当前位置:首页>文档>2024年高考数学一轮复习(新高考版)第9章 §9.2 用样本估计总体_2.2025数学总复习_2024年新高考资料_1.2024一轮复习_2024年高考数学一轮复习讲义(新高考版)

2024年高考数学一轮复习(新高考版)第9章 §9.2 用样本估计总体_2.2025数学总复习_2024年新高考资料_1.2024一轮复习_2024年高考数学一轮复习讲义(新高考版)

  • 2026-03-10 05:20:16 2026-03-10 05:20:16

文档预览

2024年高考数学一轮复习(新高考版)第9章 §9.2 用样本估计总体_2.2025数学总复习_2024年新高考资料_1.2024一轮复习_2024年高考数学一轮复习讲义(新高考版)
2024年高考数学一轮复习(新高考版)第9章 §9.2 用样本估计总体_2.2025数学总复习_2024年新高考资料_1.2024一轮复习_2024年高考数学一轮复习讲义(新高考版)
2024年高考数学一轮复习(新高考版)第9章 §9.2 用样本估计总体_2.2025数学总复习_2024年新高考资料_1.2024一轮复习_2024年高考数学一轮复习讲义(新高考版)
2024年高考数学一轮复习(新高考版)第9章 §9.2 用样本估计总体_2.2025数学总复习_2024年新高考资料_1.2024一轮复习_2024年高考数学一轮复习讲义(新高考版)
2024年高考数学一轮复习(新高考版)第9章 §9.2 用样本估计总体_2.2025数学总复习_2024年新高考资料_1.2024一轮复习_2024年高考数学一轮复习讲义(新高考版)
2024年高考数学一轮复习(新高考版)第9章 §9.2 用样本估计总体_2.2025数学总复习_2024年新高考资料_1.2024一轮复习_2024年高考数学一轮复习讲义(新高考版)
2024年高考数学一轮复习(新高考版)第9章 §9.2 用样本估计总体_2.2025数学总复习_2024年新高考资料_1.2024一轮复习_2024年高考数学一轮复习讲义(新高考版)
2024年高考数学一轮复习(新高考版)第9章 §9.2 用样本估计总体_2.2025数学总复习_2024年新高考资料_1.2024一轮复习_2024年高考数学一轮复习讲义(新高考版)
2024年高考数学一轮复习(新高考版)第9章 §9.2 用样本估计总体_2.2025数学总复习_2024年新高考资料_1.2024一轮复习_2024年高考数学一轮复习讲义(新高考版)
2024年高考数学一轮复习(新高考版)第9章 §9.2 用样本估计总体_2.2025数学总复习_2024年新高考资料_1.2024一轮复习_2024年高考数学一轮复习讲义(新高考版)
2024年高考数学一轮复习(新高考版)第9章 §9.2 用样本估计总体_2.2025数学总复习_2024年新高考资料_1.2024一轮复习_2024年高考数学一轮复习讲义(新高考版)
2024年高考数学一轮复习(新高考版)第9章 §9.2 用样本估计总体_2.2025数学总复习_2024年新高考资料_1.2024一轮复习_2024年高考数学一轮复习讲义(新高考版)

文档信息

文档格式
docx
文档大小
0.670 MB
文档页数
12 页
上传时间
2026-03-10 05:20:16

文档内容

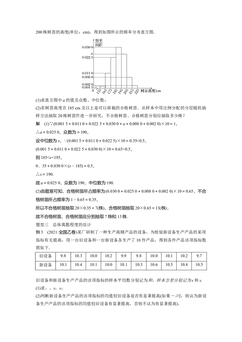
§9.2 用样本估计总体 考试要求 1.会用统计图表对总体进行估计,会求n个数据的第p百分位数.2.能用数字特 征估计总体集中趋势和总体离散程度. 知识梳理 1.百分位数 一般地,一组数据的第p百分位数是这样一个值,它使得这组数据中至少有 p % 的数据小于 或等于这个值,且至少有(100-p)%的数据大于或等于这个值. 2.平均数、中位数和众数 (1)平均数:=(x+x+…+x). 1 2 n (2)中位数:将一组数据按从小到大或从大到小的顺序排列,处在最中间的一个数据(当数据 个数是奇数时)或最中间两个数据的平均数(当数据个数是偶数时). (3)众数:一组数据中出现次数最多的数据(即频数最大值所对应的样本数据). 3.方差和标准差 (1)方差:s2=(x-)2或-2. i (2)标准差:s=. 4.总体(样本)方差和总体(样本)标准差 (1)一般式:如果总体中所有个体的变量值分别为Y,Y,…,Y ,总体平均数为,则总体方 1 2 N 差S2=(Y-)2. i (2)加权式:如果总体的N个变量值中,不同的值共有 k(k≤N)个,不妨记为Y ,Y ,…, 1 2 Y,其中Y出现的频数为f(i=1,2,…,k),则总体方差为S2=(Y-)2. k i i i i 常用结论 1.若x,x,…,x 的平均数为,那么mx+a,mx+a,…,mx+a的平均数为m+a. 1 2 n 1 2 n 2.数据x ,x ,…,x 与数据x′=x +a,x′=x +a,…,x′=x +a 的方差相等,即 1 2 n 1 1 2 2 n n 数据经过平移后方差不变. 3.若x,x,…,x 的方差为s2,那么ax+b,ax+b,…,ax+b的方差为a2s2. 1 2 n 1 2 n 思考辨析 判断下列结论是否正确(请在括号中打“√”或“×”) (1)对一组数据来说,平均数和中位数总是非常接近.( × ) (2)方差与标准差具有相同的单位.( × ) (3)如果一组数中每个数减去同一个非零常数,则这组数的平均数改变,方差不变.( √ ) (4)在频率分布直方图中,最高的小长方形底边中点的横坐标是众数.( √ ) 教材改编题1.若数据x,x,…,x 的方差为2,则数据2x,2x,…,2x 的方差为( ) 1 2 9 1 2 9 A.2 B.4 C.6 D.8 答案 D 解析 根据方差的性质可知,数据x ,x ,…,x 的方差s2=2,那么数据2x ,2x ,…,2x 1 2 9 1 2 9 的方差为22s2=8. 2.某射击运动员7次的训练成绩分别为86,88,90,89,88,87,85,则这7次成绩的第80百分位 数为( ) A.88.5 B.89 C.91 D.89.5 答案 B 解析 7次的训练成绩从小到大排列为85,86,87,88,88,89,90, 7×80%=5.6,所以第80百分位数为从小到大排列的数据中的第6个数据,即89. 3 . 某 校 体 育 节 10 名 旗 手 的 身 高 ( 单 位 : cm) 分 别 为 175,178,176,180,179,175,176,179,180,179,则中位数为________. 答案 178.5 解析 把10名旗手的身高从小到大排列为175,175,176,176,178,179,179,179,180,180, 则=178.5,所以所求中位数为178.5. 题型一 样本的数字特征和百分位数的估计 例1 (1)从某中学抽取10名同学,他们的数学成绩如下:82,85,88,90,92,92,92,96,96,98(单位: 分),则这10名同学数学成绩的众数、第25百分位数分别为( ) A.92,85 B.92,88 C.95,88 D.96,85 答案 B 解析 数据92出现了3次,出现的次数最多,所以众数是92;这组数据已经按照由小到大 的顺序排列,计算10×25%=2.5,取第三个数,所以第25百分位数是88. 延伸探究 本例中,第70百分位数是多少? 解 10×70%=7,第70百分位数是第7项与第8项的平均数,为=94. (2)(多选)(2023·哈尔滨模拟)下面是某城市某日在不同观测点对细颗粒物(PM )的观测值: 2.5 396 275 268 225 168 166 176 173 188 168 141 157 若在此组数据中增加一个比现有的最大值大25的数据,下列数字特征发生改变的是( ) A.极差 B.中位数 C.众数 D.平均数 答案 ABD解析 根据题意,若在此组数据中增加一个比现有的最大值大25的数据,即最大值变为 396+25=421,极差为最大值与最小值的差,要发生改变; 加入数据前,中位数为×(173+176)=174.5,加入数据后,中位数为176,发生改变; 众数为数据中出现次数最多的数,不会改变; 若加入数据前,平均数为,加入数据后,平均数为>,发生改变. 思维升华 计算一组n个数据第p百分位数的步骤 跟踪训练 1 (1)某中学高一年级 8 名学生某次考试的数学成绩(满分 150 分)分别为 85,90,93,99,101,103,116,130,则这8名学生数学成绩的第75百分位数为( ) A.102 B.103 C.109.5 D.116 答案 C 解析 这组数据已经按照由小到大的数据排列,8×75%=6,则这8名学生数学成绩的第75 百分位数为第6个数与第7个数的平均数,即为=109.5. (2)(多选)冬季奥林匹克运动会,是世界规模最大的冬季综合性运动会.自 1924年起,每四 年举办一届.2022年2月在北京举办了第24届冬季奥林匹克运动会,为了宣传奥运精神,红 星实验学校组织了甲、乙两个社团,利用一周的时间对外进行宣传,将每天宣传的次数绘制 成如图所示的频数分布折线图,则( ) A.甲社团宣传次数的众数小于乙社团宣传次数的众数 B.甲社团宣传次数的极差大于乙社团宣传次数的极差 C.甲社团宣传次数的平均数大于乙社团宣传次数的平均数 D.甲社团宣传次数的方差大于乙社团宣传次数的方差 答案 ABD 解析 观察每天宣传次数的频数分布折线图,甲社团宣传次数的众数、乙社团宣传次数的众数分别为2,3,A正确; 甲社团宣传次数的极差、乙社团宣传次数的极差分别为3,2,B正确; 甲社团宣传次数的平均数 ==3,乙社团宣传次数的平均数 ==3,C不正确; 1 2 甲社团宣传次数的方差s=×[3×(2-3)2+2×(3-3)2+(5-3)2+(4-3)2]=, 乙社团宣传次数的方差s=×[2×(2-3)2+3×(3-3)2+2×(4-3)2]=,D正确. 题型二 总体集中趋势的估计 例2 为了讴歌中华民族实现伟大复兴的奋斗历程,增进学生对中国共产党的热爱,某学校 举办了一场党史竞赛活动,共有500名学生参加了此次竞赛活动.为了解本次竞赛活动的成 绩,从中抽取了50名学生的成绩(成绩均为整数,满分为100分)进行统计,所有学生的成绩 都不低于 60 分,将这 50 名学生的成绩(单位:分)进行分组,第一组[60,70),第二组 [70,80),第三组[80,90),第四组[90,100],得到如图所示的频率分布直方图. (1)求图中m的值,并估计此次竞赛活动学生成绩的中位数; (2)根据频率分布直方图,估计此次竞赛活动成绩的平均数.若对成绩不低于平均数的同学 进行奖励,请估计在参赛的500名学生中有多少名学生获奖. 解 (1)由频率分布直方图知(0.01+m+0.04+0.02)×10=1,解得m=0.03; 设此次竞赛活动学生成绩的中位数为 x ,因为数据落在[60,80)内的频率为0.4,落在[60,90) 0 内的频率为0.8, 从而可得800.5, 则1852成立,所以认为新设备生产产品的该项指标的均值较旧设备有显著提高. 思维升华 总体离散程度的估计 标准差(方差)反映了数据的离散与集中、波动与稳定的程度.标准差(方差)越大,数据的离 散程度越大;标准差(方差)越小,数据的离散程度越小. 跟踪训练3 (2022·济宁模拟)甲、乙两名学生参加数学竞赛培训,现分别从他们在培训期间 参加的若干次预赛成绩中随机抽取8次,记录如下: 甲 82 81 79 78 95 88 93 84 乙 92 95 80 75 83 80 90 85 (1)求两位学生预赛成绩的平均数和方差; (2)现要从中选派一人参加数学竞赛,从统计学的角度考虑,你认为选派哪位学生参加合适? 请说明理由. 解 (1) =×(82+81+79+78+95+88+93+84)=85, 甲 =×(92+95+80+75+83+80+90+85)=85, 乙 s=×[(82-85)2+(81-85)2+(79-85)2+(78-85)2+(95-85)2+(88-85)2+(93-85)2+(84- 85)2]=35.5, s=×[(92-85)2+(95-85)2+(80-85)2+(75-85)2+(83-85)2+(80-85)2+(90-85)2+(85- 85)2]=41. (2)由(1)知 = ,s30%, 故D选项正确. 4.(多选)习近平总书记强调,要坚持健康第一的教育理念,加强学校体育工作,推动青少年文化学习和体育锻炼协调发展.某学校对高一年级学生每周在校体育锻炼时长(单位:小 时)进行了统计,得到如下频率分布表: 分组 [2,3) [3,4) [4,5) [5,6] 频率 0.25 0.30 0.20 0.25 则下列关于高一年级学生每周体育锻炼时长的说法中正确的是( ) A.众数约为2.5 B.中位数约为3.83 C.平均数为3.95 D.第80百分位数约为5.2 答案 BCD 解析 对于A,根据频率分布表可得,高一年级学生每周体育锻炼时长的众数为=3.5,故 A错误; 对于 B,设高一年级学生每周体育锻炼时长的中位数为 x,则 0.25+×0.30=0.5,解得 x≈3.83,故B正确; 对于C,高一年级学生每周体育锻炼时长的平均数为 0.25×2.5+0.30×3.5+0.20×4.5+ 0.25×5.5=3.95,故C正确; 对于D,因为0.25+0.30+0.20+0.05=0.80,所以高一年级学生每周体育锻炼时长的第 80 百分位数约为5+=5.2,故D正确. 5.(多选)第24届冬奥会于2022年2月4日在国家体育场鸟巢举行了盛大开幕式.在冬奥会 的志愿者选拔工作中,某高校承办了面试工作,面试成绩满分100分,现随机抽取了80名 候选者的面试成绩并分为五组,绘制成如图所示的频率分布直方图,则下列说法正确的是 (每组数据以区间的中点值为代表)( ) A.b的值为0.25 B.候选者面试成绩的中位数约为69.4 C.在被抽取的候选者中,成绩在区间[65,75)之间的候选者有30人 D.估计候选者的面试成绩的平均数约为69.5 答案 BD解析 对于A,由(0.005+b+0.045+0.02+0.005)×10=1,解得b=0.025,故A错误; 对于B,设候选者面试成绩的中位数为x,则(0.005+0.025)×10+(x-65)×0.045=0.5,解 得x≈69.4,故B正确; 对于C,成绩在区间[65,75)的频率为0.045×10=0.45,故人数为80×0.45=36,故C错误; 对于 D,50×0.005×10+60×0.025×10+70×0.045×10+80×0.02×10+90×0.005×10= 69.5,故D正确. 6.(2023·云南师大附中模拟)根据气象学上的标准,连续5天的日平均气温低于10 ℃即为 入冬,将连续5天的日平均温度的记录数据(记录数据都是自然数)作为一组样本,现有4组 样本①,②,③,④,依次计算得到结果如下: ①平均数<4; ②平均数<4且极差小于或等于3; ③平均数<4且标准差s≤4; ④众数等于5且极差小于或等于4. 则4组样本中一定符合入冬指标的共有( ) A.1组 B.2组 C.3组 D.4组 答案 B 解析 ①举反例:0,0,0,4,11,其平均数=3<4.但不符合入冬指标; ②假设有数据大于或等于10,由极差小于或等于3可知, 则此组数据中的最小值为10-3=7,此时数据的平均数必然大于7,与<4矛盾,故假设错 误.则此组数据全部小于10. 符合入冬指标; ③举反例:1,1,1,1,11,平均数=3<4,且标准差s=4.但不符合入冬指标; ④在众数等于5且极差小于等于4时,最大数不超过9.符合入冬指标. 7.(2022·福州模拟)电影《长津湖》点燃了人们心中对英雄的崇敬之情,也更加显示出如今 和平生活的来之不易.某影院记录了观看此片的70位观众的年龄,其中年龄位于区间 [10,20)内的有10位,位于区间[20,30)内的有20位,位于区间[30,40)内的有25位,位于区间 [40,50]内的有15位,则这70位观众年龄的众数的估计值为________. 答案 35 解析 由于25>20>15>10,故众数位于区间[30,40)内,所以众数的估计值为=35. 8.(2023·沧州模拟)已知某样本数据分别为1,2,3,a,6,若样本平均数=3,则样本方差s2= ________. 答案 解析 由题设,得==3,可得a=3,所以s2=(x-)2=. i 9.(2023·南通模拟)某学校对高一某班的同学进行了身高(单位:cm)调查,将得到的数据进 行适当分组后(除最后一组为闭区间外其余每组为左闭右开区间),画出如图所示的频率分布 直方图.(1)求m的值; (2)估计全班同学身高的中位数; (3)估计全班同学身高的平均数及方差(同一组中的数据用该组区间的中点值作代表). 解 (1)由频率分布直方图可得(m+0.010+0.010+0.015+0.040)×10=1,解得m=0.025. (2)设全班同学身高的中位数为x,由题可知x∈[165,175),得0.10+0.15+(x-165)×0.040= 0.5, 解得x=171.25, 故估计全班同学身高的中位数为171.25. (3)估计全班同学身高的平均数为150×0.10+160×0.15+170×0.40+180×0.25+190×0.10 =171, 估计全班同学身高的方差为(150-171)2×0.10+(160-171)2×0.15+(170-171)2×0.40+(180 -171)2×0.25+(190-171)2×0.10=119. 10.对参加某次数学竞赛的1 000名选手的初赛成绩(满分:100分)作统计,得到如图所示 的频率分布直方图. (1)根据直方图完成以下表格; 成绩 [50,60) [60,70) [70,80) [80,90) [90,100] 频数 (2)求参赛选手初赛成绩的平均数及方差(同一组中的数据用该组区间的中点值作代表); (3)如果从参加初赛的选手中选取380人参加复赛,那么如何确定进入复赛的选手成绩? 解 (1)填表如下: 成绩 [50,60) [60,70) [70,80) [80,90) [90,100] 频数 50 150 350 350 100(2)平均数为55×0.05+65×0.15+75×0.35+85×0.35+95×0.1=78, 方差为(55-78)2×0.05+(65-78)2×0.15+(75-78)2×0.35+(85-78)2×0.35+(95-78)2×0.1 =101. (3)进入复赛的选手成绩为80+×10=82(分), 所以初赛成绩为82分及以上的选手均可进入复赛.(说明:回答82分以上,或82分及以上 均可). 11.(2022·天津模拟)某校排球社的同学为训练动作组织了垫排球比赛,以下为根据排球社 50位同学的垫球个数画的频率分布直方图,所有同学垫球数都在5~40之间.估计垫球数 的样本数据的第75百分位数是( ) A.17.5 B.18.75 C.27 D.28 答案 D 解析 垫球数在区间[5,25)内的人数占总数的(0.01+0.01+0.04+0.06)×5×100%=60%, 垫球数在区间[5,30)内的人数占总数的(0.01+0.01+0.04+0.06+0.05)×5×100%=85%; 所以第75百分位数位于区间[25,30)内,且25+5×=28, 所以估计垫球数的样本数据的第75百分位数是28. 12.(2022·上海模拟)若等差数列{x}的公差为3,则x,x,x,…,x 的方差为________. n 1 2 3 9 答案 60 解析 由等差数列{x}的公差为3,可知====x, n 5 所以方差s2=[(x-x)2+(x-x)2+…+(x-x)2]=(16d2+9d2+4d2+d2)×2=d2=×9=60. 1 5 2 5 9 5 13.(多选)某学校规定,若五个工作日内学校某天有超过3个人的体温测量值高于37.5 ℃,则需全员进行核酸检测.该校统计了五个工作日内每天体温超过37.5 ℃的人数,则根 据这组数据的下列信息,能断定该校不需全员进行核酸检测的是( ) A.中位数是1,平均数是1 B.中位数是1,众数是0 C.中位数是2,众数是2D.平均数是2,方差是0.8 答案 AD 解析 对于A,因为中位数是1,设五个工作日内每天体温超过37.5 ℃的人数按从小到大 的顺序排列为a,b,1,c,d, 因为平均数是1,所以a+b+1+c+d=5,若d=4,则a=b=c=0,与中位数是1矛盾, 故A正确; 对于B,设五个工作日内每天体温超过37.5 ℃的人数按从小到大的顺序排列为0,0,1,2,4, 满足中位数是1,众数是0,但有一天超过3人,故B错误; 对于C,设五个工作日内每天体温超过37.5 ℃的人数按从小到大的顺序排列为0,2,2,3,4, 满足中位数是2,众数是2,但有一天超过3人,故C错误; 对于D,设五个工作日内每天体温超过37.5 ℃的人数按从小到大的顺序排列为a,b,c, d,e, 因为平均数是2,方差是0.8,则a+b+c+d+e=10, [(a-2)2+(b-2)2+(c-2)2+(d-2)2+(e-2)2]=0.8, 即(a-2)2+(b-2)2+(c-2)2+(d-2)2+(e-2)2=4, 则e≤4,若e=4,从方差角度来说a=b=c=d=2,不满足a+b+c+d+e=10, 所以e<4,同理a,b,c,d均小于4,故D正确. 14.(多选)已知一组数据丢失了一个大于3的数据,剩下的六个数据分别是3,3,5,3,6,11,若 这组数据的平均数与众数的和是中位数的2倍,则丢失的数据可能是( ) A.4 B.12 C.18 D.20 答案 AC 解析 设丢失的数据为x,则这七个数据的平均数为,众数是3, 若3
基本 文件 流程 错误 SQL 调试
  1. 请求信息 : 2026-03-10 05:20:36 HTTP/1.1 GET : https://www.yeyulingfeng.com/wendang/369890.html
  2. 运行时间 : 0.153264s [ 吞吐率:6.52req/s ] 内存消耗:5,292.67kb 文件加载:144
  3. 缓存信息 : 0 reads,0 writes
  4. 会话信息 : SESSION_ID=77ca00788156f943b8f7c2def2e83106
  1. /yingpanguazai/ssd/ssd1/www/wwww.yeyulingfeng.com/public/index.php ( 0.79 KB )
  2. /yingpanguazai/ssd/ssd1/www/wwww.yeyulingfeng.com/vendor/autoload.php ( 0.17 KB )
  3. /yingpanguazai/ssd/ssd1/www/wwww.yeyulingfeng.com/vendor/composer/autoload_real.php ( 2.49 KB )
  4. /yingpanguazai/ssd/ssd1/www/wwww.yeyulingfeng.com/vendor/composer/platform_check.php ( 0.90 KB )
  5. /yingpanguazai/ssd/ssd1/www/wwww.yeyulingfeng.com/vendor/composer/ClassLoader.php ( 14.03 KB )
  6. /yingpanguazai/ssd/ssd1/www/wwww.yeyulingfeng.com/vendor/composer/autoload_static.php ( 6.05 KB )
  7. /yingpanguazai/ssd/ssd1/www/wwww.yeyulingfeng.com/vendor/topthink/think-helper/src/helper.php ( 8.34 KB )
  8. /yingpanguazai/ssd/ssd1/www/wwww.yeyulingfeng.com/vendor/topthink/think-validate/src/helper.php ( 2.19 KB )
  9. /yingpanguazai/ssd/ssd1/www/wwww.yeyulingfeng.com/vendor/ralouphie/getallheaders/src/getallheaders.php ( 1.60 KB )
  10. /yingpanguazai/ssd/ssd1/www/wwww.yeyulingfeng.com/vendor/topthink/think-orm/src/helper.php ( 1.47 KB )
  11. /yingpanguazai/ssd/ssd1/www/wwww.yeyulingfeng.com/vendor/topthink/think-orm/stubs/load_stubs.php ( 0.16 KB )
  12. /yingpanguazai/ssd/ssd1/www/wwww.yeyulingfeng.com/vendor/topthink/framework/src/think/Exception.php ( 1.69 KB )
  13. /yingpanguazai/ssd/ssd1/www/wwww.yeyulingfeng.com/vendor/topthink/think-container/src/Facade.php ( 2.71 KB )
  14. /yingpanguazai/ssd/ssd1/www/wwww.yeyulingfeng.com/vendor/symfony/deprecation-contracts/function.php ( 0.99 KB )
  15. /yingpanguazai/ssd/ssd1/www/wwww.yeyulingfeng.com/vendor/symfony/polyfill-mbstring/bootstrap.php ( 8.26 KB )
  16. /yingpanguazai/ssd/ssd1/www/wwww.yeyulingfeng.com/vendor/symfony/polyfill-mbstring/bootstrap80.php ( 9.78 KB )
  17. /yingpanguazai/ssd/ssd1/www/wwww.yeyulingfeng.com/vendor/symfony/var-dumper/Resources/functions/dump.php ( 1.49 KB )
  18. /yingpanguazai/ssd/ssd1/www/wwww.yeyulingfeng.com/vendor/topthink/think-dumper/src/helper.php ( 0.18 KB )
  19. /yingpanguazai/ssd/ssd1/www/wwww.yeyulingfeng.com/vendor/symfony/var-dumper/VarDumper.php ( 4.30 KB )
  20. /yingpanguazai/ssd/ssd1/www/wwww.yeyulingfeng.com/vendor/guzzlehttp/guzzle/src/functions_include.php ( 0.16 KB )
  21. /yingpanguazai/ssd/ssd1/www/wwww.yeyulingfeng.com/vendor/guzzlehttp/guzzle/src/functions.php ( 5.54 KB )
  22. /yingpanguazai/ssd/ssd1/www/wwww.yeyulingfeng.com/vendor/topthink/framework/src/think/App.php ( 15.30 KB )
  23. /yingpanguazai/ssd/ssd1/www/wwww.yeyulingfeng.com/vendor/topthink/think-container/src/Container.php ( 15.76 KB )
  24. /yingpanguazai/ssd/ssd1/www/wwww.yeyulingfeng.com/vendor/psr/container/src/ContainerInterface.php ( 1.02 KB )
  25. /yingpanguazai/ssd/ssd1/www/wwww.yeyulingfeng.com/app/provider.php ( 0.19 KB )
  26. /yingpanguazai/ssd/ssd1/www/wwww.yeyulingfeng.com/vendor/topthink/framework/src/think/Http.php ( 6.04 KB )
  27. /yingpanguazai/ssd/ssd1/www/wwww.yeyulingfeng.com/vendor/topthink/think-helper/src/helper/Str.php ( 7.29 KB )
  28. /yingpanguazai/ssd/ssd1/www/wwww.yeyulingfeng.com/vendor/topthink/framework/src/think/Env.php ( 4.68 KB )
  29. /yingpanguazai/ssd/ssd1/www/wwww.yeyulingfeng.com/app/common.php ( 0.03 KB )
  30. /yingpanguazai/ssd/ssd1/www/wwww.yeyulingfeng.com/vendor/topthink/framework/src/helper.php ( 18.78 KB )
  31. /yingpanguazai/ssd/ssd1/www/wwww.yeyulingfeng.com/vendor/topthink/framework/src/think/Config.php ( 5.54 KB )
  32. /yingpanguazai/ssd/ssd1/www/wwww.yeyulingfeng.com/config/alipay.php ( 3.59 KB )
  33. /yingpanguazai/ssd/ssd1/www/wwww.yeyulingfeng.com/vendor/topthink/framework/src/think/facade/Env.php ( 1.67 KB )
  34. /yingpanguazai/ssd/ssd1/www/wwww.yeyulingfeng.com/config/app.php ( 0.95 KB )
  35. /yingpanguazai/ssd/ssd1/www/wwww.yeyulingfeng.com/config/cache.php ( 0.78 KB )
  36. /yingpanguazai/ssd/ssd1/www/wwww.yeyulingfeng.com/config/console.php ( 0.23 KB )
  37. /yingpanguazai/ssd/ssd1/www/wwww.yeyulingfeng.com/config/cookie.php ( 0.56 KB )
  38. /yingpanguazai/ssd/ssd1/www/wwww.yeyulingfeng.com/config/database.php ( 2.48 KB )
  39. /yingpanguazai/ssd/ssd1/www/wwww.yeyulingfeng.com/config/filesystem.php ( 0.61 KB )
  40. /yingpanguazai/ssd/ssd1/www/wwww.yeyulingfeng.com/config/lang.php ( 0.91 KB )
  41. /yingpanguazai/ssd/ssd1/www/wwww.yeyulingfeng.com/config/log.php ( 1.35 KB )
  42. /yingpanguazai/ssd/ssd1/www/wwww.yeyulingfeng.com/config/middleware.php ( 0.19 KB )
  43. /yingpanguazai/ssd/ssd1/www/wwww.yeyulingfeng.com/config/route.php ( 1.89 KB )
  44. /yingpanguazai/ssd/ssd1/www/wwww.yeyulingfeng.com/config/session.php ( 0.57 KB )
  45. /yingpanguazai/ssd/ssd1/www/wwww.yeyulingfeng.com/config/trace.php ( 0.34 KB )
  46. /yingpanguazai/ssd/ssd1/www/wwww.yeyulingfeng.com/config/view.php ( 0.82 KB )
  47. /yingpanguazai/ssd/ssd1/www/wwww.yeyulingfeng.com/app/event.php ( 0.25 KB )
  48. /yingpanguazai/ssd/ssd1/www/wwww.yeyulingfeng.com/vendor/topthink/framework/src/think/Event.php ( 7.67 KB )
  49. /yingpanguazai/ssd/ssd1/www/wwww.yeyulingfeng.com/app/service.php ( 0.13 KB )
  50. /yingpanguazai/ssd/ssd1/www/wwww.yeyulingfeng.com/app/AppService.php ( 0.26 KB )
  51. /yingpanguazai/ssd/ssd1/www/wwww.yeyulingfeng.com/vendor/topthink/framework/src/think/Service.php ( 1.64 KB )
  52. /yingpanguazai/ssd/ssd1/www/wwww.yeyulingfeng.com/vendor/topthink/framework/src/think/Lang.php ( 7.35 KB )
  53. /yingpanguazai/ssd/ssd1/www/wwww.yeyulingfeng.com/vendor/topthink/framework/src/lang/zh-cn.php ( 13.70 KB )
  54. /yingpanguazai/ssd/ssd1/www/wwww.yeyulingfeng.com/vendor/topthink/framework/src/think/initializer/Error.php ( 3.31 KB )
  55. /yingpanguazai/ssd/ssd1/www/wwww.yeyulingfeng.com/vendor/topthink/framework/src/think/initializer/RegisterService.php ( 1.33 KB )
  56. /yingpanguazai/ssd/ssd1/www/wwww.yeyulingfeng.com/vendor/services.php ( 0.14 KB )
  57. /yingpanguazai/ssd/ssd1/www/wwww.yeyulingfeng.com/vendor/topthink/framework/src/think/service/PaginatorService.php ( 1.52 KB )
  58. /yingpanguazai/ssd/ssd1/www/wwww.yeyulingfeng.com/vendor/topthink/framework/src/think/service/ValidateService.php ( 0.99 KB )
  59. /yingpanguazai/ssd/ssd1/www/wwww.yeyulingfeng.com/vendor/topthink/framework/src/think/service/ModelService.php ( 2.04 KB )
  60. /yingpanguazai/ssd/ssd1/www/wwww.yeyulingfeng.com/vendor/topthink/think-trace/src/Service.php ( 0.77 KB )
  61. /yingpanguazai/ssd/ssd1/www/wwww.yeyulingfeng.com/vendor/topthink/framework/src/think/Middleware.php ( 6.72 KB )
  62. /yingpanguazai/ssd/ssd1/www/wwww.yeyulingfeng.com/vendor/topthink/framework/src/think/initializer/BootService.php ( 0.77 KB )
  63. /yingpanguazai/ssd/ssd1/www/wwww.yeyulingfeng.com/vendor/topthink/think-orm/src/Paginator.php ( 11.86 KB )
  64. /yingpanguazai/ssd/ssd1/www/wwww.yeyulingfeng.com/vendor/topthink/think-validate/src/Validate.php ( 63.20 KB )
  65. /yingpanguazai/ssd/ssd1/www/wwww.yeyulingfeng.com/vendor/topthink/think-orm/src/Model.php ( 23.55 KB )
  66. /yingpanguazai/ssd/ssd1/www/wwww.yeyulingfeng.com/vendor/topthink/think-orm/src/model/concern/Attribute.php ( 21.05 KB )
  67. /yingpanguazai/ssd/ssd1/www/wwww.yeyulingfeng.com/vendor/topthink/think-orm/src/model/concern/AutoWriteData.php ( 4.21 KB )
  68. /yingpanguazai/ssd/ssd1/www/wwww.yeyulingfeng.com/vendor/topthink/think-orm/src/model/concern/Conversion.php ( 6.44 KB )
  69. /yingpanguazai/ssd/ssd1/www/wwww.yeyulingfeng.com/vendor/topthink/think-orm/src/model/concern/DbConnect.php ( 5.16 KB )
  70. /yingpanguazai/ssd/ssd1/www/wwww.yeyulingfeng.com/vendor/topthink/think-orm/src/model/concern/ModelEvent.php ( 2.33 KB )
  71. /yingpanguazai/ssd/ssd1/www/wwww.yeyulingfeng.com/vendor/topthink/think-orm/src/model/concern/RelationShip.php ( 28.29 KB )
  72. /yingpanguazai/ssd/ssd1/www/wwww.yeyulingfeng.com/vendor/topthink/think-helper/src/contract/Arrayable.php ( 0.09 KB )
  73. /yingpanguazai/ssd/ssd1/www/wwww.yeyulingfeng.com/vendor/topthink/think-helper/src/contract/Jsonable.php ( 0.13 KB )
  74. /yingpanguazai/ssd/ssd1/www/wwww.yeyulingfeng.com/vendor/topthink/think-orm/src/model/contract/Modelable.php ( 0.09 KB )
  75. /yingpanguazai/ssd/ssd1/www/wwww.yeyulingfeng.com/vendor/topthink/framework/src/think/Db.php ( 2.88 KB )
  76. /yingpanguazai/ssd/ssd1/www/wwww.yeyulingfeng.com/vendor/topthink/think-orm/src/DbManager.php ( 8.52 KB )
  77. /yingpanguazai/ssd/ssd1/www/wwww.yeyulingfeng.com/vendor/topthink/framework/src/think/Log.php ( 6.28 KB )
  78. /yingpanguazai/ssd/ssd1/www/wwww.yeyulingfeng.com/vendor/topthink/framework/src/think/Manager.php ( 3.92 KB )
  79. /yingpanguazai/ssd/ssd1/www/wwww.yeyulingfeng.com/vendor/psr/log/src/LoggerTrait.php ( 2.69 KB )
  80. /yingpanguazai/ssd/ssd1/www/wwww.yeyulingfeng.com/vendor/psr/log/src/LoggerInterface.php ( 2.71 KB )
  81. /yingpanguazai/ssd/ssd1/www/wwww.yeyulingfeng.com/vendor/topthink/framework/src/think/Cache.php ( 4.92 KB )
  82. /yingpanguazai/ssd/ssd1/www/wwww.yeyulingfeng.com/vendor/psr/simple-cache/src/CacheInterface.php ( 4.71 KB )
  83. /yingpanguazai/ssd/ssd1/www/wwww.yeyulingfeng.com/vendor/topthink/think-helper/src/helper/Arr.php ( 16.63 KB )
  84. /yingpanguazai/ssd/ssd1/www/wwww.yeyulingfeng.com/vendor/topthink/framework/src/think/cache/driver/File.php ( 7.84 KB )
  85. /yingpanguazai/ssd/ssd1/www/wwww.yeyulingfeng.com/vendor/topthink/framework/src/think/cache/Driver.php ( 9.03 KB )
  86. /yingpanguazai/ssd/ssd1/www/wwww.yeyulingfeng.com/vendor/topthink/framework/src/think/contract/CacheHandlerInterface.php ( 1.99 KB )
  87. /yingpanguazai/ssd/ssd1/www/wwww.yeyulingfeng.com/app/Request.php ( 0.09 KB )
  88. /yingpanguazai/ssd/ssd1/www/wwww.yeyulingfeng.com/vendor/topthink/framework/src/think/Request.php ( 55.78 KB )
  89. /yingpanguazai/ssd/ssd1/www/wwww.yeyulingfeng.com/app/middleware.php ( 0.25 KB )
  90. /yingpanguazai/ssd/ssd1/www/wwww.yeyulingfeng.com/vendor/topthink/framework/src/think/Pipeline.php ( 2.61 KB )
  91. /yingpanguazai/ssd/ssd1/www/wwww.yeyulingfeng.com/vendor/topthink/think-trace/src/TraceDebug.php ( 3.40 KB )
  92. /yingpanguazai/ssd/ssd1/www/wwww.yeyulingfeng.com/vendor/topthink/framework/src/think/middleware/SessionInit.php ( 1.94 KB )
  93. /yingpanguazai/ssd/ssd1/www/wwww.yeyulingfeng.com/vendor/topthink/framework/src/think/Session.php ( 1.80 KB )
  94. /yingpanguazai/ssd/ssd1/www/wwww.yeyulingfeng.com/vendor/topthink/framework/src/think/session/driver/File.php ( 6.27 KB )
  95. /yingpanguazai/ssd/ssd1/www/wwww.yeyulingfeng.com/vendor/topthink/framework/src/think/contract/SessionHandlerInterface.php ( 0.87 KB )
  96. /yingpanguazai/ssd/ssd1/www/wwww.yeyulingfeng.com/vendor/topthink/framework/src/think/session/Store.php ( 7.12 KB )
  97. /yingpanguazai/ssd/ssd1/www/wwww.yeyulingfeng.com/vendor/topthink/framework/src/think/Route.php ( 23.73 KB )
  98. /yingpanguazai/ssd/ssd1/www/wwww.yeyulingfeng.com/vendor/topthink/framework/src/think/route/RuleName.php ( 5.75 KB )
  99. /yingpanguazai/ssd/ssd1/www/wwww.yeyulingfeng.com/vendor/topthink/framework/src/think/route/Domain.php ( 2.53 KB )
  100. /yingpanguazai/ssd/ssd1/www/wwww.yeyulingfeng.com/vendor/topthink/framework/src/think/route/RuleGroup.php ( 22.43 KB )
  101. /yingpanguazai/ssd/ssd1/www/wwww.yeyulingfeng.com/vendor/topthink/framework/src/think/route/Rule.php ( 26.95 KB )
  102. /yingpanguazai/ssd/ssd1/www/wwww.yeyulingfeng.com/vendor/topthink/framework/src/think/route/RuleItem.php ( 9.78 KB )
  103. /yingpanguazai/ssd/ssd1/www/wwww.yeyulingfeng.com/route/app.php ( 3.82 KB )
  104. /yingpanguazai/ssd/ssd1/www/wwww.yeyulingfeng.com/vendor/topthink/framework/src/think/facade/Route.php ( 4.70 KB )
  105. /yingpanguazai/ssd/ssd1/www/wwww.yeyulingfeng.com/vendor/topthink/framework/src/think/route/dispatch/Controller.php ( 4.74 KB )
  106. /yingpanguazai/ssd/ssd1/www/wwww.yeyulingfeng.com/vendor/topthink/framework/src/think/route/Dispatch.php ( 10.44 KB )
  107. /yingpanguazai/ssd/ssd1/www/wwww.yeyulingfeng.com/app/controller/Index.php ( 9.69 KB )
  108. /yingpanguazai/ssd/ssd1/www/wwww.yeyulingfeng.com/app/BaseController.php ( 2.05 KB )
  109. /yingpanguazai/ssd/ssd1/www/wwww.yeyulingfeng.com/vendor/topthink/think-orm/src/facade/Db.php ( 0.93 KB )
  110. /yingpanguazai/ssd/ssd1/www/wwww.yeyulingfeng.com/vendor/topthink/think-orm/src/db/connector/Mysql.php ( 5.44 KB )
  111. /yingpanguazai/ssd/ssd1/www/wwww.yeyulingfeng.com/vendor/topthink/think-orm/src/db/PDOConnection.php ( 52.47 KB )
  112. /yingpanguazai/ssd/ssd1/www/wwww.yeyulingfeng.com/vendor/topthink/think-orm/src/db/Connection.php ( 8.39 KB )
  113. /yingpanguazai/ssd/ssd1/www/wwww.yeyulingfeng.com/vendor/topthink/think-orm/src/db/ConnectionInterface.php ( 4.57 KB )
  114. /yingpanguazai/ssd/ssd1/www/wwww.yeyulingfeng.com/vendor/topthink/think-orm/src/db/builder/Mysql.php ( 16.58 KB )
  115. /yingpanguazai/ssd/ssd1/www/wwww.yeyulingfeng.com/vendor/topthink/think-orm/src/db/Builder.php ( 24.06 KB )
  116. /yingpanguazai/ssd/ssd1/www/wwww.yeyulingfeng.com/vendor/topthink/think-orm/src/db/BaseBuilder.php ( 27.50 KB )
  117. /yingpanguazai/ssd/ssd1/www/wwww.yeyulingfeng.com/vendor/topthink/think-orm/src/db/Query.php ( 15.71 KB )
  118. /yingpanguazai/ssd/ssd1/www/wwww.yeyulingfeng.com/vendor/topthink/think-orm/src/db/BaseQuery.php ( 45.13 KB )
  119. /yingpanguazai/ssd/ssd1/www/wwww.yeyulingfeng.com/vendor/topthink/think-orm/src/db/concern/TimeFieldQuery.php ( 7.43 KB )
  120. /yingpanguazai/ssd/ssd1/www/wwww.yeyulingfeng.com/vendor/topthink/think-orm/src/db/concern/AggregateQuery.php ( 3.26 KB )
  121. /yingpanguazai/ssd/ssd1/www/wwww.yeyulingfeng.com/vendor/topthink/think-orm/src/db/concern/ModelRelationQuery.php ( 20.07 KB )
  122. /yingpanguazai/ssd/ssd1/www/wwww.yeyulingfeng.com/vendor/topthink/think-orm/src/db/concern/ParamsBind.php ( 3.66 KB )
  123. /yingpanguazai/ssd/ssd1/www/wwww.yeyulingfeng.com/vendor/topthink/think-orm/src/db/concern/ResultOperation.php ( 7.01 KB )
  124. /yingpanguazai/ssd/ssd1/www/wwww.yeyulingfeng.com/vendor/topthink/think-orm/src/db/concern/WhereQuery.php ( 19.37 KB )
  125. /yingpanguazai/ssd/ssd1/www/wwww.yeyulingfeng.com/vendor/topthink/think-orm/src/db/concern/JoinAndViewQuery.php ( 7.11 KB )
  126. /yingpanguazai/ssd/ssd1/www/wwww.yeyulingfeng.com/vendor/topthink/think-orm/src/db/concern/TableFieldInfo.php ( 2.63 KB )
  127. /yingpanguazai/ssd/ssd1/www/wwww.yeyulingfeng.com/vendor/topthink/think-orm/src/db/concern/Transaction.php ( 2.77 KB )
  128. /yingpanguazai/ssd/ssd1/www/wwww.yeyulingfeng.com/vendor/topthink/framework/src/think/log/driver/File.php ( 5.96 KB )
  129. /yingpanguazai/ssd/ssd1/www/wwww.yeyulingfeng.com/vendor/topthink/framework/src/think/contract/LogHandlerInterface.php ( 0.86 KB )
  130. /yingpanguazai/ssd/ssd1/www/wwww.yeyulingfeng.com/vendor/topthink/framework/src/think/log/Channel.php ( 3.89 KB )
  131. /yingpanguazai/ssd/ssd1/www/wwww.yeyulingfeng.com/vendor/topthink/framework/src/think/event/LogRecord.php ( 1.02 KB )
  132. /yingpanguazai/ssd/ssd1/www/wwww.yeyulingfeng.com/vendor/topthink/think-helper/src/Collection.php ( 16.47 KB )
  133. /yingpanguazai/ssd/ssd1/www/wwww.yeyulingfeng.com/vendor/topthink/framework/src/think/facade/View.php ( 1.70 KB )
  134. /yingpanguazai/ssd/ssd1/www/wwww.yeyulingfeng.com/vendor/topthink/framework/src/think/View.php ( 4.39 KB )
  135. /yingpanguazai/ssd/ssd1/www/wwww.yeyulingfeng.com/vendor/topthink/framework/src/think/Response.php ( 8.81 KB )
  136. /yingpanguazai/ssd/ssd1/www/wwww.yeyulingfeng.com/vendor/topthink/framework/src/think/response/View.php ( 3.29 KB )
  137. /yingpanguazai/ssd/ssd1/www/wwww.yeyulingfeng.com/vendor/topthink/framework/src/think/Cookie.php ( 6.06 KB )
  138. /yingpanguazai/ssd/ssd1/www/wwww.yeyulingfeng.com/vendor/topthink/think-view/src/Think.php ( 8.38 KB )
  139. /yingpanguazai/ssd/ssd1/www/wwww.yeyulingfeng.com/vendor/topthink/framework/src/think/contract/TemplateHandlerInterface.php ( 1.60 KB )
  140. /yingpanguazai/ssd/ssd1/www/wwww.yeyulingfeng.com/vendor/topthink/think-template/src/Template.php ( 46.61 KB )
  141. /yingpanguazai/ssd/ssd1/www/wwww.yeyulingfeng.com/vendor/topthink/think-template/src/template/driver/File.php ( 2.41 KB )
  142. /yingpanguazai/ssd/ssd1/www/wwww.yeyulingfeng.com/vendor/topthink/think-template/src/template/contract/DriverInterface.php ( 0.86 KB )
  143. /yingpanguazai/ssd/ssd1/www/wwww.yeyulingfeng.com/runtime/temp/10a0c909b6afa23b5a52a2e2d58c3c0f.php ( 21.72 KB )
  144. /yingpanguazai/ssd/ssd1/www/wwww.yeyulingfeng.com/vendor/topthink/think-trace/src/Html.php ( 4.42 KB )
  1. CONNECT:[ UseTime:0.001077s ] mysql:host=127.0.0.1;port=3306;dbname=wenku;charset=utf8mb4
  2. SHOW FULL COLUMNS FROM `fenlei` [ RunTime:0.001656s ]
  3. SELECT * FROM `fenlei` WHERE `fid` = 0 [ RunTime:0.000723s ]
  4. SELECT * FROM `fenlei` WHERE `fid` = 63 [ RunTime:0.000707s ]
  5. SHOW FULL COLUMNS FROM `set` [ RunTime:0.001347s ]
  6. SELECT * FROM `set` [ RunTime:0.000642s ]
  7. SHOW FULL COLUMNS FROM `wendang` [ RunTime:0.001594s ]
  8. SELECT * FROM `wendang` WHERE `id` = 369890 LIMIT 1 [ RunTime:0.004716s ]
  9. UPDATE `wendang` SET `liulancishu` = 1 WHERE `id` = 369890 [ RunTime:0.021110s ]
  10. UPDATE `wendang` SET `lasttime` = 1773091236 WHERE `id` = 369890 [ RunTime:0.001419s ]
  11. SELECT * FROM `wendang` WHERE `id` < 369890 ORDER BY `id` DESC LIMIT 1 [ RunTime:0.003194s ]
  12. SELECT * FROM `wendang` WHERE `id` > 369890 ORDER BY `id` ASC LIMIT 1 [ RunTime:0.000994s ]
  13. SELECT * FROM `wendang` WHERE `id` <> 369890 ORDER BY `id` DESC LIMIT 10 [ RunTime:0.008725s ]
  14. SELECT * FROM `wendang` WHERE `id` <> 369890 ORDER BY `id` DESC LIMIT 10,10 [ RunTime:0.003107s ]
  15. SELECT * FROM `wendang` WHERE `id` <> 369890 ORDER BY `id` DESC LIMIT 20,10 [ RunTime:0.009766s ]
0.157404s