当前位置:首页>文档>2023年高考押题预测卷01(天津卷)-数学(全解全析)_2.2025数学总复习_2023年新高考资料_42023年高考数学押题预测卷

2023年高考押题预测卷01(天津卷)-数学(全解全析)_2.2025数学总复习_2023年新高考资料_42023年高考数学押题预测卷

  • 2026-04-03 10:33:09 2026-03-09 13:25:56

文档预览

2023年高考押题预测卷01(天津卷)-数学(全解全析)_2.2025数学总复习_2023年新高考资料_42023年高考数学押题预测卷
2023年高考押题预测卷01(天津卷)-数学(全解全析)_2.2025数学总复习_2023年新高考资料_42023年高考数学押题预测卷
2023年高考押题预测卷01(天津卷)-数学(全解全析)_2.2025数学总复习_2023年新高考资料_42023年高考数学押题预测卷
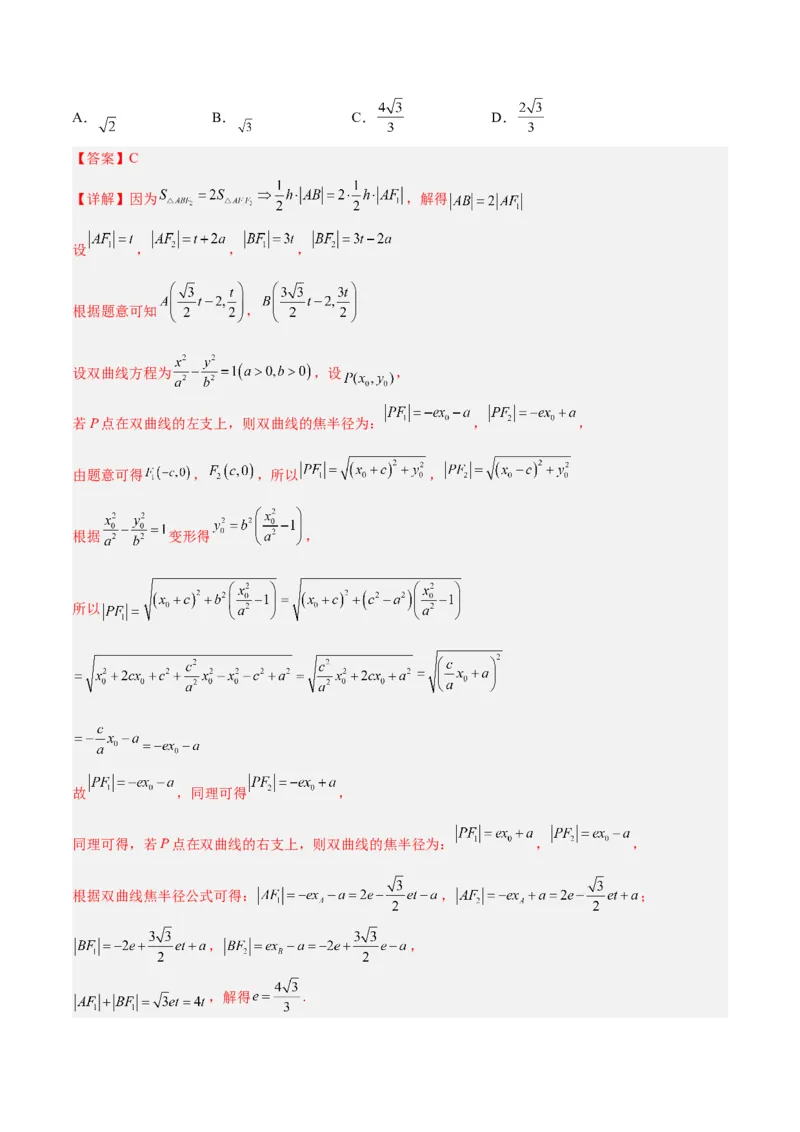
2023年高考押题预测卷01(天津卷)-数学(全解全析)_2.2025数学总复习_2023年新高考资料_42023年高考数学押题预测卷
2023年高考押题预测卷01(天津卷)-数学(全解全析)_2.2025数学总复习_2023年新高考资料_42023年高考数学押题预测卷
2023年高考押题预测卷01(天津卷)-数学(全解全析)_2.2025数学总复习_2023年新高考资料_42023年高考数学押题预测卷
2023年高考押题预测卷01(天津卷)-数学(全解全析)_2.2025数学总复习_2023年新高考资料_42023年高考数学押题预测卷
2023年高考押题预测卷01(天津卷)-数学(全解全析)_2.2025数学总复习_2023年新高考资料_42023年高考数学押题预测卷
2023年高考押题预测卷01(天津卷)-数学(全解全析)_2.2025数学总复习_2023年新高考资料_42023年高考数学押题预测卷
2023年高考押题预测卷01(天津卷)-数学(全解全析)_2.2025数学总复习_2023年新高考资料_42023年高考数学押题预测卷
2023年高考押题预测卷01(天津卷)-数学(全解全析)_2.2025数学总复习_2023年新高考资料_42023年高考数学押题预测卷
2023年高考押题预测卷01(天津卷)-数学(全解全析)_2.2025数学总复习_2023年新高考资料_42023年高考数学押题预测卷
2023年高考押题预测卷01(天津卷)-数学(全解全析)_2.2025数学总复习_2023年新高考资料_42023年高考数学押题预测卷
2023年高考押题预测卷01(天津卷)-数学(全解全析)_2.2025数学总复习_2023年新高考资料_42023年高考数学押题预测卷
2023年高考押题预测卷01(天津卷)-数学(全解全析)_2.2025数学总复习_2023年新高考资料_42023年高考数学押题预测卷
2023年高考押题预测卷01(天津卷)-数学(全解全析)_2.2025数学总复习_2023年新高考资料_42023年高考数学押题预测卷
2023年高考押题预测卷01(天津卷)-数学(全解全析)_2.2025数学总复习_2023年新高考资料_42023年高考数学押题预测卷
2023年高考押题预测卷01(天津卷)-数学(全解全析)_2.2025数学总复习_2023年新高考资料_42023年高考数学押题预测卷
2023年高考押题预测卷01(天津卷)-数学(全解全析)_2.2025数学总复习_2023年新高考资料_42023年高考数学押题预测卷
2023年高考押题预测卷01(天津卷)-数学(全解全析)_2.2025数学总复习_2023年新高考资料_42023年高考数学押题预测卷
2023年高考押题预测卷01(天津卷)-数学(全解全析)_2.2025数学总复习_2023年新高考资料_42023年高考数学押题预测卷
2023年高考押题预测卷01(天津卷)-数学(全解全析)_2.2025数学总复习_2023年新高考资料_42023年高考数学押题预测卷
2023年高考押题预测卷01(天津卷)-数学(全解全析)_2.2025数学总复习_2023年新高考资料_42023年高考数学押题预测卷

文档信息

文档格式
docx
文档大小
2.960 MB
文档页数
23 页
上传时间
2026-03-09 13:25:56

文档内容

绝密★启用前 2023 年高考押题预测卷 01 数学(天津卷) (考试时间:120分钟 试卷满分:150分) 注意事项: 1.本试卷分第Ⅰ卷(选择题)和第Ⅱ卷(非选择题)两部分。答卷前,考生务必将自己的姓名、准 考证号填写在答题卡上。 2.回答第Ⅰ卷时,选出每小题答案后,用2B铅笔把答题卡上对应题目的答案标号涂黑。如需改动, 用橡皮擦干净后,再选涂其他答案标号。写在本试卷上无效。 3.回答第Ⅱ卷时,将答案写在答题卡上。写在本试卷上无效。 4.考试结束后,将本试卷和答题卡一并交回。 第Ⅰ卷(共 45 分) 一、选择题:本题共9个小题,每小题5分,共45分.每小题给出的四个选项只有一个符合 题目要求. 1.设全集 ,集合 , ,则 ( ) A. B. C. D. 【答案】C 【详解】因为 , , 所以 , 所以 . 故选:C. 2.设 ,则“ ”是“ ”的( ) A.充分不必要条件 B.必要不充分条件 C.充要条件 D.既不充分也不必要条件 【答案】A 【详解】当 时 ,故充分性成立,由 可得 或 ,故必要性不成立, 所以“ ”是“ ”的充分不必要条件. 故选:A 3.函数 的图象大致是( ) A. B. C. D. 【答案】A 【详解】 定义域为 ,且 , 即 为奇函数,函数图象关于原点对称,故排除B、D; 当 时 , ,所以 ,故排除C; 故选:A 4.某高中随机选取100名学生一次数学统测测试成绩,分为6组: ,绘制了频率分布直方图如图所示,则成绩在区间 内 的学生有( ) A.35名 B.50名 C.60名 D.65名 【答案】D【详解】∵ , ∴ , ∴ (名), 故选:D. 5.若 , , ,则 , , 的大小关系为( ) A. B. C. D. 【答案】B 【详解】依题意, , , 而 ,即 , 所以 , , 的大小关系为 . 故选:B 6.设 ,则 =( ) A. B. C. D. 【答案】D 【详解】解: 即 ,所以 即 , 所以 , 故选:D 7.已知 , 分别是双曲线 的左、右焦点,焦距为4,若过点 且倾斜角为 的直线与双曲线的左、右支分别交于 , 两点, ,则该双曲线的离心率为( )A. B. C. D. 【答案】C 【详解】因为 ,解得 设 , , , 根据题意可知 , 设双曲线方程为 ,设 , 若P点在双曲线的左支上,则双曲线的焦半径为: , , 由题意可得 , ,所以 , 根据 变形得 , 所以 故 ,同理可得 , 同理可得,若P点在双曲线的右支上,则双曲线的焦半径为: , , 根据双曲线焦半径公式可得: , ; , , ,解得 .故选:C 8.数学中有许多形状优美,寓意独特的几何体,“勒洛四面体”就是其中之一.勒洛四面体是以正四面 体的四个顶点为球心,以正四面体的棱长为半径的四个球的公共部分.如图,在勒洛四面体中,正四面体 的棱长为 ,则下列结论正确的是( ) A.勒洛四面体最大的截面是正三角形 B.若 、 是勒洛四面体 表面上的任意两点,则 的最大值为 C.勒洛四面体 的体积是 D.勒洛四面体 内切球的半径是 【答案】D 【详解】由勒洛四面体的定义可知勒洛四面体最大的截面即经过四面体 表面的截面,如图1所示, 故A不正确; 根据勒洛四面体的性质,它能在两个平行平面间自由转动,并且始终保持与两平面都接触, 所以勒洛四面体表面上任意两点间的距离的最大值即为内接正四面体的边长, 所以勒洛四面体表面上任意两点间的距离的最大值为 ,故B错误; 如图2,由对称性可知勒洛四面体内切球的球心 是正四面体 外接球的球心, 连接 并延长交勒洛四面体的曲面于点 ,则 就是勒洛四面体内切球的半径. 如图3, 在正四面体 中, 为 的中心, 是正四面体 外接球的球心, 连接 、 、 ,由正四面体的性质可知 在 上. 因为 , 所以 ,则 . 因为 ,即 ,解得 , 则正四面体 外接球的体积是 , 而勒洛四面体 的体积小于其外接球的体积,C错误; 因为 ,所以 , 所以,勒洛四面体 内切球的半径是 ,则 D正确. 故选:D. 9.将函数 的图象向左平移 个单位长度后得到函数 的图象,则下列四个结论: ① 是 的一个解析式; ② 是最小正周期为 的奇函数; ③ 的单调递减区间为 , ; ④直线 是 图象的一条对称轴. 其中正确结论的个数为( ) A.1 B.2 C.3 D.4 【答案】B 【详解】将函数 的图象向左平移 个单位长度 得到函数 的图象,故①错误;函数 的最小正周期 ,但是 ,故 为非奇非偶函数,即② 错误; 令 , ,解得 , , 所以 的单调递减区间为 , ,故③正确; 因为 ,所以直线 是 图象的一条对称轴,故④正确; 故选:B 第Ⅱ卷(共 105 分) 二、填空题(本大题共6个小题,每小题5分,共30分.把答案填在题中横线上.) 10.若复数 为纯虚数,则 =___________. 【答案】 【详解】 为纯虚数,则 且 ,∴ , , 故答案为: . 11. 的展开式中的常数项为______. 【答案】 【详解】二项式 展开式的通项为 , 令 ,解得 , 常数项为 . 故答案为: .12.圆心在直线 上,且与直线 相切于点 的圆的方程为______. 【答案】 【详解】记圆心为点 ,点 为点 , 因为圆心 在直线 上,故可设圆心 的坐标为 , 因为圆 与直线 相切于点 , 所以直线 与直线 垂直, 直线 的斜率为 ,直线 的斜率为 , 所以 , 所以 , 所以圆心为 , 圆的半径为 , 所以圆的方程为 . 故答案为: . 13.假设某市场供应的灯泡中,甲厂产品占 ,乙厂产品占 ,甲厂产品的合格率为 ,乙厂产 品的合格率为 ,在该市场中购买甲厂的两个灯泡,则恰有一个是合格品的概率为___________;若在该市场中随机购买一个灯泡,则这个灯泡是合格品的概率为___________. 【答案】 / / 【分析】根据全概率公式和条件概率公式计算即可. 【详解】在该市场中购买甲厂的两个灯泡, 恰有一个是合格品的概率为 , 若在该市场中随机购买一个灯泡,则这个灯泡是合格品的概率为 . 故答案为: ; . 14.窗花是贴在窗子或窗户上的剪纸,是中国古老的传统民间艺术之一,图1是一个正八边形窗花隔断, 图2是从窗花图中抽象出的几何图形的示意图.如图2,正八边形ABCDEFGH中,若 ,则 的值为________ ;若正八边形ABCDEFGH的边长为2,P是正八边形 ABCDEFGH八条边上的动点,则 的最小值为______. 【答案】 【详解】 ,以点 为坐标原点,分别以 所在直线为 轴,建立平面直角坐标系, 正八边形内角和为 ,则 ,所以, , , 因为 ,则 , 所以 ,解得 , 所以 ; 设 ,则 , ,则 , 所以,当点 在线段 上时, 取最小值 . 故答案为: , . 15.已知函数 满足: ,当 时, ;当 时, ,若关于 的方程 在区间 上恰有三个不同的实数解,则实数 的 取值范围是______. 【答案】 【详解】由已知当 时, ,当 时, , 所以当 时, , , 因为当 时, , 所以当 , ,当 , , 作出函数 在 时的函数图像,如图所示, 方程 可化为 ,因为方程 在区间 上恰有三个不同的 实数解,所以函数 与函数 的图象在 上有且仅有三个交点, 当 时,函数 与函数 的图象在 上有且仅有三个交点, 所以 在区间 上恰有三个不同的实数解,符合题意; 当 时,函数 与函数 的图象在 上有且仅有六个交点,所以 在区间 上恰有六个不同的实数解,不符合题意;当 时,函数 与函数 的图象在 上有且仅有五个交点, 所以 在区间 上恰有五个不同的实数解,不符合题意; 当 时,函数 与函数 的图象在 上有且仅有四个交点, 所以 在区间 上恰有四个不同的实数解,不符合题意;当 时,函数 与函数 的图象在 上有且仅有三个交点, 所以 在区间 上恰有三个不同的实数解,符合题意; 当 时,函数 与函数 的图象在 上有且仅有两个交点, 所以 在区间 上恰有两个不同的实数解,不符合题意;当 时,函数 与函数 的图象在 上没有交点, 所以 在区间 上没有实数解,不符合题意; 综上所述,若关于 的方程 在区间 上恰有三个不同的实数解,则实数 的取值范围 是 . 故答案为: 三、解答题:(本大题5个题,共75分) 16. 中,角 , , 所对的边分别为 , , ,且 .(1)求角 的大小; (2)若 ,求 的值. 【详解】(1)由余弦定理 ,则 , 又 ,所以 ,即 , 由正弦定理可得 ,因为 , 所以 ,则 ,又 ,所以 . (2)因为 , ,所以 , 所以 , , 所以 . 17.如图,四棱锥 中,平面 平面 是 中点, 是 上一点. (1)当 时, (i)证明: 平面 ; (ii)求直线 与平面 所成角的正弦值; (2)平面 与平面 夹角的余弦值为 ,求 的值. 【详解】(1)解:如图建立空间直角坐标系,以 为坐标原点, 为 轴, 为 轴,过点 作面 的垂线为 轴,则由题意可得 , 由 ,及 即 , 可得 . (i)设平面 的一个法向量为 , 则 解得 令 ,得 是平面 的一个法向量. 因为 , 所以 .又 平面 , 所以 平面 . (ii)由(i)可得 , 所以直线 与平面 所成角的正弦值为 . (2)设 , 则 ,设 是平面 的一个法向量, 则 , 取 ,则 是平面 的一个法向量, 则 , 解得 或 (舍去). 所以 . 18.在公差不为零的等差数列 和等比数列 中, 为 的前 项和.已知 ,且 是 与 的等比中项. (1)求 和 的通项公式; (2)记数列 的前 项和为 ,求 ; (3)求 . 【详解】(1)设 的公差为 , 的公比为 ,由题意 ,即 , ∵ ,解得 ,∴ ,∴ . ∵ ,∴ ,∴ ∴ . (2)∴ ① ∴ ② ① ②得 ∴ . (3) 当 为偶数时, 当 为奇数时, ∴ 19.已知椭圆 的离心率为 ,左、右顶点分别为 、 ,点 、 为椭圆上异于 、 的两点, 面积的最大值为 . (1)求椭圆 的方程; (2)设直线 、 的斜率分别为 、 ,且 . ①求证:直线 经过定点. ②设 和 的面积分别为 、 ,求 的最大值. 【详解】(1)解:当点 为椭圆 短轴顶点时, 的面积取最大值,且最大值为 , 由题意可得 ,解得 , 所以,椭圆 的标准方程为 . (2)解:①设点 、 . 若直线 的斜率为零,则点 、 关于 轴对称,则 ,不合乎题意. 设直线 的方程为 ,由于直线 不过椭圆 的左、右焦点,则 , 联立 可得 , ,可得 , 由韦达定理可得 , ,则 , 所以, ,解得 , 即直线 的方程为 ,故直线 过定点 . ②由韦达定理可得 , , 所以,, ,则 , 因为函数 在 上单调递增,故 , 所以, ,当且仅当 时,等号成立, 因此, 的最大值为 . 20.已知函数 .(注: 是自然对数的底数). (1)当 时,求曲线 在点 处的切线方程; (2)当 时,函数 在区间 内有唯一的极值点 . ①求实数 的取值范围; ②求证: 在区间 内有唯一的零点 ,且 . 【详解】(1)当 时, , , 切线的斜率 ,又 ,所以切点为 , 所以,切线方程为 (2)①.函数 , , (ⅰ)当 时,当 时, , , ,则 在 上单调递增, 没有极值点,不合题意,舍去; (ⅱ)当 时,设 ,则 在 上恒成立,所以 在 上递增,即 在 上递增, 又 , ,所以 在 上有唯一零点 , 当 时, ,函数 单调递减; 当 时, ,函数 单调递增, 所以函数 在区间 内有唯一极值点,符合题意, 综上, 的取值范围是 . ②.由①知 ,当 时, , 当 时, ,函数 单调递减; 当 时, ,函数 单调递增; 所以 时, ,则 , 又因为 ,所以 在 上有唯一零点 , 即 在 上有唯一零点 . 因为 , 由①知 ,所以 , 则 , 设 , ,则 , , ,所以 在 为单调递增,又 ,所以 , 又 时, ,所以 . 所以 . 由前面讨论知 , , 在 单调递增, 所以 .