当前位置:首页>文档>专题22圆锥曲线与重心问题(解析版)_2.2025数学总复习_2024年新高考资料_3.2024专项复习_2024年新高考数学之圆锥曲线专项重难点突破练(新高考专用)

专题22圆锥曲线与重心问题(解析版)_2.2025数学总复习_2024年新高考资料_3.2024专项复习_2024年新高考数学之圆锥曲线专项重难点突破练(新高考专用)

  • 2026-04-12 09:43:41 2026-03-17 03:54:27

文档预览

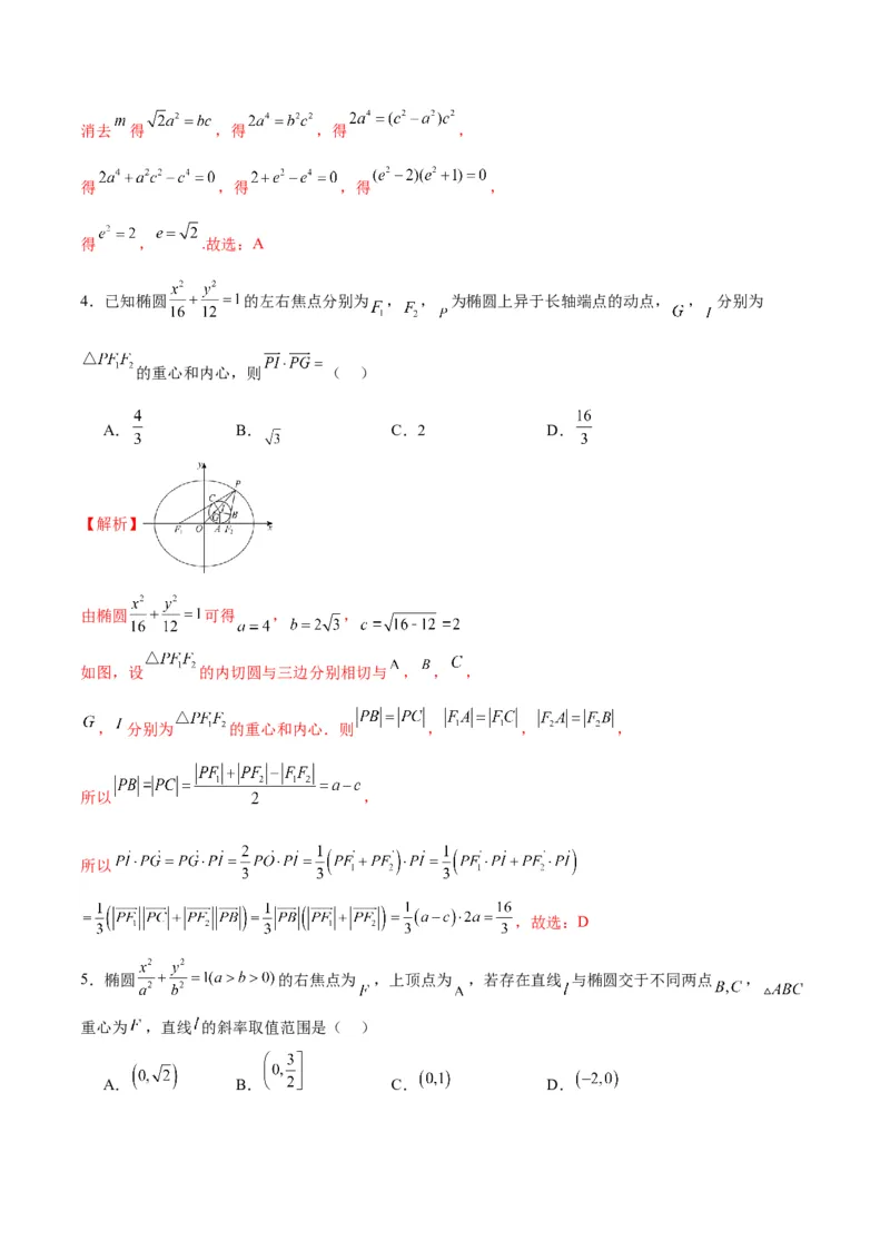
专题22圆锥曲线与重心问题(解析版)_2.2025数学总复习_2024年新高考资料_3.2024专项复习_2024年新高考数学之圆锥曲线专项重难点突破练(新高考专用)
专题22圆锥曲线与重心问题(解析版)_2.2025数学总复习_2024年新高考资料_3.2024专项复习_2024年新高考数学之圆锥曲线专项重难点突破练(新高考专用)
专题22圆锥曲线与重心问题(解析版)_2.2025数学总复习_2024年新高考资料_3.2024专项复习_2024年新高考数学之圆锥曲线专项重难点突破练(新高考专用)
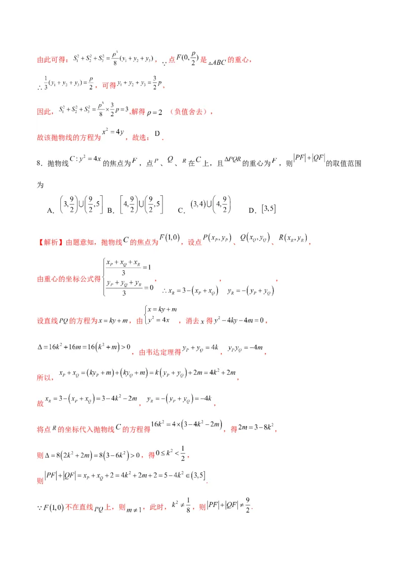
专题22圆锥曲线与重心问题(解析版)_2.2025数学总复习_2024年新高考资料_3.2024专项复习_2024年新高考数学之圆锥曲线专项重难点突破练(新高考专用)
专题22圆锥曲线与重心问题(解析版)_2.2025数学总复习_2024年新高考资料_3.2024专项复习_2024年新高考数学之圆锥曲线专项重难点突破练(新高考专用)
专题22圆锥曲线与重心问题(解析版)_2.2025数学总复习_2024年新高考资料_3.2024专项复习_2024年新高考数学之圆锥曲线专项重难点突破练(新高考专用)
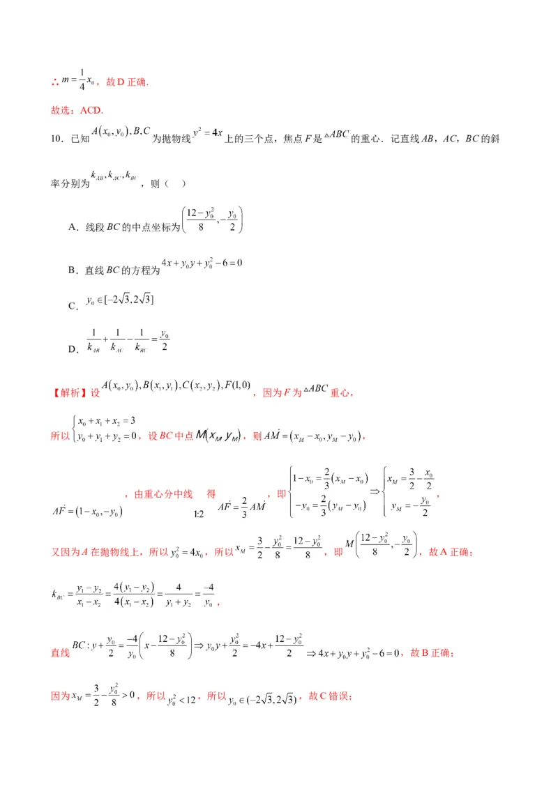
专题22圆锥曲线与重心问题(解析版)_2.2025数学总复习_2024年新高考资料_3.2024专项复习_2024年新高考数学之圆锥曲线专项重难点突破练(新高考专用)
专题22圆锥曲线与重心问题(解析版)_2.2025数学总复习_2024年新高考资料_3.2024专项复习_2024年新高考数学之圆锥曲线专项重难点突破练(新高考专用)
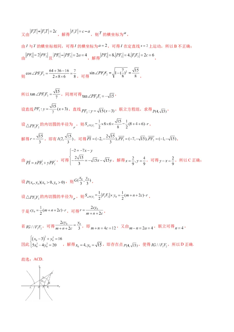
专题22圆锥曲线与重心问题(解析版)_2.2025数学总复习_2024年新高考资料_3.2024专项复习_2024年新高考数学之圆锥曲线专项重难点突破练(新高考专用)
专题22圆锥曲线与重心问题(解析版)_2.2025数学总复习_2024年新高考资料_3.2024专项复习_2024年新高考数学之圆锥曲线专项重难点突破练(新高考专用)
专题22圆锥曲线与重心问题(解析版)_2.2025数学总复习_2024年新高考资料_3.2024专项复习_2024年新高考数学之圆锥曲线专项重难点突破练(新高考专用)
专题22圆锥曲线与重心问题(解析版)_2.2025数学总复习_2024年新高考资料_3.2024专项复习_2024年新高考数学之圆锥曲线专项重难点突破练(新高考专用)
专题22圆锥曲线与重心问题(解析版)_2.2025数学总复习_2024年新高考资料_3.2024专项复习_2024年新高考数学之圆锥曲线专项重难点突破练(新高考专用)
专题22圆锥曲线与重心问题(解析版)_2.2025数学总复习_2024年新高考资料_3.2024专项复习_2024年新高考数学之圆锥曲线专项重难点突破练(新高考专用)
专题22圆锥曲线与重心问题(解析版)_2.2025数学总复习_2024年新高考资料_3.2024专项复习_2024年新高考数学之圆锥曲线专项重难点突破练(新高考专用)
专题22圆锥曲线与重心问题(解析版)_2.2025数学总复习_2024年新高考资料_3.2024专项复习_2024年新高考数学之圆锥曲线专项重难点突破练(新高考专用)
专题22圆锥曲线与重心问题(解析版)_2.2025数学总复习_2024年新高考资料_3.2024专项复习_2024年新高考数学之圆锥曲线专项重难点突破练(新高考专用)
专题22圆锥曲线与重心问题(解析版)_2.2025数学总复习_2024年新高考资料_3.2024专项复习_2024年新高考数学之圆锥曲线专项重难点突破练(新高考专用)
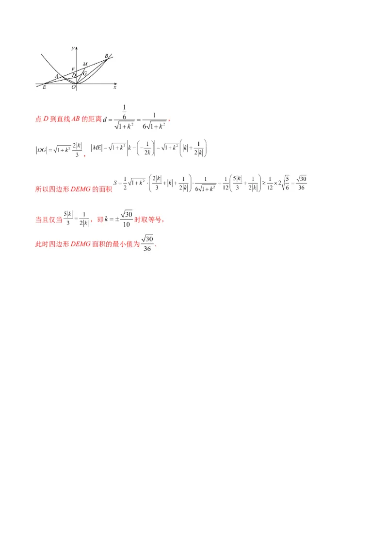
专题22圆锥曲线与重心问题(解析版)_2.2025数学总复习_2024年新高考资料_3.2024专项复习_2024年新高考数学之圆锥曲线专项重难点突破练(新高考专用)
专题22圆锥曲线与重心问题(解析版)_2.2025数学总复习_2024年新高考资料_3.2024专项复习_2024年新高考数学之圆锥曲线专项重难点突破练(新高考专用)
专题22圆锥曲线与重心问题(解析版)_2.2025数学总复习_2024年新高考资料_3.2024专项复习_2024年新高考数学之圆锥曲线专项重难点突破练(新高考专用)

文档信息

文档格式
docx
文档大小
1.359 MB
文档页数
21 页
上传时间
2026-03-17 03:54:27

文档内容

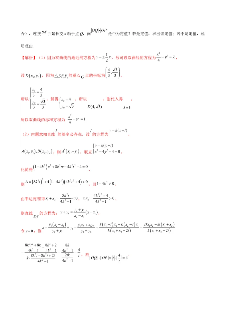
专题22 圆锥曲线与重心问题 限时:120分钟 满分:150分 一、单选题:本大题共8小题,每个小题5分,共40分.在每小题给出的选项中,只有一项是符合题目要 求的. 1.已知 分别为椭圆 的左、右焦点, 是椭圆E上一动点,G点是三角形 的重心, 则点G的轨迹方程为( ) A. B. C. D. 【解析】 分别为椭圆 的左、右焦点, 设 ,G点是三角形 的重心,则 ,得 , 又 是椭圆E上一动点, ,即 , 又G点是三角形 的重心, ,所以点G的轨迹方程为 ,故选:B 2.已知 是抛物线 上三个动点,且 的重心为抛物线的焦点 ,若 , 两点均在 轴 上方,则 的斜率的最小值为( ) A.1 B. C. D. 【解析】依题意,设 , , ,由 , 在 轴上方,故 , ,因为抛物线为 ,所以 , 则 ,所以 ,则 , 注意到 ,故 ,即 , 又 ,代入可得 , 故 ,即 ,解得 , 当且仅当 时,等号成立,因而 .故选:B. 3.已知点 为双曲线 的虚轴的上顶点, 为双曲线的右焦点,存在斜率为 的直线交双 曲线于点 两点,且 的重心为点 ,则双曲线 的离心率为( ) A. B. C.2 D. 【解析】 ,设 ,设斜率为 的直线为 , 联立 ,消去 并整理得 , , ,即 , 设 , ,则 , , 因为 的重心为点 ,所以 , , 所以 , ,所以 , ,消去 得 ,得 ,得 , 得 ,得 ,得 , 得 , .故选:A 4.已知椭圆 的左右焦点分别为 , , 为椭圆上异于长轴端点的动点, , 分别为 的重心和内心,则 ( ) A. B. C.2 D. 【解析】 由椭圆 可得 , , 如图,设 的内切圆与三边分别相切与 , , , , 分别为 的重心和内心.则 , , , 所以 , 所以 ,故选:D 5.椭圆 的右焦点为 ,上顶点为 ,若存在直线 与椭圆交于不同两点 , 重心为 ,直线 的斜率取值范围是( ) A. B. C. D.【解析】设椭圆 的半焦距为 ,由已知 , ,设 , 因为 重心为 ,所以 ,所以 , 又 ,所以 ,所以 , 所以直线 的斜率 ,当且仅当 时等号成立, 又 ,所以直线 的斜率取值范围是 ,故选:B. 6.设双曲线 的右焦点为 , ,若直线 与 的右支交于 两点,且 为 的重心,则 的离心率的取值范围为( ) A. B. C. D. 【解析】由题意,双曲线 的右焦点为 ,且 , 设点 为 的中点,因为 为 的重心,所以 , 即 ,解得 ,即 ,因为直线 与 的右支交于 两点,则满足 , 整理得 ,解得 或 (舍去), 当离心率为 时,即 时,可得 ,此时 , 设 ,可得 , 又由 ,两式相减可得 , 即直线 的斜率为 , 又因为 ,所以 ,此时 四点共线,此时不满足题意, 综上可得,双曲线 的离心率的取值范围为 .故选:A. 7.已知F为抛物线 的焦点,A,B,C为该抛物线上的三点,O为坐标原点, , , 面积分别为 ,若F为 的重心,且 ,则该抛物线的方程为 ( ) A. B. C. D. 【解析】设 、 、 三点的坐标分别为 , , , , , , 抛物线 的焦点 的坐标为 , , , , 、 、 在抛物线 上, , , ,由此可得: , 点 是 的重心, ,可得 , 因此, ,解得 (负值舍去), 故该抛物线的方程为 ,故选: . 8.抛物线 的焦点为 ,点 、 、 在 上,且 的重心为 ,则 的取值范围 为 A. B. C. D. 【解析】由题意知,抛物线 的焦点为 ,设点 、 、 , 由重心的坐标公式得 , , , 设直线 的方程为 ,由 ,消去 得 , ,由韦达定理得 , , 所以, , 故 , , 将点 的坐标代入抛物线 的方程得 ,得 , 则 ,得 , 则 . 不在直线 上,则 ,此时, ,则 .因此, 的取值范围是 .故选:A. 二、多选题:本大题共4小题,每个小题5分,共20分.在每小题给出的选项中,只有一项或者多项是符 合题目要求的. 9.椭圆 的左、右焦点分别是 , 是椭圆第一象限上的一点(不包括轴上的点), 的重心是 , 的角平分线交x轴于点 (m,0),下列说法正确的有( ) A.G的轨迹是椭圆的一部分 B. 的长度范围是 C. 取值范围是 D. 【解析】设重心 ,又 , ∴ ,即 ,又 是椭圆上一点, ∴ ,即 ,故A正确; ∵G的轨迹是椭圆 的一部分,长半轴长为 ,短半轴长为 ,∴ ,故B错误; 根据内角平分线定理可知, , 又 ,∴ ,故C正确; 同样利用内角平分线定理与焦半径公式,由 可知, ,∴ ,故D正确. 故选:ACD. 10.已知 为抛物线 上的三个点,焦点F是 的重心.记直线AB,AC,BC的斜 率分别为 ,则( ) A.线段BC的中点坐标为 B.直线BC的方程为 C. D. 【解析】设 ,因为F为 重心, 所以 ,设BC中点 ,则 , ,由重心分中线 得 ,即 , 又因为A在抛物线上,所以 ,所以 ,即 ,故A正确; , 直线 ,故B正确; 因为 ,所以 ,所以 ,故C错误;,同理 , 所以 ,故D正确. 故选:ABD 11.设双曲线 的右焦点为 ,若直线 与 的右支交于 两点,且 为 的重心,则( ) A. 的离心率的取值范围为 B. 的离心率的取值范围为 C.直线 斜率的取值范围为 D.直线 斜率的取值范围为 【解析】设 为 的中点,根据重心性质可得 , 因为 ,则 , 因为直线 与 的右支交于 两点,所以点 在双曲线右支内部, 故有 ,解得 , 当直线 斜率不存在时, 的中点 在 轴上,故 三点不共线,不符合题意舍, 设直线 斜率为 ,设 ,所以 , , 因为 在双曲线上,所以 ,两式相减可得: ,即 ,即有 成立, 即有 ,因为 不共线,即 ,即 ,即 , 所以 的离心率的取值范围为 , 因为 , 因为 ,即 ,所以 , 所以 .故选:AC 12.若双曲线 , 分别为左、右焦点,设点 在双曲线上且在第一象限的动点,点 为 的内心,点 为 的重心,则下列说法正确的是( ) A.双曲线 的离心率为 B.点 的运动轨迹为双曲线的一部分 C.若 , ,则 . D.存在点 ,使得 【解析】由题意,双曲线 ,可得 , 则离心率为 ,所以A正确; 设 , 的内切圆与边 切于点 ,与边 切于点 , 与边 切于点 ,可得 , 由双曲线的定义可得 ,即 ,又由 ,解得 ,则 的横坐标为 , 由 与 的横坐标相同,可得 的横坐标为 ,可得 在定直线 上运动,所以B不正确; 由 且 ,解得 , 则 ,可得 , 所以 ,同理可得 , 设直线 ,直线 ,联立方程组,求得 , 设 的内切圆的半径为 ,则 , 解得 ,即有 ,可得 , 由 ,可得 ,解得 ,可得 ,所以C正确; 设 ,则 , 设 的内切圆的半径为 ,则 , 于是 ,可得 , 若 ,可得 ,即 ,又由 ,联立可得 , 因此 ,解得 ,即存在点 ,使得 ,所以D正确. 故选:ACD.三、填空题:本大题共4小题,每小题5分,共20分.把答案填在答题卡中的横线上. 13.已知 的顶点 , ,顶点A在抛物线 上运动,则 的重心G的轨迹方程 为 . 【解析】设 , .由点G为 的重心,得 ,所以 . 又 在抛物线 上,所以 ,即 . 又点A不在直线BC上,所以 ,即 ,所以所求轨迹方程为 . 14.已知抛物线 上三点 满足: 的重心是 ,则直线 的斜率之和 为 . 【解析】设抛物线 上三点 , 由 的重心是 ,得 ,即有 , 直线 的斜率分别为 , , 所以直线 的斜率之和 . 15.已知 , 是双曲线 的左,右焦点,点M是双曲线C在第一象限上一点,设I,G分别 为 的内心和重心,若IG与y轴平行,则 . 【解析】由题意知 . 如图, 为 的内切圆,切点分别为A、B、C,设 ,则 ,由双曲线的定义知, ,即 , 又 ,所以 , 得 ,即 . 又 的重心G与内心I的连线平行与y轴,即 轴于点A,所以 . 因为 ,所以 , 代入双曲线方程,得 ,解得 ,即 , 又 ,所以 , 所以 . 16.已知抛物线 ,过定点 的动直线 与抛物线 交于 两点, 是坐标平面内 的动点,且 的重心为坐标原点 .若 的最小值为1,则 . 【解析】设 ,则 , , 因为 共线,则 ,化简得 , 因为 是 的重心,于是得 , 因此, ,即 ,当且仅当a+b=0时取“=”,即 , 而 的最小值为1,则 ,即 ,所以 . 四、解答题:本大题共6小题,共70分.解答应写出必要的文字说明、证明过程或演算步骤. 17.已知抛物线 上的任意一点到 的距离比到x轴的距离大1. (1)求抛物线的方程; (2)若过点 的直线l与抛物线交于A,B两点,过A,B两点分别作抛物线的切线,两条切线交于点Q, 求 重心G的轨迹方程. 【解析】(1)由抛物线的定义可得 ,∴抛物线的方程为 ; (2)由题意可得直线 的斜率存在,设其为k,设 ,则直线 的方程为 ; 代入抛物线方程得 ,则有 , ∵ ,∴ ,∴ ,即 ① 同理可得 ②,①-②有 ,得 ,∴ .∴ 又 ,设 ,则 , 消k得 ,所以G的轨迹方程为 . 18.已知曲线 在 轴上方,它上面的每一点到点 的距离减去到 轴的距离的差都是2.若点 分别在该曲线 上,且点 在 轴右侧,点 在 轴左侧, 的重心 在 轴上,直线 交 轴于 点 且满足 ,直线 交 轴于点 .记 的面积分别为(1)求曲线 方程; (2)求 的取值范围. 【解析】(1)曲线上每一点到点 的距离减去到 轴的距离的差都是2,即曲线上每一点到点 的距离与到直线 的距离相等,所以曲线 为抛物线, ; (2)设点 , 为 的重心 , , 由相似三角形可知 且 , 可得 , 令 , 因为 ,所以 ,故 , , . 19.已知 , 为 的两个顶点, 为 的重心,边 , 上的两条中线长度之和 为6. (1)求点 的轨迹 的方程;(2)若直线 与曲线 相交于点 、 ,若线段 的中点是 ,求直线 的方程; (3)已知点 , , ,直线 与曲线 的另一个公共点为 ,直线 与 交于点 ,求证:当点 变化时,点 恒在一条定直线上. 【解析】(1)因为 为 的重心,且边 , 上的两条中线长度之和为6, 所以 , 故由椭圆的定义可知 的轨迹 是以 , 为焦点的椭圆(不包括长轴的端点), 故设点 的轨迹 的方程为 ,所以 , ,所以 , 所以 的轨迹 的方程为 ; (2)设 , , 若直线 的斜率不存在,根据椭圆的对称性可得线段 的中点在 轴上,不满足题意; 故设直线 : ,与 : 联立,整理得: , 由 整理得: ,故 , , 由题意知 ,解得: , ,满足 ,故直线 : (3)设直线 的方程为: , , , 联立方程 得: , 由 整理得: ,即 或 , 则 , ,所以 , 又直线 的方程为: ,又直线 的方程为: , 联立方程 得: , 把 代入上式得: , 所以当点 运动时,点 恒在定直线 上 20.在平面直角坐标系xOy中,已知抛物线 的焦点为F,A,B为E上两点,且点A的纵 坐标为 ,F恰好是 的重心. (1)求E的方程; (2)若 ,P,Q为抛物线上相异的两个动点,且 ,求 的最小值. 【解析】(1)由已知可得 , ,设 F恰好是 的重心, ,解得 , 将 代入 ,得 , ,解得 , E的方程为 ; (2)设直线PQ的方程为 , , , 由方程组 ,得 ,即 ,且 , ,, , , , ,即 , , , , 或 , 若 ,直线PQ过N点,不合题意,舍去, ,此时 , , 则 , 当 时, 有最小值为11. 21.已知双曲线C: 的渐近线方程为 ,其左右焦点为 , ,点D为双曲线 上一点,且 的重心G点坐标为 . (1)求该双曲线的标准方程; (2)过x轴上一动点 作直线l交双曲线的左支于A,B两点,A点关于x轴的对称点为 ( 与B不重合),连接 并延长交x轴于点Q,问 是否为定值?若是定值,求出该定值;若不是定值,说 明理由. 【解析】(1)因为双曲线的渐近线方程为 ,故可设双曲线的方程为 , 设 ,因为 的重心 点的坐标为 , 所以 ,解得 ,所以 ,则代入得 , 所以双曲线的标准方程为 (2)由题意知直线 的斜率必存在,设 的方程为 , ,则 ,联立 , 化简得 , 则 ,且 , 由韦达定理得 , , 则直线 的方程为: , 令 ,则 ,故 .. 22.已知O是平面直角坐标系的原点,F是抛物线 的焦点,过点F的直线交抛物线于 A,B两点,且 的重心G在曲线 上. (1)求抛物线C的方程; (2)记曲线 与y轴的交点为D,且直线AB与x轴相交于点E,弦AB的中点为M,求四边形 DEMG面积的最小值. 【解析】(1)由题知,焦点 ,显然直线 的斜率存在, 设直线 , , , , 联立 消去 得 ,则△ , 则 ,所以 , 所以 且 ,故 , 即 ,整理得 对任意的 恒成立,故 , 故所求抛物线 的方程为 . (2)由题知 , , , , , ,则 . 又弦AB的中点为M, 的重心为G,则 ,故 ,所以 .点D到直线AB的距离 , , 所以四边形DEMG的面积 当且仅当 ,即 时取等号, 此时四边形DEMG面积的最小值为 .