纯净物的是 A. 生铁 B. 空气 C. 湖水 D. 液氧 8. 用灯帽盖灭酒精灯,其主要的灭火原理是 A. 清除可燃物 B. 升高酒精的着火点 1 祝大家学业有成!最新更新~初中高中考试真题/模拟 ~微信: vzan8899 C. 隔绝空气 D. 降低温度到酒精的着火点以下 9. 下列物质加入一定量的水中,能使液体温度明显降低的是 A. 浓硫酸 B. 氯化钠 C. 硝酸铵 D. 氢氧化钠 10. 元素周期表中锌元素的某些信息如图所示。下列有关锌的说法错误的是 A. 元素符号为Zn B. 属于非金属元素 C. 原子核内质子数为30 D. 锌的相对原子质量为65.38 11. 下列化学用语说法正确的是 A. 氦气——He B. 两个氮分子——2N 2 . C 3个氧原子——O D. 2个镁离子——2Mg2+ 3 12. 下列说法正确的是 A. 生石灰可用作补钙剂 B. 石墨可用来裁玻璃 C. 氢氧化钠可用于治疗胃酸过多 D. 硫酸铜可用于配制波尔多液 13. 2023年5月30日,搭载神舟十六号载人飞船的长征二号F遥十六运载火箭顺利升空。运载火箭燃料主 要是偏二甲肼( )。下列有关偏二甲肼的说法正确的是 A. 偏二甲肼属于有机高分子化合物 B. 偏二甲肼中氮元素的质量分数最大 C. 偏二甲肼由2个碳原子、8个氢原子和2个氮原子构成 D. 偏二甲肼中碳元素、氢元素和氮元素的质量比为1:4:1 14. 化学反应前后肯定没有变化的是 ①原子数目 ②分子数目 ③元素种类 ④物质种类 ⑤原子种类 ⑥物质的总质量 A. ①③④⑥ B. ①③⑤⑥ C. ①②⑤⑥ D. ②③⑤⑥ 15. 下表列出了除去物质中所含少量杂质的方法,其中正确的是 选项 物质 所含杂质 除去杂质的方法 A CO 气体 CO 将气体缓缓通过足量的灼热铜网 2 B KOH溶液 Ca(OH) 滴加碳酸钠溶液至恰好完全反应,过滤 2 C CaCO 固体 CaO 将固体混合物高温充分煅烧,直至固体质量不再减少为止 3 D NaSO 溶液 MgSO 加入过量的氢氧化钠溶液,过滤,滤液中加稀硫酸至中性 2 4 4 2 祝大家学业有成!最新更新~初中高中考试真题/模拟 ~微信: vzan8899 A. A B. B C. C D. D 二、(本题包括2小题,共15分) 16. 根据下列装置图,回答有关问题。 (1)写出实验室用高锰酸钾制取氧气的化学方程式:_________,可选用的发生装置是_______(填字 母)。 (2)写出实验室用锌粒和稀硫酸制取氢气的化学化学方程式:____________,可选用的收集装置是 _______(填字母)。 (3)请设计实验检验如图装置的气密性,并完成下表。 实验操作 实验现象 实验结论 _________ _________ 该装置气密性良好 17. 化学与生活息息相关。 的 (1)目前,人们使用 燃料大多来自化石燃料,如煤、_______、天然气等。 (2)煤燃烧时排放出的下列气体中,属于目前计入空气质量评价的主要污染物的是 (填字母)。 A. 一氧化碳 B. 二氧化碳 C. 二氧化硫 D. 二氧化氮 (3)2023年5月28日,国产C919大飞机首次商业飞行成功。C919大飞机用到的下列材料中,属于合成 材料的是 (填字母)。 . A 塑料 B. 铝合金 C. 不锈钢 D. 碳纤维复合材料 (4)今年,我国科学家在国际上首次是实现了二氧化碳在一定条件下高效地转化为乙醇。该反应的示意 3 祝大家学业有成!最新更新~初中高中考试真题/模拟 ~微信: vzan8899 图如下: ①写出该反应的化学方程式:_________________。 ②在汽油中加入适量乙醇为汽车燃料,目的是___________。 三、(本题包括1小题,共7分) 18. 水和溶液在生产、生活和科研中具有广泛的用途。 (1)下列净水的方法中,可以降低水的硬度的是 (填字母)。 A. 过滤 B. 煮沸 C. 蒸馏 (2)自来水厂利用活性炭去除天然水中色素和异味,这是利用了活性炭的__________性。 (3)加热冷水,当温度尚未达到沸点时,水中常有气泡冒出,原因是_______。 (4)下图是四种固体物质的溶解度曲线;下表是这些固体物质在不同温度时的溶解度。 温度/℃ 20 50 80 NaCl 36.0 37.0 38.4 溶 KCl 34.0 42.6 51.1 解 NH Cl 37.2 50.4 65.6 度/g 4 KNO 31.6 85.5 169 3 4 祝大家学业有成!最新更新~初中高中考试真题/模拟 ~微信: vzan8899 ①图中b曲线表示________(填物质名称)的溶解度曲线。 ②分别将10℃时KCl和KNO 的饱和溶液升高温度到40℃(不考虑水的蒸发),所得溶液中溶质的质量分 3 数相比,前者______后者(填“大于” “小于”或“等于”)。 ③50℃时,在50 g水中加入20 g上表中的某种固体物质,充分搅拌后不能全部溶解,该物质是________。 ④分别将80℃时269 g KNO 饱和溶液和138.4 g NaCl的饱和溶液,降低温度到20℃,理论上析出KNO 固 3 3 体的质量比析出NaCl固体的质量多______g。 四、(本题包括2小题,共19分) 19. 金属的冶炼和利用,促进了人类的发展。 (1)明代的《菽园杂记》总记载:“用矿二百五十萝...入大旋风炉,连烹三日三夜,方见成铜。”文中的 矿指硫化矿,其主要成分是Cu S。Cu S和氧气在高温下反应生成铜与二氧化硫,写出该反应的化学方程式: 2 2 ____________________。 (2)将一根用砂纸打磨过的铝丝浸入硫酸铜溶液中,过一会儿取出,观察到的现象是 ___________________,写出该反应的化学方程式:___________________。 (3)常见含铁矿石有赤铁矿、磁铁矿、菱铁矿(主要成分FeCO)等,FeCO 中铁元素的化合价为__。 3 3 (4)一些活泼金属可以将相对不活泼的金属从其化合物中置换出来,例如:2Al+Fe O 2Fe+ Al O, 2 3 2 3 该反应中体现出还原性的物质是__。试计算270g铝发生上述反应时,理论上最多生成铁的质量是多少(写 5 祝大家学业有成!最新更新~初中高中考试真题/模拟 ~微信: vzan8899 出计算过程)?_ (5)等质量的Cu S和Fe O 中所含铜元素与铁元素的质量比为____(填最简整数比)。 2 2 3 20. 图中A~J表示初中化学常见的物质。其中B、D、H为单质,其余均为化合物。A是一种常见液体,生 活中可用来灭火;D、E、J均为黑色固体;I俗称苏打;反应①、②、③、④分别属于不同的基本反应类 型。图中“—”表示两端的物质间能发生化学反应;“→”表示物质间存在转化关系;反应条件、部分反应物 和生成物已略去。 (1)写出化学式:I ________。 的 (2)写出反应③ 化学方程式:________________。 (3)写出H→F反应的化学方程式:__________________。 (4)写出D与G反应的化学方程式:_________________。 五、(本题包括1小题,共9分) 21. 请你参加某兴趣小组进行科学探究的过程。 【实验探究1】同学们利用如图所示装置,模拟不同碱溶液“捕捉”二氧化碳的过程。 (1)甲同学用稀盐酸和大理石反应,将产生的气体通入盛有氢氧化钠溶液的烧杯中。写出氢氧化钠与二 氧化碳反应的化学方程式:________________。 乙同学用浓盐酸与大理石反应,将产生的气体通入盛有澄清石灰水的烧杯中,没有观察到明显现象。 【提出问题】乙同学实验的烧杯中没有观察到明显的浑浊现象都原因是什么? 6 祝大家学业有成!最新更新~初中高中考试真题/模拟 ~微信: vzan8899 【查阅资料】①碳酸钙遇溶有二氧化碳的水时,化合生成溶解性较大的碳酸氢钙。 ②溶有碳酸氢钙的水遇热时,溶解在水里的碳酸氢钙会分解,重新生成碳酸钙。 【进行猜想】猜想一:氢氧化钙转变成氯化钙 猜想二:氢氧化钙转变成碳酸氢钙 猜想三:氢氧化钙变成了氯化钙和碳酸氢钙 【实验探究2】 (2)根据提出的猜想,乙同学设计了如下的实验方案进行探究。请完成相关内容。 实验操作 实验现象 实验结论 取少量乙同学实验后烧杯中的液体于试管中, ___________________________ 猜想二、三均不成 加热 __ 立 【实验探究3】丙同学在老师的指导下,利用氯离子传感器对猜想一进行了探究。 两个烧杯中各加入75 mL蒸馏水,分别将两个氯离子传感器探头浸没于蒸馏水中,同时搅拌并采集数据: 用等量的浓盐酸和稀盐酸与等量的大理石(颗粒大小相同)反应,将产生的气体同时分别通入两个烧杯的蒸 馏水中。采集数据如下图所示。 已知:曲线a表示浓盐酸与大理石反应产生的气体通入蒸馏水前后采集到的数据;曲线b表示稀盐酸与大 理石反应产生的气体通入蒸馏水前后采集到的数据。 【实验分析】 (3)由上图可知,一段时间后,两个烧杯中的液体里都检测到了氯离子,请从微观角度解释液体里产生 氯离子的原因:___________________。 (4)该实验条件下,400 s时曲线a对应烧杯中的液体pH_____7(填“>”“<”或“=”)。 【得出结论】 (5)根据上述实验分析,猜想一成立,写出乙同学实验的烧杯中生成氯化钙的化学方程式: ____________。 【交流反思】 (6)结合【实验探究3】的数据,说明实验室制取二氧化碳一般用稀盐酸而不用浓盐酸的理由: ____________。 7 祝大家学业有成!
基本 文件 流程 错误 SQL 调试
  1. 请求信息 : 2026-03-03 07:53:58 HTTP/1.1 GET : https://www.yeyulingfeng.com/wendang/331430.html
  2. 运行时间 : 0.204998s [ 吞吐率:4.88req/s ] 内存消耗:5,752.69kb 文件加载:144
  3. 缓存信息 : 0 reads,0 writes
  4. 会话信息 : SESSION_ID=c4bf315ef2273d52e1eb7a0457ca4010
  1. /yingpanguazai/ssd/ssd1/www/wwww.yeyulingfeng.com/public/index.php ( 0.79 KB )
  2. /yingpanguazai/ssd/ssd1/www/wwww.yeyulingfeng.com/vendor/autoload.php ( 0.17 KB )
  3. /yingpanguazai/ssd/ssd1/www/wwww.yeyulingfeng.com/vendor/composer/autoload_real.php ( 2.49 KB )
  4. /yingpanguazai/ssd/ssd1/www/wwww.yeyulingfeng.com/vendor/composer/platform_check.php ( 0.90 KB )
  5. /yingpanguazai/ssd/ssd1/www/wwww.yeyulingfeng.com/vendor/composer/ClassLoader.php ( 14.03 KB )
  6. /yingpanguazai/ssd/ssd1/www/wwww.yeyulingfeng.com/vendor/composer/autoload_static.php ( 6.05 KB )
  7. /yingpanguazai/ssd/ssd1/www/wwww.yeyulingfeng.com/vendor/topthink/think-helper/src/helper.php ( 8.34 KB )
  8. /yingpanguazai/ssd/ssd1/www/wwww.yeyulingfeng.com/vendor/topthink/think-validate/src/helper.php ( 2.19 KB )
  9. /yingpanguazai/ssd/ssd1/www/wwww.yeyulingfeng.com/vendor/ralouphie/getallheaders/src/getallheaders.php ( 1.60 KB )
  10. /yingpanguazai/ssd/ssd1/www/wwww.yeyulingfeng.com/vendor/topthink/think-orm/src/helper.php ( 1.47 KB )
  11. /yingpanguazai/ssd/ssd1/www/wwww.yeyulingfeng.com/vendor/topthink/think-orm/stubs/load_stubs.php ( 0.16 KB )
  12. /yingpanguazai/ssd/ssd1/www/wwww.yeyulingfeng.com/vendor/topthink/framework/src/think/Exception.php ( 1.69 KB )
  13. /yingpanguazai/ssd/ssd1/www/wwww.yeyulingfeng.com/vendor/topthink/think-container/src/Facade.php ( 2.71 KB )
  14. /yingpanguazai/ssd/ssd1/www/wwww.yeyulingfeng.com/vendor/symfony/deprecation-contracts/function.php ( 0.99 KB )
  15. /yingpanguazai/ssd/ssd1/www/wwww.yeyulingfeng.com/vendor/symfony/polyfill-mbstring/bootstrap.php ( 8.26 KB )
  16. /yingpanguazai/ssd/ssd1/www/wwww.yeyulingfeng.com/vendor/symfony/polyfill-mbstring/bootstrap80.php ( 9.78 KB )
  17. /yingpanguazai/ssd/ssd1/www/wwww.yeyulingfeng.com/vendor/symfony/var-dumper/Resources/functions/dump.php ( 1.49 KB )
  18. /yingpanguazai/ssd/ssd1/www/wwww.yeyulingfeng.com/vendor/topthink/think-dumper/src/helper.php ( 0.18 KB )
  19. /yingpanguazai/ssd/ssd1/www/wwww.yeyulingfeng.com/vendor/symfony/var-dumper/VarDumper.php ( 4.30 KB )
  20. /yingpanguazai/ssd/ssd1/www/wwww.yeyulingfeng.com/vendor/guzzlehttp/guzzle/src/functions_include.php ( 0.16 KB )
  21. /yingpanguazai/ssd/ssd1/www/wwww.yeyulingfeng.com/vendor/guzzlehttp/guzzle/src/functions.php ( 5.54 KB )
  22. /yingpanguazai/ssd/ssd1/www/wwww.yeyulingfeng.com/vendor/topthink/framework/src/think/App.php ( 15.30 KB )
  23. /yingpanguazai/ssd/ssd1/www/wwww.yeyulingfeng.com/vendor/topthink/think-container/src/Container.php ( 15.76 KB )
  24. /yingpanguazai/ssd/ssd1/www/wwww.yeyulingfeng.com/vendor/psr/container/src/ContainerInterface.php ( 1.02 KB )
  25. /yingpanguazai/ssd/ssd1/www/wwww.yeyulingfeng.com/app/provider.php ( 0.19 KB )
  26. /yingpanguazai/ssd/ssd1/www/wwww.yeyulingfeng.com/vendor/topthink/framework/src/think/Http.php ( 6.04 KB )
  27. /yingpanguazai/ssd/ssd1/www/wwww.yeyulingfeng.com/vendor/topthink/think-helper/src/helper/Str.php ( 7.29 KB )
  28. /yingpanguazai/ssd/ssd1/www/wwww.yeyulingfeng.com/vendor/topthink/framework/src/think/Env.php ( 4.68 KB )
  29. /yingpanguazai/ssd/ssd1/www/wwww.yeyulingfeng.com/app/common.php ( 0.03 KB )
  30. /yingpanguazai/ssd/ssd1/www/wwww.yeyulingfeng.com/vendor/topthink/framework/src/helper.php ( 18.78 KB )
  31. /yingpanguazai/ssd/ssd1/www/wwww.yeyulingfeng.com/vendor/topthink/framework/src/think/Config.php ( 5.54 KB )
  32. /yingpanguazai/ssd/ssd1/www/wwww.yeyulingfeng.com/config/alipay.php ( 3.59 KB )
  33. /yingpanguazai/ssd/ssd1/www/wwww.yeyulingfeng.com/vendor/topthink/framework/src/think/facade/Env.php ( 1.67 KB )
  34. /yingpanguazai/ssd/ssd1/www/wwww.yeyulingfeng.com/config/app.php ( 0.95 KB )
  35. /yingpanguazai/ssd/ssd1/www/wwww.yeyulingfeng.com/config/cache.php ( 0.78 KB )
  36. /yingpanguazai/ssd/ssd1/www/wwww.yeyulingfeng.com/config/console.php ( 0.23 KB )
  37. /yingpanguazai/ssd/ssd1/www/wwww.yeyulingfeng.com/config/cookie.php ( 0.56 KB )
  38. /yingpanguazai/ssd/ssd1/www/wwww.yeyulingfeng.com/config/database.php ( 2.48 KB )
  39. /yingpanguazai/ssd/ssd1/www/wwww.yeyulingfeng.com/config/filesystem.php ( 0.61 KB )
  40. /yingpanguazai/ssd/ssd1/www/wwww.yeyulingfeng.com/config/lang.php ( 0.91 KB )
  41. /yingpanguazai/ssd/ssd1/www/wwww.yeyulingfeng.com/config/log.php ( 1.35 KB )
  42. /yingpanguazai/ssd/ssd1/www/wwww.yeyulingfeng.com/config/middleware.php ( 0.19 KB )
  43. /yingpanguazai/ssd/ssd1/www/wwww.yeyulingfeng.com/config/route.php ( 1.89 KB )
  44. /yingpanguazai/ssd/ssd1/www/wwww.yeyulingfeng.com/config/session.php ( 0.57 KB )
  45. /yingpanguazai/ssd/ssd1/www/wwww.yeyulingfeng.com/config/trace.php ( 0.34 KB )
  46. /yingpanguazai/ssd/ssd1/www/wwww.yeyulingfeng.com/config/view.php ( 0.82 KB )
  47. /yingpanguazai/ssd/ssd1/www/wwww.yeyulingfeng.com/app/event.php ( 0.25 KB )
  48. /yingpanguazai/ssd/ssd1/www/wwww.yeyulingfeng.com/vendor/topthink/framework/src/think/Event.php ( 7.67 KB )
  49. /yingpanguazai/ssd/ssd1/www/wwww.yeyulingfeng.com/app/service.php ( 0.13 KB )
  50. /yingpanguazai/ssd/ssd1/www/wwww.yeyulingfeng.com/app/AppService.php ( 0.26 KB )
  51. /yingpanguazai/ssd/ssd1/www/wwww.yeyulingfeng.com/vendor/topthink/framework/src/think/Service.php ( 1.64 KB )
  52. /yingpanguazai/ssd/ssd1/www/wwww.yeyulingfeng.com/vendor/topthink/framework/src/think/Lang.php ( 7.35 KB )
  53. /yingpanguazai/ssd/ssd1/www/wwww.yeyulingfeng.com/vendor/topthink/framework/src/lang/zh-cn.php ( 13.70 KB )
  54. /yingpanguazai/ssd/ssd1/www/wwww.yeyulingfeng.com/vendor/topthink/framework/src/think/initializer/Error.php ( 3.31 KB )
  55. /yingpanguazai/ssd/ssd1/www/wwww.yeyulingfeng.com/vendor/topthink/framework/src/think/initializer/RegisterService.php ( 1.33 KB )
  56. /yingpanguazai/ssd/ssd1/www/wwww.yeyulingfeng.com/vendor/services.php ( 0.14 KB )
  57. /yingpanguazai/ssd/ssd1/www/wwww.yeyulingfeng.com/vendor/topthink/framework/src/think/service/PaginatorService.php ( 1.52 KB )
  58. /yingpanguazai/ssd/ssd1/www/wwww.yeyulingfeng.com/vendor/topthink/framework/src/think/service/ValidateService.php ( 0.99 KB )
  59. /yingpanguazai/ssd/ssd1/www/wwww.yeyulingfeng.com/vendor/topthink/framework/src/think/service/ModelService.php ( 2.04 KB )
  60. /yingpanguazai/ssd/ssd1/www/wwww.yeyulingfeng.com/vendor/topthink/think-trace/src/Service.php ( 0.77 KB )
  61. /yingpanguazai/ssd/ssd1/www/wwww.yeyulingfeng.com/vendor/topthink/framework/src/think/Middleware.php ( 6.72 KB )
  62. /yingpanguazai/ssd/ssd1/www/wwww.yeyulingfeng.com/vendor/topthink/framework/src/think/initializer/BootService.php ( 0.77 KB )
  63. /yingpanguazai/ssd/ssd1/www/wwww.yeyulingfeng.com/vendor/topthink/think-orm/src/Paginator.php ( 11.86 KB )
  64. /yingpanguazai/ssd/ssd1/www/wwww.yeyulingfeng.com/vendor/topthink/think-validate/src/Validate.php ( 63.20 KB )
  65. /yingpanguazai/ssd/ssd1/www/wwww.yeyulingfeng.com/vendor/topthink/think-orm/src/Model.php ( 23.55 KB )
  66. /yingpanguazai/ssd/ssd1/www/wwww.yeyulingfeng.com/vendor/topthink/think-orm/src/model/concern/Attribute.php ( 21.05 KB )
  67. /yingpanguazai/ssd/ssd1/www/wwww.yeyulingfeng.com/vendor/topthink/think-orm/src/model/concern/AutoWriteData.php ( 4.21 KB )
  68. /yingpanguazai/ssd/ssd1/www/wwww.yeyulingfeng.com/vendor/topthink/think-orm/src/model/concern/Conversion.php ( 6.44 KB )
  69. /yingpanguazai/ssd/ssd1/www/wwww.yeyulingfeng.com/vendor/topthink/think-orm/src/model/concern/DbConnect.php ( 5.16 KB )
  70. /yingpanguazai/ssd/ssd1/www/wwww.yeyulingfeng.com/vendor/topthink/think-orm/src/model/concern/ModelEvent.php ( 2.33 KB )
  71. /yingpanguazai/ssd/ssd1/www/wwww.yeyulingfeng.com/vendor/topthink/think-orm/src/model/concern/RelationShip.php ( 28.29 KB )
  72. /yingpanguazai/ssd/ssd1/www/wwww.yeyulingfeng.com/vendor/topthink/think-helper/src/contract/Arrayable.php ( 0.09 KB )
  73. /yingpanguazai/ssd/ssd1/www/wwww.yeyulingfeng.com/vendor/topthink/think-helper/src/contract/Jsonable.php ( 0.13 KB )
  74. /yingpanguazai/ssd/ssd1/www/wwww.yeyulingfeng.com/vendor/topthink/think-orm/src/model/contract/Modelable.php ( 0.09 KB )
  75. /yingpanguazai/ssd/ssd1/www/wwww.yeyulingfeng.com/vendor/topthink/framework/src/think/Db.php ( 2.88 KB )
  76. /yingpanguazai/ssd/ssd1/www/wwww.yeyulingfeng.com/vendor/topthink/think-orm/src/DbManager.php ( 8.52 KB )
  77. /yingpanguazai/ssd/ssd1/www/wwww.yeyulingfeng.com/vendor/topthink/framework/src/think/Log.php ( 6.28 KB )
  78. /yingpanguazai/ssd/ssd1/www/wwww.yeyulingfeng.com/vendor/topthink/framework/src/think/Manager.php ( 3.92 KB )
  79. /yingpanguazai/ssd/ssd1/www/wwww.yeyulingfeng.com/vendor/psr/log/src/LoggerTrait.php ( 2.69 KB )
  80. /yingpanguazai/ssd/ssd1/www/wwww.yeyulingfeng.com/vendor/psr/log/src/LoggerInterface.php ( 2.71 KB )
  81. /yingpanguazai/ssd/ssd1/www/wwww.yeyulingfeng.com/vendor/topthink/framework/src/think/Cache.php ( 4.92 KB )
  82. /yingpanguazai/ssd/ssd1/www/wwww.yeyulingfeng.com/vendor/psr/simple-cache/src/CacheInterface.php ( 4.71 KB )
  83. /yingpanguazai/ssd/ssd1/www/wwww.yeyulingfeng.com/vendor/topthink/think-helper/src/helper/Arr.php ( 16.63 KB )
  84. /yingpanguazai/ssd/ssd1/www/wwww.yeyulingfeng.com/vendor/topthink/framework/src/think/cache/driver/File.php ( 7.84 KB )
  85. /yingpanguazai/ssd/ssd1/www/wwww.yeyulingfeng.com/vendor/topthink/framework/src/think/cache/Driver.php ( 9.03 KB )
  86. /yingpanguazai/ssd/ssd1/www/wwww.yeyulingfeng.com/vendor/topthink/framework/src/think/contract/CacheHandlerInterface.php ( 1.99 KB )
  87. /yingpanguazai/ssd/ssd1/www/wwww.yeyulingfeng.com/app/Request.php ( 0.09 KB )
  88. /yingpanguazai/ssd/ssd1/www/wwww.yeyulingfeng.com/vendor/topthink/framework/src/think/Request.php ( 55.78 KB )
  89. /yingpanguazai/ssd/ssd1/www/wwww.yeyulingfeng.com/app/middleware.php ( 0.25 KB )
  90. /yingpanguazai/ssd/ssd1/www/wwww.yeyulingfeng.com/vendor/topthink/framework/src/think/Pipeline.php ( 2.61 KB )
  91. /yingpanguazai/ssd/ssd1/www/wwww.yeyulingfeng.com/vendor/topthink/think-trace/src/TraceDebug.php ( 3.40 KB )
  92. /yingpanguazai/ssd/ssd1/www/wwww.yeyulingfeng.com/vendor/topthink/framework/src/think/middleware/SessionInit.php ( 1.94 KB )
  93. /yingpanguazai/ssd/ssd1/www/wwww.yeyulingfeng.com/vendor/topthink/framework/src/think/Session.php ( 1.80 KB )
  94. /yingpanguazai/ssd/ssd1/www/wwww.yeyulingfeng.com/vendor/topthink/framework/src/think/session/driver/File.php ( 6.27 KB )
  95. /yingpanguazai/ssd/ssd1/www/wwww.yeyulingfeng.com/vendor/topthink/framework/src/think/contract/SessionHandlerInterface.php ( 0.87 KB )
  96. /yingpanguazai/ssd/ssd1/www/wwww.yeyulingfeng.com/vendor/topthink/framework/src/think/session/Store.php ( 7.12 KB )
  97. /yingpanguazai/ssd/ssd1/www/wwww.yeyulingfeng.com/vendor/topthink/framework/src/think/Route.php ( 23.73 KB )
  98. /yingpanguazai/ssd/ssd1/www/wwww.yeyulingfeng.com/vendor/topthink/framework/src/think/route/RuleName.php ( 5.75 KB )
  99. /yingpanguazai/ssd/ssd1/www/wwww.yeyulingfeng.com/vendor/topthink/framework/src/think/route/Domain.php ( 2.53 KB )
  100. /yingpanguazai/ssd/ssd1/www/wwww.yeyulingfeng.com/vendor/topthink/framework/src/think/route/RuleGroup.php ( 22.43 KB )
  101. /yingpanguazai/ssd/ssd1/www/wwww.yeyulingfeng.com/vendor/topthink/framework/src/think/route/Rule.php ( 26.95 KB )
  102. /yingpanguazai/ssd/ssd1/www/wwww.yeyulingfeng.com/vendor/topthink/framework/src/think/route/RuleItem.php ( 9.78 KB )
  103. /yingpanguazai/ssd/ssd1/www/wwww.yeyulingfeng.com/route/app.php ( 3.63 KB )
  104. /yingpanguazai/ssd/ssd1/www/wwww.yeyulingfeng.com/vendor/topthink/framework/src/think/facade/Route.php ( 4.70 KB )
  105. /yingpanguazai/ssd/ssd1/www/wwww.yeyulingfeng.com/vendor/topthink/framework/src/think/route/dispatch/Controller.php ( 4.74 KB )
  106. /yingpanguazai/ssd/ssd1/www/wwww.yeyulingfeng.com/vendor/topthink/framework/src/think/route/Dispatch.php ( 10.44 KB )
  107. /yingpanguazai/ssd/ssd1/www/wwww.yeyulingfeng.com/app/controller/Index.php ( 9.50 KB )
  108. /yingpanguazai/ssd/ssd1/www/wwww.yeyulingfeng.com/app/BaseController.php ( 2.05 KB )
  109. /yingpanguazai/ssd/ssd1/www/wwww.yeyulingfeng.com/vendor/topthink/think-orm/src/facade/Db.php ( 0.93 KB )
  110. /yingpanguazai/ssd/ssd1/www/wwww.yeyulingfeng.com/vendor/topthink/think-orm/src/db/connector/Mysql.php ( 5.44 KB )
  111. /yingpanguazai/ssd/ssd1/www/wwww.yeyulingfeng.com/vendor/topthink/think-orm/src/db/PDOConnection.php ( 52.47 KB )
  112. /yingpanguazai/ssd/ssd1/www/wwww.yeyulingfeng.com/vendor/topthink/think-orm/src/db/Connection.php ( 8.39 KB )
  113. /yingpanguazai/ssd/ssd1/www/wwww.yeyulingfeng.com/vendor/topthink/think-orm/src/db/ConnectionInterface.php ( 4.57 KB )
  114. /yingpanguazai/ssd/ssd1/www/wwww.yeyulingfeng.com/vendor/topthink/think-orm/src/db/builder/Mysql.php ( 16.58 KB )
  115. /yingpanguazai/ssd/ssd1/www/wwww.yeyulingfeng.com/vendor/topthink/think-orm/src/db/Builder.php ( 24.06 KB )
  116. /yingpanguazai/ssd/ssd1/www/wwww.yeyulingfeng.com/vendor/topthink/think-orm/src/db/BaseBuilder.php ( 27.50 KB )
  117. /yingpanguazai/ssd/ssd1/www/wwww.yeyulingfeng.com/vendor/topthink/think-orm/src/db/Query.php ( 15.71 KB )
  118. /yingpanguazai/ssd/ssd1/www/wwww.yeyulingfeng.com/vendor/topthink/think-orm/src/db/BaseQuery.php ( 45.13 KB )
  119. /yingpanguazai/ssd/ssd1/www/wwww.yeyulingfeng.com/vendor/topthink/think-orm/src/db/concern/TimeFieldQuery.php ( 7.43 KB )
  120. /yingpanguazai/ssd/ssd1/www/wwww.yeyulingfeng.com/vendor/topthink/think-orm/src/db/concern/AggregateQuery.php ( 3.26 KB )
  121. /yingpanguazai/ssd/ssd1/www/wwww.yeyulingfeng.com/vendor/topthink/think-orm/src/db/concern/ModelRelationQuery.php ( 20.07 KB )
  122. /yingpanguazai/ssd/ssd1/www/wwww.yeyulingfeng.com/vendor/topthink/think-orm/src/db/concern/ParamsBind.php ( 3.66 KB )
  123. /yingpanguazai/ssd/ssd1/www/wwww.yeyulingfeng.com/vendor/topthink/think-orm/src/db/concern/ResultOperation.php ( 7.01 KB )
  124. /yingpanguazai/ssd/ssd1/www/wwww.yeyulingfeng.com/vendor/topthink/think-orm/src/db/concern/WhereQuery.php ( 19.37 KB )
  125. /yingpanguazai/ssd/ssd1/www/wwww.yeyulingfeng.com/vendor/topthink/think-orm/src/db/concern/JoinAndViewQuery.php ( 7.11 KB )
  126. /yingpanguazai/ssd/ssd1/www/wwww.yeyulingfeng.com/vendor/topthink/think-orm/src/db/concern/TableFieldInfo.php ( 2.63 KB )
  127. /yingpanguazai/ssd/ssd1/www/wwww.yeyulingfeng.com/vendor/topthink/think-orm/src/db/concern/Transaction.php ( 2.77 KB )
  128. /yingpanguazai/ssd/ssd1/www/wwww.yeyulingfeng.com/vendor/topthink/framework/src/think/log/driver/File.php ( 5.96 KB )
  129. /yingpanguazai/ssd/ssd1/www/wwww.yeyulingfeng.com/vendor/topthink/framework/src/think/contract/LogHandlerInterface.php ( 0.86 KB )
  130. /yingpanguazai/ssd/ssd1/www/wwww.yeyulingfeng.com/vendor/topthink/framework/src/think/log/Channel.php ( 3.89 KB )
  131. /yingpanguazai/ssd/ssd1/www/wwww.yeyulingfeng.com/vendor/topthink/framework/src/think/event/LogRecord.php ( 1.02 KB )
  132. /yingpanguazai/ssd/ssd1/www/wwww.yeyulingfeng.com/vendor/topthink/think-helper/src/Collection.php ( 16.47 KB )
  133. /yingpanguazai/ssd/ssd1/www/wwww.yeyulingfeng.com/vendor/topthink/framework/src/think/facade/View.php ( 1.70 KB )
  134. /yingpanguazai/ssd/ssd1/www/wwww.yeyulingfeng.com/vendor/topthink/framework/src/think/View.php ( 4.39 KB )
  135. /yingpanguazai/ssd/ssd1/www/wwww.yeyulingfeng.com/vendor/topthink/framework/src/think/Response.php ( 8.81 KB )
  136. /yingpanguazai/ssd/ssd1/www/wwww.yeyulingfeng.com/vendor/topthink/framework/src/think/response/View.php ( 3.29 KB )
  137. /yingpanguazai/ssd/ssd1/www/wwww.yeyulingfeng.com/vendor/topthink/framework/src/think/Cookie.php ( 6.06 KB )
  138. /yingpanguazai/ssd/ssd1/www/wwww.yeyulingfeng.com/vendor/topthink/think-view/src/Think.php ( 8.38 KB )
  139. /yingpanguazai/ssd/ssd1/www/wwww.yeyulingfeng.com/vendor/topthink/framework/src/think/contract/TemplateHandlerInterface.php ( 1.60 KB )
  140. /yingpanguazai/ssd/ssd1/www/wwww.yeyulingfeng.com/vendor/topthink/think-template/src/Template.php ( 46.61 KB )
  141. /yingpanguazai/ssd/ssd1/www/wwww.yeyulingfeng.com/vendor/topthink/think-template/src/template/driver/File.php ( 2.41 KB )
  142. /yingpanguazai/ssd/ssd1/www/wwww.yeyulingfeng.com/vendor/topthink/think-template/src/template/contract/DriverInterface.php ( 0.86 KB )
  143. /yingpanguazai/ssd/ssd1/www/wwww.yeyulingfeng.com/runtime/temp/10a0c909b6afa23b5a52a2e2d58c3c0f.php ( 21.72 KB )
  144. /yingpanguazai/ssd/ssd1/www/wwww.yeyulingfeng.com/vendor/topthink/think-trace/src/Html.php ( 4.42 KB )
  1. CONNECT:[ UseTime:0.001239s ] mysql:host=127.0.0.1;port=3306;dbname=wenku;charset=utf8mb4
  2. SHOW FULL COLUMNS FROM `fenlei` [ RunTime:0.002008s ]
  3. SELECT * FROM `fenlei` WHERE `fid` = 0 [ RunTime:0.000778s ]
  4. SELECT * FROM `fenlei` WHERE `fid` = 63 [ RunTime:0.000714s ]
  5. SHOW FULL COLUMNS FROM `set` [ RunTime:0.001679s ]
  6. SELECT * FROM `set` [ RunTime:0.000606s ]
  7. SHOW FULL COLUMNS FROM `wendang` [ RunTime:0.001984s ]
  8. SELECT * FROM `wendang` WHERE `id` = 331430 LIMIT 1 [ RunTime:0.001245s ]
  9. UPDATE `wendang` SET `liulancishu` = 1 WHERE `id` = 331430 [ RunTime:0.014877s ]
  10. UPDATE `wendang` SET `lasttime` = 1772495639 WHERE `id` = 331430 [ RunTime:0.003696s ]
  11. SELECT * FROM `wendang` WHERE `id` < 331430 ORDER BY `id` DESC LIMIT 1 [ RunTime:0.001539s ]
  12. SELECT * FROM `wendang` WHERE `id` > 331430 ORDER BY `id` ASC LIMIT 1 [ RunTime:0.001734s ]
  13. SELECT * FROM `wendang` WHERE `id` <> 331430 ORDER BY `id` DESC LIMIT 10 [ RunTime:0.005431s ]
  14. SELECT * FROM `wendang` WHERE `id` <> 331430 ORDER BY `id` DESC LIMIT 10,10 [ RunTime:0.006671s ]
  15. SELECT * FROM `wendang` WHERE `id` <> 331430 ORDER BY `id` DESC LIMIT 20,10 [ RunTime:0.007154s ]
0.209947s