当前位置:首页>文档>图像题05电功率、焦耳定律(原卷版)_02中考总复习(2026版更新中)_04-物理-中考总复习_2024年中考复习资料_二轮复习_(讲义+练习)2024年中考物理二轮题型专项复习

图像题05电功率、焦耳定律(原卷版)_02中考总复习(2026版更新中)_04-物理-中考总复习_2024年中考复习资料_二轮复习_(讲义+练习)2024年中考物理二轮题型专项复习

  • 2026-03-10 08:03:06 2026-03-10 08:03:06

文档预览

图像题05电功率、焦耳定律(原卷版)_02中考总复习(2026版更新中)_04-物理-中考总复习_2024年中考复习资料_二轮复习_(讲义+练习)2024年中考物理二轮题型专项复习
图像题05电功率、焦耳定律(原卷版)_02中考总复习(2026版更新中)_04-物理-中考总复习_2024年中考复习资料_二轮复习_(讲义+练习)2024年中考物理二轮题型专项复习
图像题05电功率、焦耳定律(原卷版)_02中考总复习(2026版更新中)_04-物理-中考总复习_2024年中考复习资料_二轮复习_(讲义+练习)2024年中考物理二轮题型专项复习
图像题05电功率、焦耳定律(原卷版)_02中考总复习(2026版更新中)_04-物理-中考总复习_2024年中考复习资料_二轮复习_(讲义+练习)2024年中考物理二轮题型专项复习
图像题05电功率、焦耳定律(原卷版)_02中考总复习(2026版更新中)_04-物理-中考总复习_2024年中考复习资料_二轮复习_(讲义+练习)2024年中考物理二轮题型专项复习
图像题05电功率、焦耳定律(原卷版)_02中考总复习(2026版更新中)_04-物理-中考总复习_2024年中考复习资料_二轮复习_(讲义+练习)2024年中考物理二轮题型专项复习
图像题05电功率、焦耳定律(原卷版)_02中考总复习(2026版更新中)_04-物理-中考总复习_2024年中考复习资料_二轮复习_(讲义+练习)2024年中考物理二轮题型专项复习
图像题05电功率、焦耳定律(原卷版)_02中考总复习(2026版更新中)_04-物理-中考总复习_2024年中考复习资料_二轮复习_(讲义+练习)2024年中考物理二轮题型专项复习
图像题05电功率、焦耳定律(原卷版)_02中考总复习(2026版更新中)_04-物理-中考总复习_2024年中考复习资料_二轮复习_(讲义+练习)2024年中考物理二轮题型专项复习
图像题05电功率、焦耳定律(原卷版)_02中考总复习(2026版更新中)_04-物理-中考总复习_2024年中考复习资料_二轮复习_(讲义+练习)2024年中考物理二轮题型专项复习
图像题05电功率、焦耳定律(原卷版)_02中考总复习(2026版更新中)_04-物理-中考总复习_2024年中考复习资料_二轮复习_(讲义+练习)2024年中考物理二轮题型专项复习
图像题05电功率、焦耳定律(原卷版)_02中考总复习(2026版更新中)_04-物理-中考总复习_2024年中考复习资料_二轮复习_(讲义+练习)2024年中考物理二轮题型专项复习
图像题05电功率、焦耳定律(原卷版)_02中考总复习(2026版更新中)_04-物理-中考总复习_2024年中考复习资料_二轮复习_(讲义+练习)2024年中考物理二轮题型专项复习
图像题05电功率、焦耳定律(原卷版)_02中考总复习(2026版更新中)_04-物理-中考总复习_2024年中考复习资料_二轮复习_(讲义+练习)2024年中考物理二轮题型专项复习
图像题05电功率、焦耳定律(原卷版)_02中考总复习(2026版更新中)_04-物理-中考总复习_2024年中考复习资料_二轮复习_(讲义+练习)2024年中考物理二轮题型专项复习
图像题05电功率、焦耳定律(原卷版)_02中考总复习(2026版更新中)_04-物理-中考总复习_2024年中考复习资料_二轮复习_(讲义+练习)2024年中考物理二轮题型专项复习

文档信息

文档格式
docx
文档大小
0.329 MB
文档页数
16 页
上传时间
2026-03-10 08:03:06

文档内容

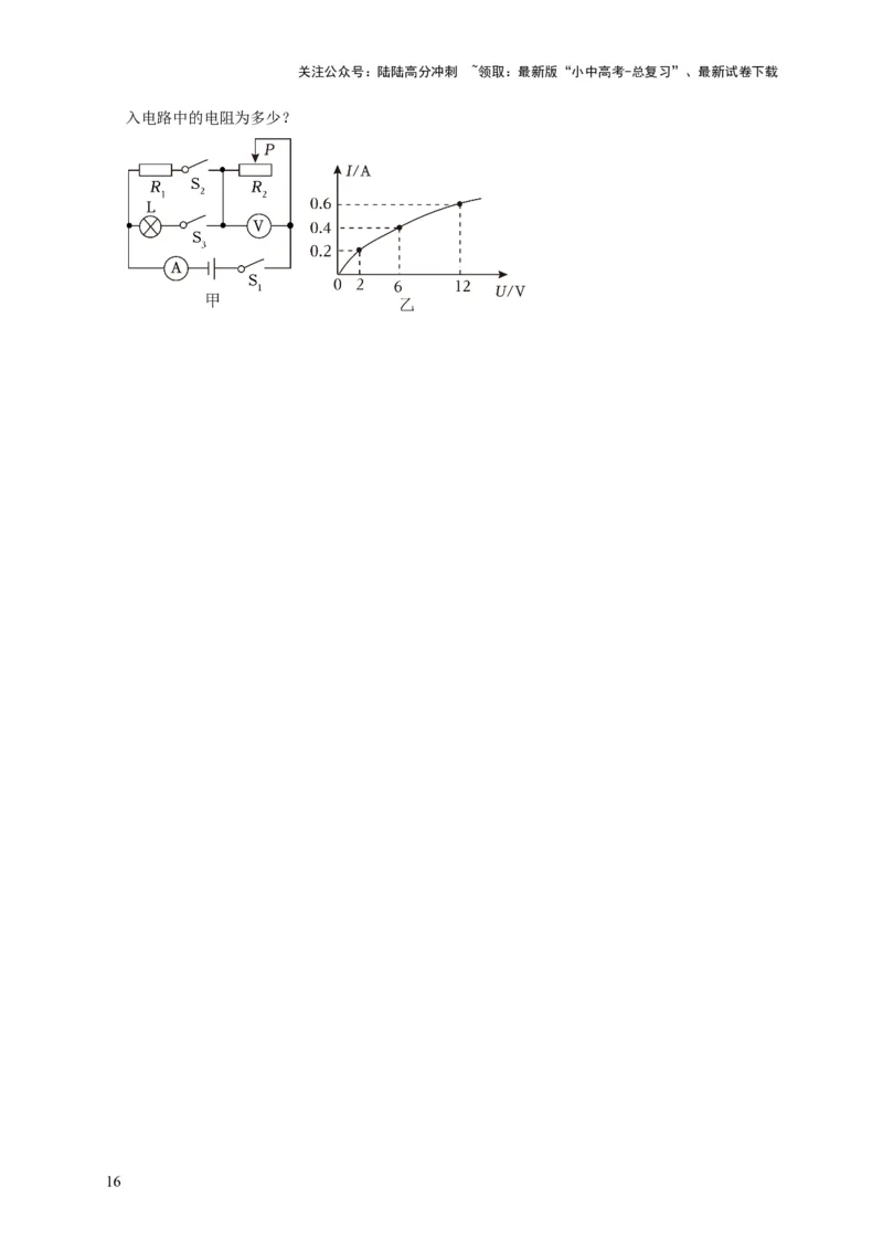
关注公众号:陆陆高分冲刺 ~领取:最新版“小中高考-总复习”、最新试卷下载 图像题 05 电功率、焦耳定律 1.(2023•枣庄)如图甲所示的电路中,电源电压不变,小灯泡L的阻值不变,滑动变阻器R的规 格是“100 1A”。闭合开关,在保证电路元件安全且能使小灯泡正常发光的前提下,最大范围 内移动滑片Ω,绘制了通过变阻器的电流与变阻器阻值关系的图象,如图乙所示。下列说法正确 的是( ) A.电源电压为6V B.小灯泡的电阻为10 C.小灯泡的额定功率为Ω 1.8W D.整个电路电功率最小时,20s内滑动变阻器消耗的电能为12J 2.(2023•西宁)如图所示,是小灯泡L和定值电阻R的I﹣U图象,由图象可知( ) A.R的电阻为5 B.小灯泡的电阻Ω随温度的升高而减小 C.只将L与R并联在电压为2V的电路中,干路中的电流为0.3A 1关注公众号:陆陆高分冲刺 ~领取:最新版“小中高考-总复习”、最新试卷下载 D.只将L与R串联在电流为0.2A的电路中,总功率为0.4W 3.(2023•德州)如图甲所示,电源电压保持不变。电流表A的量程为0~0.6A,电压表V 、V 1 2 的量程均为 0~3V,滑动变阻器 R的规格为“50 ,2A”,某一特种小灯泡的额定电压为 2.5V。滑动变阻器的滑片P在某点时,小灯泡正常发Ω光,此时电压表V 的示数为1.5V。在保证 2 电路各元件安全的最大范围内调节滑片P,其中一只电压表与电流表示数的变化图象如图乙所示。 下列说法正确的是( ) A.电源电压为3V B.电压表V 的示数变化范围为1.5V~3V 1 C.滑动变阻器的取值范围是3 ~50 D.小灯泡的功率范围为0.1W~Ω1.25WΩ 4.(2023•大庆)每年进入汛期,多地会发生强降雨,导致河流水位上涨。某校科技小组设计了一 个监测水位的装置如图甲所示,电路中电源电压保持不变,R 0 为定值电阻,R滑 是竖直放置的起 滑动变阻器作用的电阻装置(最大阻值 40 ),浮子可带动金属滑杆AP即滑动变阻器滑片竖直 上下移动,当电流表的示数达到某一数值时Ω提醒小组成员水位达到警戒值。R滑 接入电路的阻值 R随水位的变化关系如图乙所示,与之对应的电压表与电流表示数变化关系如图丙所示。下列说 法正确的是( ) 2关注公众号:陆陆高分冲刺 ~领取:最新版“小中高考-总复习”、最新试卷下载 A.当水位升高时,电压表的示数减小 B.该电路工作时总功率最小值为0.3W C.水位变化过程中,滑动变阻器功率最大时水位为20cm D.当水位达到警戒水位时,电压表的示数为3V 5.(2023•济宁)如图是灯泡L的I﹣U图像。结合图像分析,下列选项正确的是( ) A.通过灯泡L的电流与其两端的电压成正比 B.当通过灯泡L的电流为0.3A时,其实际功率为0.72W C.将两个完全相同的灯泡L串联在2.4V的电源两端,电路的总功率为0.24W D.将灯泡L和18 的定值电阻并联在3.6V的电源两端,电路的总电阻为6 6.(2023•遂宁)如Ω图甲所示电路,电源电压恒定,R 1 为定值电阻,滑动变Ω阻器R 2 铭牌上标有 “120 0.8A”的字样,电流表量程0~0.6A,电压表量程0~15V。在保证电路安全的前提下, 移动滑Ω动变阻器滑片,经测量分析,得出R 的电功率P与其两端电压U的关系如图乙。则下列 2 说法正确的是( ) 3关注公众号:陆陆高分冲刺 ~领取:最新版“小中高考-总复习”、最新试卷下载 A.电源电压为16V B.R 的阻值为25 1 C.电路总功率的最Ω大变化量为10.8W D.滑动变阻器允许接入电路的阻值范围为10 ~100 7.(2023•广安)如图甲所示,电源电压保持不Ω变,闭合Ω开关S,滑动变阻器的滑片P从a端移至 b端的过程中、R 消耗的电功率P随R 阻值变化关系如图乙所示。下列分析错误的是( ) 1 1 A.定值电阻R 为10 2 B.电源电压为12V Ω C.滑片P置于b端时,闭合开关S,电压表的示数为10V D.滑片P置于b 端时,闭合开关S,通电1分钟R 产生的热量为24J 2 8.(2023•广元)如图甲所示的电路,电源电压不变,R 是定值电阻,通过R 的电流与R 两端的 1 2 2 电压关系如图乙所示。当M、N都是电流表,且S 闭合、S 断开时,M的示数为0.4A,电路的 1 2 总电阻为R′;当M、N都是电压表,且S 、S 都闭合时,N的示数为2V,电路的总电阻为 1 2 R″。下列说法正确的是( ) 4关注公众号:陆陆高分冲刺 ~领取:最新版“小中高考-总复习”、最新试卷下载 A.电阻R 的阻值为15 1 B.R′:R″=6:25 Ω C.当M、N都是电压表,S 、S 都闭合时、R 与R 的功率之比为1:3 1 2 1 2 D.当M、N都是电流表,只闭合S 时、M、N两表示数之比为3:5 1 9.(2023•枣庄)体重超标已影响了部分中学生的身心健康,为了动态监测学生的体重情况,班级 科技创新小组设计了一台由电流表改装而成的简易体重计,其电路如图甲所示。已知电源电压 恒定,定值电阻R =5 ,R为压敏电阻,其阻值与所受到的压力关系如图乙所示,电流表量程 0 为0~0.6A,踏板重力不Ω计,求: (1)闭合开关S,当体重计空载时,电路中的电流为0.12A,电源电压为多少; (2)当体重计示数为600N时,R 消耗的电功率为多少; 0 (3)此体重计所能测量的最大体重为多少。 10.(2023•盐城)图甲是小明同学为学校草坪设计的一款自动注水、喷淋系统的电路图。控制电 路的电源电压U =12V,R 为压敏电阻,放置在注水系统水箱底部,其阻值随压力的增大而减 1 F 小。图乙是受控电路中电流随时间变化的关系图像。当通过电磁铁线圈的电流为 0.1A时,衔铁 恰好被吸下,注水系统停止工作,电磁铁线圈的电阻忽略不计。 5关注公众号:陆陆高分冲刺 ~领取:最新版“小中高考-总复习”、最新试卷下载 (1)当衔铁恰好被吸下时,求电阻R 的阻值。 F (2)求喷淋系统的电功率。 (3)求500s内注水系统消耗的电能。 11.(2023•澄城县一模)图甲是通过小灯泡L的电流与其两端电压的关系图象。现将小灯泡 L与 电阻R连入如图乙所示的电路中。闭合开关S,小灯泡的实际功率为1.8W,电压表示数为3V。 下列结果正确的是( ) ①电源电压为9V ②电阻R的阻值为10 ③电路消耗的总功率为Ω2.7W ④通过电阻R的电流为0.6A A.只有②③④正确 B.只有①②③正确 C.只有①③正确 D.只有②④正确 12.(2023•徐州模拟)如图甲所示的电路中,电源电压保持不变,闭合开关 S后,滑片P从b端 6关注公众号:陆陆高分冲刺 ~领取:最新版“小中高考-总复习”、最新试卷下载 移动到a端的过程中,电压表示数U与电流表示数I的关系图象如图乙所示,下列判断正确的是 ( ) A.电源电压为8V B.R 的阻值为40 1 C.当滑片P移至中Ω点时,电路消耗的总功率为3.6W D.当滑片P在b端时,通电10s后R 上产生的热量是4J 1 13.(2023•淮安二模)如图甲所示,电源电压U恒为6V,R 为定值电阻。闭合开关S,在滑动变 0 阻器的滑片P从A端滑至B端的过程中,图乙是电压表的示数 U随电流表示数I的变化关系, 图丙是滑动变阻器的功率P随其两端电压U的变化关系,图丁是效率 (即滑动变阻器消耗的功 率与电路消耗的总功率之比)随滑动变阻器电阻R的变化关系,则下列η判断正确的是( ) A.定值电阻R 的阻值为5 0 B.滑动变阻器最大阻值6 Ω C.乙图阴影部分面积为2Ω.88W D.丙图b点的坐标为(2V,4.5W) 14.(2023•双峰县模拟)小灯泡L的额定电压为3V,把小灯泡接入如图甲所示的电路中,先将滑 动变阻器的滑片P移至B端,闭合开关S,电压表示数为1.5V;再将滑片P向左移动直到电压表 示数为3V,小灯泡的I﹣U图像如图乙所示。已知电源电压恒定,滑动变阻器的铭牌上标有 “10 2A”。下列说法中正确的是( ) Ω 7关注公众号:陆陆高分冲刺 ~领取:最新版“小中高考-总复习”、最新试卷下载 A.电源电压为6V B.小灯泡的额定功率为0.45W C.小灯泡正常发光时,滑动变阻器消耗的电功率为0.75W D.在实验中,电压表的示数与电路中电流表的示数之比始终为5:1 15.(2023•两江新区校级模拟)如图甲所示,电源电压保持不变,已知灯L 正常工作时的电压为 1 4V,灯L 正常工作时的电压为3V。图乙是L 、L 的I﹣U图。当只闭合开关S、S ,且滑动变 2 1 2 2 阻器R的滑片位于最右端时,电流表的示数为0.2A;当只闭合开关S、S ,且滑动变阻器R的 1 滑片位于最右端时,电流表的示数为0.3A。下列说法正确的是( ) A.只闭合开关S、S ,灯L 和滑动变阻器串联 2 2 B.灯丝电阻随电压的增大而减小 C.滑动变阻器的最大阻值为10 D.灯L 1 的额定功率为0.6W Ω 16.(2023•惠安县模拟)有两个电路元件A和B,通过元件的电流与其两端电压的关系如图甲所 示。把它们并联在电路中,如图乙所示,闭合开关S,这时电流表的示数为0.9A,则电源电压 和元件B的电功率分别是( ) 8关注公众号:陆陆高分冲刺 ~领取:最新版“小中高考-总复习”、最新试卷下载 A.2.5V 0.8W B.2.5V 1.0W C.4.5V 1.0W D.4.5V 4.05W 17.(2023•泗洪县校级模拟)如图甲所示,电源的电压U=6V,R 为定值电阻,闭合开关S,滑 0 动变阻器的滑片P从A端滑至B端的过程中,电路中的一些物理量的变化规律如图乙所示:图 Ⅰ描述滑动变阻器的功率随其两端电压的变化规律,图Ⅱ描述电压表示数随电流表示数的变化 规律、图Ⅲ描述效率(滑动变阻器消耗的功率与电路消耗总功率之比随滑动变阻器电阻的变化 规律,电表、导线对电路的影响不计。则下列说法正确的是( ) A.定值电阻R 的阻值为5 0 B.滑动变阻器最大阻值6 Ω C.Ⅰ图上b点的坐标(3VΩ,4.5W) D.Ⅱ图上经过a点的两条虚线与坐标轴围成的长方形面积为2.68W 18.(2023•宽甸县模拟)如图甲所示,电源电压不变,R 是定值电阻。在开关S闭合,滑动变阻 1 器R 的滑片P由最右端向左移动的过程中,两电表变化情况如图乙所示,下列说法不正确的是 2 ( ) 9关注公众号:陆陆高分冲刺 ~领取:最新版“小中高考-总复习”、最新试卷下载 A.滑动变阻器R 的最大阻值是30 2 B.电源电压是15V Ω C.R 的阻值是10 1 D.该电路消耗的最Ω小电功率为4.5W 19.(2023•江阴市模拟)如图甲所示,将一个标有“36V 25W”的小灯泡接在电压为12V的恒压 电源上,闭合开关的瞬间(t=0)开始利用传感器记录电路中电流随时间的变化情况(如图乙), 利用慢速摄影技术可以观察到前0.04s灯丝经历了从不发光、微微发光到逐渐变亮的过程,从第 0.04s后灯泡逐渐变为稳定发光。下列说法正确的是( ) A.灯丝的实际功率一直不变 B.闭合开关瞬间,灯丝的实际功率最小 C.小灯泡稳定发光后实际功率为12W D.灯丝从0~0.04s实际功率逐渐变大 20.(2023•东河区校级四模)如图甲所示的电路,电源电压不变,R 为定值电阻,R为滑动变阻 0 器。闭合开关,滑片P从一端滑到另一端的过程中,电压表示数随滑动变阻器阻值变化的关系 如图乙所示。下列说法正确的是( ) 10关注公众号:陆陆高分冲刺 ~领取:最新版“小中高考-总复习”、最新试卷下载 A.滑片从最左端向最右端滑动过程中,电流表示数变小 B.滑片滑动过程中,电压表与电流表示数之比不变 C.电源电压为6V D.电路消耗的最大功率为3.6W 21.(2023•山阳县模拟)如图﹣1所示的电路,电源电压保持不变,滑动变阻器上标有“20 , 2A”,闭合开关S,调节滑动变阻器的滑片,使其从最右端向左滑动到a点时,小灯泡恰好正Ω常 发光;在图﹣2中绘制出电流表与两电压表示数关系的图像。下列说法中正确的是( ) A.曲线甲是灯泡的电流﹣电压图像 B.小灯泡的正常发光时的电阻为25 C.电路中的最小功率为4.8W Ω D.滑片在a点时,滑动变阻器与小灯泡的功率之比为5:1 22.(2023•开江县模拟)如图甲所示的电路中,电源电压保持不变,R 为定值电阻,R为滑动变 0 阻器。闭合开关S,移动滑片P,滑动变阻器消耗的电功率与电流关系的图像如图乙所示。则下 列分析正确的是( ) ①电源电压为8V ②滑动变阻器的最大阻值是20 ③滑动变阻器消耗的电功率最大Ω时,变阻器的阻值是20 ④整个电路消耗的最大电功率为14.4W Ω 11关注公众号:陆陆高分冲刺 ~领取:最新版“小中高考-总复习”、最新试卷下载 A.只有①③ B.只有①④ C.只有②③ D.只有②④ 23.(2023•沂源县一模)甲图是小灯泡L和电阻R的I﹣U图象,将小灯泡L和电阻R接入乙图所 示电路中,只闭合开关S 时,小灯泡L的实际功率为1W,下列说法错误的是( ) 1 A.电源电压为2V B.只闭合开关S 时,小灯泡L的电阻为4 1 C.再闭合开关S 2 时,小灯泡的亮度不变,Ω电流表示数变大 D.再闭合开关S 时,电路总功率将增加1.4W 2 24.(2023•罗庄区校级模拟)小灯泡的I﹣U图像如图甲所示,将它与定值电阻R并联,如图乙所 示,闭合开关 S ,电流表的示数为 0.2A;再闭合开关 S ,电流表的示数增加了 0.3A。则 1 2 ( ) 12关注公众号:陆陆高分冲刺 ~领取:最新版“小中高考-总复习”、最新试卷下载 A.电源电压为2V B.灯泡功率为9W C.定值电阻的阻值为15 D.电路总功率为15W Ω 25.(2023•姑苏区校级二模)如图1所示,电源电压不变,闭合开关S,移动滑动变阻器滑片P, 使其从最右端向左滑动,直到灯泡L正常发光时停止滑动,电流表示数与两电压表示数的关系 如 图 2 所 示 , 下 列 分 析 正 确 的 是 ( ) A.移动滑动变阻器滑片的过程中,滑动变阻器阻值的变化范围是5~7.5 B.移动滑动变阻器滑片的过程中,电压表V 1 示数的变化范围是1~6V Ω C.电源电压是8V D.灯泡L正常发光时的功率是5.6W 26.(2023•高青县一模)为实现自动控制,小明同学利用电磁继电器(电磁铁线圈电阻不计)制 作了具有延时加热、保温、消毒等功能的恒温调奶器,其电路图如图甲所示.控制电路中,电压 U =3V,定值电阻R =50 ,热敏电阻R的阻值随温度变化的图象如图乙所示;工作电路中, 1 0 电压U=220V,R =836 ,ΩR =44 .已知恒温调奶器容量为2kg,水温达到80℃时衔铁会跳起。 1 2 [c水 =4.2×103J/(kg•℃)Ω] Ω (1)求衔铁刚跳起时,通过电磁铁线圈的电流。 (2)求工作电路在保温状态下的电功率。 (3)当调奶器加满温度为25℃的水,加热元件工作500s后衔铁跳起,求此过程中水吸收的热 量及恒温调奶器的加热效率。 13关注公众号:陆陆高分冲刺 ~领取:最新版“小中高考-总复习”、最新试卷下载 27.(2023•殷都区一模)灯泡L与定值电阻R接入如图甲所示的电路中,已知:电源电压为2V, 电阻R的阻值为20 ,灯泡L的电流随电压变化的图象如图乙所示,求: (1)只闭合开关S,Ω 小灯泡的实际功率; (2)同时闭合S、S ,电流表的示数; 1 (3)通电1min,定值电阻R消耗的电能。 28.(2023•东港区校级三模)如图甲为某款新型电饭煲,额定电压为220V,它采用了“聪明火” 技术,智能化地控制不同时间段的烹饪温度,以得到食物最佳的营养和口感,如图乙为其电路 原理图,R 和R 为电阻不变的电热丝,S 是自动控制开关。将电饭煲接入220V电路中,在电 1 2 1 饭煲工作的30min内,它消耗的电功率随时间变化的图像如图丙所示。求: (1)电饭煲运行在高温挡时,电路中的总电流; (2)R 的阻值; 2 ( 3 ) 0 ~ 30min 电 饭 煲 产 生 的 总 热 量 。 14关注公众号:陆陆高分冲刺 ~领取:最新版“小中高考-总复习”、最新试卷下载 29.(2023•广西二模)某兴趣小组设计了一个监测湖水水位的报警装置,其原理如图1。电源电压 恒定,电阻R 的阻值为30 ;R是竖直放置的长条形电阻片。浮子可带动金属滑杆 AP在竖直方 0 向上下移动、AP与R组成Ω滑动变阻器。当电流表的示数达到设定数值时,表示水位达到警戒水 位,装置发出报警信号。已知滑杆AP从底端上移到顶端的过程中,电压表示数与电流表示数的 U﹣I图像如图2所示。 (1)求滑动变阻器的最大阻值。 (2)求电源电压和电路的最小功率。 (3)滑杆AP从底端上移到顶端的过程中,滑动变阻器连入电路的电阻均匀变化,记录下几组 水位和对应的电流表示数,数据如下表。当电流表的示数为 0.25 A时,水位达到警戒值,求警 戒水位。 水位h/cm 10 15 20 30 电流I/A 0.1 0.12 0.15 0.3 30.(2023•宽甸县模拟)如图甲所示,电源电压保持不变,R =10 ,滑动变阻器R 标有“50 1 2 1A”字样。图乙为小灯泡的电流和电压关系图象。当变阻器滑片ΩP在最右端时,只闭合S 、Ω 1 S ,电流表示数为0.2A。求: 2 (1)电源电压为多少? (2)当S 、S 、S 都闭合且滑片P在最左端时,此时电路总功率为多少? 1 2 3 (3)只闭合S 、S ,当滑动变阻器滑片在某位置时,电压表示数为8V时,此时滑动变阻器接 1 2 15关注公众号:陆陆高分冲刺 ~领取:最新版“小中高考-总复习”、最新试卷下载 入电路中的电阻为多少? 16
基本 文件 流程 错误 SQL 调试
  1. 请求信息 : 2026-03-10 08:03:32 HTTP/1.1 GET : https://www.yeyulingfeng.com/wendang/371675.html
  2. 运行时间 : 0.097618s [ 吞吐率:10.24req/s ] 内存消耗:5,370.45kb 文件加载:144
  3. 缓存信息 : 0 reads,0 writes
  4. 会话信息 : SESSION_ID=77ca00788156f943b8f7c2def2e83106
  1. /yingpanguazai/ssd/ssd1/www/wwww.yeyulingfeng.com/public/index.php ( 0.79 KB )
  2. /yingpanguazai/ssd/ssd1/www/wwww.yeyulingfeng.com/vendor/autoload.php ( 0.17 KB )
  3. /yingpanguazai/ssd/ssd1/www/wwww.yeyulingfeng.com/vendor/composer/autoload_real.php ( 2.49 KB )
  4. /yingpanguazai/ssd/ssd1/www/wwww.yeyulingfeng.com/vendor/composer/platform_check.php ( 0.90 KB )
  5. /yingpanguazai/ssd/ssd1/www/wwww.yeyulingfeng.com/vendor/composer/ClassLoader.php ( 14.03 KB )
  6. /yingpanguazai/ssd/ssd1/www/wwww.yeyulingfeng.com/vendor/composer/autoload_static.php ( 6.05 KB )
  7. /yingpanguazai/ssd/ssd1/www/wwww.yeyulingfeng.com/vendor/topthink/think-helper/src/helper.php ( 8.34 KB )
  8. /yingpanguazai/ssd/ssd1/www/wwww.yeyulingfeng.com/vendor/topthink/think-validate/src/helper.php ( 2.19 KB )
  9. /yingpanguazai/ssd/ssd1/www/wwww.yeyulingfeng.com/vendor/ralouphie/getallheaders/src/getallheaders.php ( 1.60 KB )
  10. /yingpanguazai/ssd/ssd1/www/wwww.yeyulingfeng.com/vendor/topthink/think-orm/src/helper.php ( 1.47 KB )
  11. /yingpanguazai/ssd/ssd1/www/wwww.yeyulingfeng.com/vendor/topthink/think-orm/stubs/load_stubs.php ( 0.16 KB )
  12. /yingpanguazai/ssd/ssd1/www/wwww.yeyulingfeng.com/vendor/topthink/framework/src/think/Exception.php ( 1.69 KB )
  13. /yingpanguazai/ssd/ssd1/www/wwww.yeyulingfeng.com/vendor/topthink/think-container/src/Facade.php ( 2.71 KB )
  14. /yingpanguazai/ssd/ssd1/www/wwww.yeyulingfeng.com/vendor/symfony/deprecation-contracts/function.php ( 0.99 KB )
  15. /yingpanguazai/ssd/ssd1/www/wwww.yeyulingfeng.com/vendor/symfony/polyfill-mbstring/bootstrap.php ( 8.26 KB )
  16. /yingpanguazai/ssd/ssd1/www/wwww.yeyulingfeng.com/vendor/symfony/polyfill-mbstring/bootstrap80.php ( 9.78 KB )
  17. /yingpanguazai/ssd/ssd1/www/wwww.yeyulingfeng.com/vendor/symfony/var-dumper/Resources/functions/dump.php ( 1.49 KB )
  18. /yingpanguazai/ssd/ssd1/www/wwww.yeyulingfeng.com/vendor/topthink/think-dumper/src/helper.php ( 0.18 KB )
  19. /yingpanguazai/ssd/ssd1/www/wwww.yeyulingfeng.com/vendor/symfony/var-dumper/VarDumper.php ( 4.30 KB )
  20. /yingpanguazai/ssd/ssd1/www/wwww.yeyulingfeng.com/vendor/guzzlehttp/guzzle/src/functions_include.php ( 0.16 KB )
  21. /yingpanguazai/ssd/ssd1/www/wwww.yeyulingfeng.com/vendor/guzzlehttp/guzzle/src/functions.php ( 5.54 KB )
  22. /yingpanguazai/ssd/ssd1/www/wwww.yeyulingfeng.com/vendor/topthink/framework/src/think/App.php ( 15.30 KB )
  23. /yingpanguazai/ssd/ssd1/www/wwww.yeyulingfeng.com/vendor/topthink/think-container/src/Container.php ( 15.76 KB )
  24. /yingpanguazai/ssd/ssd1/www/wwww.yeyulingfeng.com/vendor/psr/container/src/ContainerInterface.php ( 1.02 KB )
  25. /yingpanguazai/ssd/ssd1/www/wwww.yeyulingfeng.com/app/provider.php ( 0.19 KB )
  26. /yingpanguazai/ssd/ssd1/www/wwww.yeyulingfeng.com/vendor/topthink/framework/src/think/Http.php ( 6.04 KB )
  27. /yingpanguazai/ssd/ssd1/www/wwww.yeyulingfeng.com/vendor/topthink/think-helper/src/helper/Str.php ( 7.29 KB )
  28. /yingpanguazai/ssd/ssd1/www/wwww.yeyulingfeng.com/vendor/topthink/framework/src/think/Env.php ( 4.68 KB )
  29. /yingpanguazai/ssd/ssd1/www/wwww.yeyulingfeng.com/app/common.php ( 0.03 KB )
  30. /yingpanguazai/ssd/ssd1/www/wwww.yeyulingfeng.com/vendor/topthink/framework/src/helper.php ( 18.78 KB )
  31. /yingpanguazai/ssd/ssd1/www/wwww.yeyulingfeng.com/vendor/topthink/framework/src/think/Config.php ( 5.54 KB )
  32. /yingpanguazai/ssd/ssd1/www/wwww.yeyulingfeng.com/config/alipay.php ( 3.59 KB )
  33. /yingpanguazai/ssd/ssd1/www/wwww.yeyulingfeng.com/vendor/topthink/framework/src/think/facade/Env.php ( 1.67 KB )
  34. /yingpanguazai/ssd/ssd1/www/wwww.yeyulingfeng.com/config/app.php ( 0.95 KB )
  35. /yingpanguazai/ssd/ssd1/www/wwww.yeyulingfeng.com/config/cache.php ( 0.78 KB )
  36. /yingpanguazai/ssd/ssd1/www/wwww.yeyulingfeng.com/config/console.php ( 0.23 KB )
  37. /yingpanguazai/ssd/ssd1/www/wwww.yeyulingfeng.com/config/cookie.php ( 0.56 KB )
  38. /yingpanguazai/ssd/ssd1/www/wwww.yeyulingfeng.com/config/database.php ( 2.48 KB )
  39. /yingpanguazai/ssd/ssd1/www/wwww.yeyulingfeng.com/config/filesystem.php ( 0.61 KB )
  40. /yingpanguazai/ssd/ssd1/www/wwww.yeyulingfeng.com/config/lang.php ( 0.91 KB )
  41. /yingpanguazai/ssd/ssd1/www/wwww.yeyulingfeng.com/config/log.php ( 1.35 KB )
  42. /yingpanguazai/ssd/ssd1/www/wwww.yeyulingfeng.com/config/middleware.php ( 0.19 KB )
  43. /yingpanguazai/ssd/ssd1/www/wwww.yeyulingfeng.com/config/route.php ( 1.89 KB )
  44. /yingpanguazai/ssd/ssd1/www/wwww.yeyulingfeng.com/config/session.php ( 0.57 KB )
  45. /yingpanguazai/ssd/ssd1/www/wwww.yeyulingfeng.com/config/trace.php ( 0.34 KB )
  46. /yingpanguazai/ssd/ssd1/www/wwww.yeyulingfeng.com/config/view.php ( 0.82 KB )
  47. /yingpanguazai/ssd/ssd1/www/wwww.yeyulingfeng.com/app/event.php ( 0.25 KB )
  48. /yingpanguazai/ssd/ssd1/www/wwww.yeyulingfeng.com/vendor/topthink/framework/src/think/Event.php ( 7.67 KB )
  49. /yingpanguazai/ssd/ssd1/www/wwww.yeyulingfeng.com/app/service.php ( 0.13 KB )
  50. /yingpanguazai/ssd/ssd1/www/wwww.yeyulingfeng.com/app/AppService.php ( 0.26 KB )
  51. /yingpanguazai/ssd/ssd1/www/wwww.yeyulingfeng.com/vendor/topthink/framework/src/think/Service.php ( 1.64 KB )
  52. /yingpanguazai/ssd/ssd1/www/wwww.yeyulingfeng.com/vendor/topthink/framework/src/think/Lang.php ( 7.35 KB )
  53. /yingpanguazai/ssd/ssd1/www/wwww.yeyulingfeng.com/vendor/topthink/framework/src/lang/zh-cn.php ( 13.70 KB )
  54. /yingpanguazai/ssd/ssd1/www/wwww.yeyulingfeng.com/vendor/topthink/framework/src/think/initializer/Error.php ( 3.31 KB )
  55. /yingpanguazai/ssd/ssd1/www/wwww.yeyulingfeng.com/vendor/topthink/framework/src/think/initializer/RegisterService.php ( 1.33 KB )
  56. /yingpanguazai/ssd/ssd1/www/wwww.yeyulingfeng.com/vendor/services.php ( 0.14 KB )
  57. /yingpanguazai/ssd/ssd1/www/wwww.yeyulingfeng.com/vendor/topthink/framework/src/think/service/PaginatorService.php ( 1.52 KB )
  58. /yingpanguazai/ssd/ssd1/www/wwww.yeyulingfeng.com/vendor/topthink/framework/src/think/service/ValidateService.php ( 0.99 KB )
  59. /yingpanguazai/ssd/ssd1/www/wwww.yeyulingfeng.com/vendor/topthink/framework/src/think/service/ModelService.php ( 2.04 KB )
  60. /yingpanguazai/ssd/ssd1/www/wwww.yeyulingfeng.com/vendor/topthink/think-trace/src/Service.php ( 0.77 KB )
  61. /yingpanguazai/ssd/ssd1/www/wwww.yeyulingfeng.com/vendor/topthink/framework/src/think/Middleware.php ( 6.72 KB )
  62. /yingpanguazai/ssd/ssd1/www/wwww.yeyulingfeng.com/vendor/topthink/framework/src/think/initializer/BootService.php ( 0.77 KB )
  63. /yingpanguazai/ssd/ssd1/www/wwww.yeyulingfeng.com/vendor/topthink/think-orm/src/Paginator.php ( 11.86 KB )
  64. /yingpanguazai/ssd/ssd1/www/wwww.yeyulingfeng.com/vendor/topthink/think-validate/src/Validate.php ( 63.20 KB )
  65. /yingpanguazai/ssd/ssd1/www/wwww.yeyulingfeng.com/vendor/topthink/think-orm/src/Model.php ( 23.55 KB )
  66. /yingpanguazai/ssd/ssd1/www/wwww.yeyulingfeng.com/vendor/topthink/think-orm/src/model/concern/Attribute.php ( 21.05 KB )
  67. /yingpanguazai/ssd/ssd1/www/wwww.yeyulingfeng.com/vendor/topthink/think-orm/src/model/concern/AutoWriteData.php ( 4.21 KB )
  68. /yingpanguazai/ssd/ssd1/www/wwww.yeyulingfeng.com/vendor/topthink/think-orm/src/model/concern/Conversion.php ( 6.44 KB )
  69. /yingpanguazai/ssd/ssd1/www/wwww.yeyulingfeng.com/vendor/topthink/think-orm/src/model/concern/DbConnect.php ( 5.16 KB )
  70. /yingpanguazai/ssd/ssd1/www/wwww.yeyulingfeng.com/vendor/topthink/think-orm/src/model/concern/ModelEvent.php ( 2.33 KB )
  71. /yingpanguazai/ssd/ssd1/www/wwww.yeyulingfeng.com/vendor/topthink/think-orm/src/model/concern/RelationShip.php ( 28.29 KB )
  72. /yingpanguazai/ssd/ssd1/www/wwww.yeyulingfeng.com/vendor/topthink/think-helper/src/contract/Arrayable.php ( 0.09 KB )
  73. /yingpanguazai/ssd/ssd1/www/wwww.yeyulingfeng.com/vendor/topthink/think-helper/src/contract/Jsonable.php ( 0.13 KB )
  74. /yingpanguazai/ssd/ssd1/www/wwww.yeyulingfeng.com/vendor/topthink/think-orm/src/model/contract/Modelable.php ( 0.09 KB )
  75. /yingpanguazai/ssd/ssd1/www/wwww.yeyulingfeng.com/vendor/topthink/framework/src/think/Db.php ( 2.88 KB )
  76. /yingpanguazai/ssd/ssd1/www/wwww.yeyulingfeng.com/vendor/topthink/think-orm/src/DbManager.php ( 8.52 KB )
  77. /yingpanguazai/ssd/ssd1/www/wwww.yeyulingfeng.com/vendor/topthink/framework/src/think/Log.php ( 6.28 KB )
  78. /yingpanguazai/ssd/ssd1/www/wwww.yeyulingfeng.com/vendor/topthink/framework/src/think/Manager.php ( 3.92 KB )
  79. /yingpanguazai/ssd/ssd1/www/wwww.yeyulingfeng.com/vendor/psr/log/src/LoggerTrait.php ( 2.69 KB )
  80. /yingpanguazai/ssd/ssd1/www/wwww.yeyulingfeng.com/vendor/psr/log/src/LoggerInterface.php ( 2.71 KB )
  81. /yingpanguazai/ssd/ssd1/www/wwww.yeyulingfeng.com/vendor/topthink/framework/src/think/Cache.php ( 4.92 KB )
  82. /yingpanguazai/ssd/ssd1/www/wwww.yeyulingfeng.com/vendor/psr/simple-cache/src/CacheInterface.php ( 4.71 KB )
  83. /yingpanguazai/ssd/ssd1/www/wwww.yeyulingfeng.com/vendor/topthink/think-helper/src/helper/Arr.php ( 16.63 KB )
  84. /yingpanguazai/ssd/ssd1/www/wwww.yeyulingfeng.com/vendor/topthink/framework/src/think/cache/driver/File.php ( 7.84 KB )
  85. /yingpanguazai/ssd/ssd1/www/wwww.yeyulingfeng.com/vendor/topthink/framework/src/think/cache/Driver.php ( 9.03 KB )
  86. /yingpanguazai/ssd/ssd1/www/wwww.yeyulingfeng.com/vendor/topthink/framework/src/think/contract/CacheHandlerInterface.php ( 1.99 KB )
  87. /yingpanguazai/ssd/ssd1/www/wwww.yeyulingfeng.com/app/Request.php ( 0.09 KB )
  88. /yingpanguazai/ssd/ssd1/www/wwww.yeyulingfeng.com/vendor/topthink/framework/src/think/Request.php ( 55.78 KB )
  89. /yingpanguazai/ssd/ssd1/www/wwww.yeyulingfeng.com/app/middleware.php ( 0.25 KB )
  90. /yingpanguazai/ssd/ssd1/www/wwww.yeyulingfeng.com/vendor/topthink/framework/src/think/Pipeline.php ( 2.61 KB )
  91. /yingpanguazai/ssd/ssd1/www/wwww.yeyulingfeng.com/vendor/topthink/think-trace/src/TraceDebug.php ( 3.40 KB )
  92. /yingpanguazai/ssd/ssd1/www/wwww.yeyulingfeng.com/vendor/topthink/framework/src/think/middleware/SessionInit.php ( 1.94 KB )
  93. /yingpanguazai/ssd/ssd1/www/wwww.yeyulingfeng.com/vendor/topthink/framework/src/think/Session.php ( 1.80 KB )
  94. /yingpanguazai/ssd/ssd1/www/wwww.yeyulingfeng.com/vendor/topthink/framework/src/think/session/driver/File.php ( 6.27 KB )
  95. /yingpanguazai/ssd/ssd1/www/wwww.yeyulingfeng.com/vendor/topthink/framework/src/think/contract/SessionHandlerInterface.php ( 0.87 KB )
  96. /yingpanguazai/ssd/ssd1/www/wwww.yeyulingfeng.com/vendor/topthink/framework/src/think/session/Store.php ( 7.12 KB )
  97. /yingpanguazai/ssd/ssd1/www/wwww.yeyulingfeng.com/vendor/topthink/framework/src/think/Route.php ( 23.73 KB )
  98. /yingpanguazai/ssd/ssd1/www/wwww.yeyulingfeng.com/vendor/topthink/framework/src/think/route/RuleName.php ( 5.75 KB )
  99. /yingpanguazai/ssd/ssd1/www/wwww.yeyulingfeng.com/vendor/topthink/framework/src/think/route/Domain.php ( 2.53 KB )
  100. /yingpanguazai/ssd/ssd1/www/wwww.yeyulingfeng.com/vendor/topthink/framework/src/think/route/RuleGroup.php ( 22.43 KB )
  101. /yingpanguazai/ssd/ssd1/www/wwww.yeyulingfeng.com/vendor/topthink/framework/src/think/route/Rule.php ( 26.95 KB )
  102. /yingpanguazai/ssd/ssd1/www/wwww.yeyulingfeng.com/vendor/topthink/framework/src/think/route/RuleItem.php ( 9.78 KB )
  103. /yingpanguazai/ssd/ssd1/www/wwww.yeyulingfeng.com/route/app.php ( 3.82 KB )
  104. /yingpanguazai/ssd/ssd1/www/wwww.yeyulingfeng.com/vendor/topthink/framework/src/think/facade/Route.php ( 4.70 KB )
  105. /yingpanguazai/ssd/ssd1/www/wwww.yeyulingfeng.com/vendor/topthink/framework/src/think/route/dispatch/Controller.php ( 4.74 KB )
  106. /yingpanguazai/ssd/ssd1/www/wwww.yeyulingfeng.com/vendor/topthink/framework/src/think/route/Dispatch.php ( 10.44 KB )
  107. /yingpanguazai/ssd/ssd1/www/wwww.yeyulingfeng.com/app/controller/Index.php ( 9.69 KB )
  108. /yingpanguazai/ssd/ssd1/www/wwww.yeyulingfeng.com/app/BaseController.php ( 2.05 KB )
  109. /yingpanguazai/ssd/ssd1/www/wwww.yeyulingfeng.com/vendor/topthink/think-orm/src/facade/Db.php ( 0.93 KB )
  110. /yingpanguazai/ssd/ssd1/www/wwww.yeyulingfeng.com/vendor/topthink/think-orm/src/db/connector/Mysql.php ( 5.44 KB )
  111. /yingpanguazai/ssd/ssd1/www/wwww.yeyulingfeng.com/vendor/topthink/think-orm/src/db/PDOConnection.php ( 52.47 KB )
  112. /yingpanguazai/ssd/ssd1/www/wwww.yeyulingfeng.com/vendor/topthink/think-orm/src/db/Connection.php ( 8.39 KB )
  113. /yingpanguazai/ssd/ssd1/www/wwww.yeyulingfeng.com/vendor/topthink/think-orm/src/db/ConnectionInterface.php ( 4.57 KB )
  114. /yingpanguazai/ssd/ssd1/www/wwww.yeyulingfeng.com/vendor/topthink/think-orm/src/db/builder/Mysql.php ( 16.58 KB )
  115. /yingpanguazai/ssd/ssd1/www/wwww.yeyulingfeng.com/vendor/topthink/think-orm/src/db/Builder.php ( 24.06 KB )
  116. /yingpanguazai/ssd/ssd1/www/wwww.yeyulingfeng.com/vendor/topthink/think-orm/src/db/BaseBuilder.php ( 27.50 KB )
  117. /yingpanguazai/ssd/ssd1/www/wwww.yeyulingfeng.com/vendor/topthink/think-orm/src/db/Query.php ( 15.71 KB )
  118. /yingpanguazai/ssd/ssd1/www/wwww.yeyulingfeng.com/vendor/topthink/think-orm/src/db/BaseQuery.php ( 45.13 KB )
  119. /yingpanguazai/ssd/ssd1/www/wwww.yeyulingfeng.com/vendor/topthink/think-orm/src/db/concern/TimeFieldQuery.php ( 7.43 KB )
  120. /yingpanguazai/ssd/ssd1/www/wwww.yeyulingfeng.com/vendor/topthink/think-orm/src/db/concern/AggregateQuery.php ( 3.26 KB )
  121. /yingpanguazai/ssd/ssd1/www/wwww.yeyulingfeng.com/vendor/topthink/think-orm/src/db/concern/ModelRelationQuery.php ( 20.07 KB )
  122. /yingpanguazai/ssd/ssd1/www/wwww.yeyulingfeng.com/vendor/topthink/think-orm/src/db/concern/ParamsBind.php ( 3.66 KB )
  123. /yingpanguazai/ssd/ssd1/www/wwww.yeyulingfeng.com/vendor/topthink/think-orm/src/db/concern/ResultOperation.php ( 7.01 KB )
  124. /yingpanguazai/ssd/ssd1/www/wwww.yeyulingfeng.com/vendor/topthink/think-orm/src/db/concern/WhereQuery.php ( 19.37 KB )
  125. /yingpanguazai/ssd/ssd1/www/wwww.yeyulingfeng.com/vendor/topthink/think-orm/src/db/concern/JoinAndViewQuery.php ( 7.11 KB )
  126. /yingpanguazai/ssd/ssd1/www/wwww.yeyulingfeng.com/vendor/topthink/think-orm/src/db/concern/TableFieldInfo.php ( 2.63 KB )
  127. /yingpanguazai/ssd/ssd1/www/wwww.yeyulingfeng.com/vendor/topthink/think-orm/src/db/concern/Transaction.php ( 2.77 KB )
  128. /yingpanguazai/ssd/ssd1/www/wwww.yeyulingfeng.com/vendor/topthink/framework/src/think/log/driver/File.php ( 5.96 KB )
  129. /yingpanguazai/ssd/ssd1/www/wwww.yeyulingfeng.com/vendor/topthink/framework/src/think/contract/LogHandlerInterface.php ( 0.86 KB )
  130. /yingpanguazai/ssd/ssd1/www/wwww.yeyulingfeng.com/vendor/topthink/framework/src/think/log/Channel.php ( 3.89 KB )
  131. /yingpanguazai/ssd/ssd1/www/wwww.yeyulingfeng.com/vendor/topthink/framework/src/think/event/LogRecord.php ( 1.02 KB )
  132. /yingpanguazai/ssd/ssd1/www/wwww.yeyulingfeng.com/vendor/topthink/think-helper/src/Collection.php ( 16.47 KB )
  133. /yingpanguazai/ssd/ssd1/www/wwww.yeyulingfeng.com/vendor/topthink/framework/src/think/facade/View.php ( 1.70 KB )
  134. /yingpanguazai/ssd/ssd1/www/wwww.yeyulingfeng.com/vendor/topthink/framework/src/think/View.php ( 4.39 KB )
  135. /yingpanguazai/ssd/ssd1/www/wwww.yeyulingfeng.com/vendor/topthink/framework/src/think/Response.php ( 8.81 KB )
  136. /yingpanguazai/ssd/ssd1/www/wwww.yeyulingfeng.com/vendor/topthink/framework/src/think/response/View.php ( 3.29 KB )
  137. /yingpanguazai/ssd/ssd1/www/wwww.yeyulingfeng.com/vendor/topthink/framework/src/think/Cookie.php ( 6.06 KB )
  138. /yingpanguazai/ssd/ssd1/www/wwww.yeyulingfeng.com/vendor/topthink/think-view/src/Think.php ( 8.38 KB )
  139. /yingpanguazai/ssd/ssd1/www/wwww.yeyulingfeng.com/vendor/topthink/framework/src/think/contract/TemplateHandlerInterface.php ( 1.60 KB )
  140. /yingpanguazai/ssd/ssd1/www/wwww.yeyulingfeng.com/vendor/topthink/think-template/src/Template.php ( 46.61 KB )
  141. /yingpanguazai/ssd/ssd1/www/wwww.yeyulingfeng.com/vendor/topthink/think-template/src/template/driver/File.php ( 2.41 KB )
  142. /yingpanguazai/ssd/ssd1/www/wwww.yeyulingfeng.com/vendor/topthink/think-template/src/template/contract/DriverInterface.php ( 0.86 KB )
  143. /yingpanguazai/ssd/ssd1/www/wwww.yeyulingfeng.com/runtime/temp/10a0c909b6afa23b5a52a2e2d58c3c0f.php ( 21.72 KB )
  144. /yingpanguazai/ssd/ssd1/www/wwww.yeyulingfeng.com/vendor/topthink/think-trace/src/Html.php ( 4.42 KB )
  1. CONNECT:[ UseTime:0.000456s ] mysql:host=127.0.0.1;port=3306;dbname=wenku;charset=utf8mb4
  2. SHOW FULL COLUMNS FROM `fenlei` [ RunTime:0.000692s ]
  3. SELECT * FROM `fenlei` WHERE `fid` = 0 [ RunTime:0.000267s ]
  4. SELECT * FROM `fenlei` WHERE `fid` = 63 [ RunTime:0.000305s ]
  5. SHOW FULL COLUMNS FROM `set` [ RunTime:0.000522s ]
  6. SELECT * FROM `set` [ RunTime:0.001253s ]
  7. SHOW FULL COLUMNS FROM `wendang` [ RunTime:0.000593s ]
  8. SELECT * FROM `wendang` WHERE `id` = 371675 LIMIT 1 [ RunTime:0.008530s ]
  9. UPDATE `wendang` SET `liulancishu` = 1 WHERE `id` = 371675 [ RunTime:0.004389s ]
  10. UPDATE `wendang` SET `lasttime` = 1773101012 WHERE `id` = 371675 [ RunTime:0.000605s ]
  11. SELECT * FROM `wendang` WHERE `id` < 371675 ORDER BY `id` DESC LIMIT 1 [ RunTime:0.000453s ]
  12. SELECT * FROM `wendang` WHERE `id` > 371675 ORDER BY `id` ASC LIMIT 1 [ RunTime:0.002845s ]
  13. SELECT * FROM `wendang` WHERE `id` <> 371675 ORDER BY `id` DESC LIMIT 10 [ RunTime:0.005063s ]
  14. SELECT * FROM `wendang` WHERE `id` <> 371675 ORDER BY `id` DESC LIMIT 10,10 [ RunTime:0.000983s ]
  15. SELECT * FROM `wendang` WHERE `id` <> 371675 ORDER BY `id` DESC LIMIT 20,10 [ RunTime:0.001170s ]
0.099281s