当前位置:首页>文档>专题五第1讲 统计与统计案例_2.2025数学总复习_赠品通用版(老高考)复习资料_二轮复习_2023年高考数学二轮复习讲义+课件(全国版文科)_学生版_学生用书Word版文档

专题五第1讲 统计与统计案例_2.2025数学总复习_赠品通用版(老高考)复习资料_二轮复习_2023年高考数学二轮复习讲义+课件(全国版文科)_学生版_学生用书Word版文档

  • 2026-03-21 09:53:12 2026-03-18 15:10:10

文档预览

专题五第1讲 统计与统计案例_2.2025数学总复习_赠品通用版(老高考)复习资料_二轮复习_2023年高考数学二轮复习讲义+课件(全国版文科)_学生版_学生用书Word版文档
专题五第1讲 统计与统计案例_2.2025数学总复习_赠品通用版(老高考)复习资料_二轮复习_2023年高考数学二轮复习讲义+课件(全国版文科)_学生版_学生用书Word版文档
专题五第1讲 统计与统计案例_2.2025数学总复习_赠品通用版(老高考)复习资料_二轮复习_2023年高考数学二轮复习讲义+课件(全国版文科)_学生版_学生用书Word版文档
专题五第1讲 统计与统计案例_2.2025数学总复习_赠品通用版(老高考)复习资料_二轮复习_2023年高考数学二轮复习讲义+课件(全国版文科)_学生版_学生用书Word版文档
专题五第1讲 统计与统计案例_2.2025数学总复习_赠品通用版(老高考)复习资料_二轮复习_2023年高考数学二轮复习讲义+课件(全国版文科)_学生版_学生用书Word版文档

文档信息

文档格式
docx
文档大小
0.410 MB
文档页数
5 页
上传时间
2026-03-18 15:10:10

文档内容

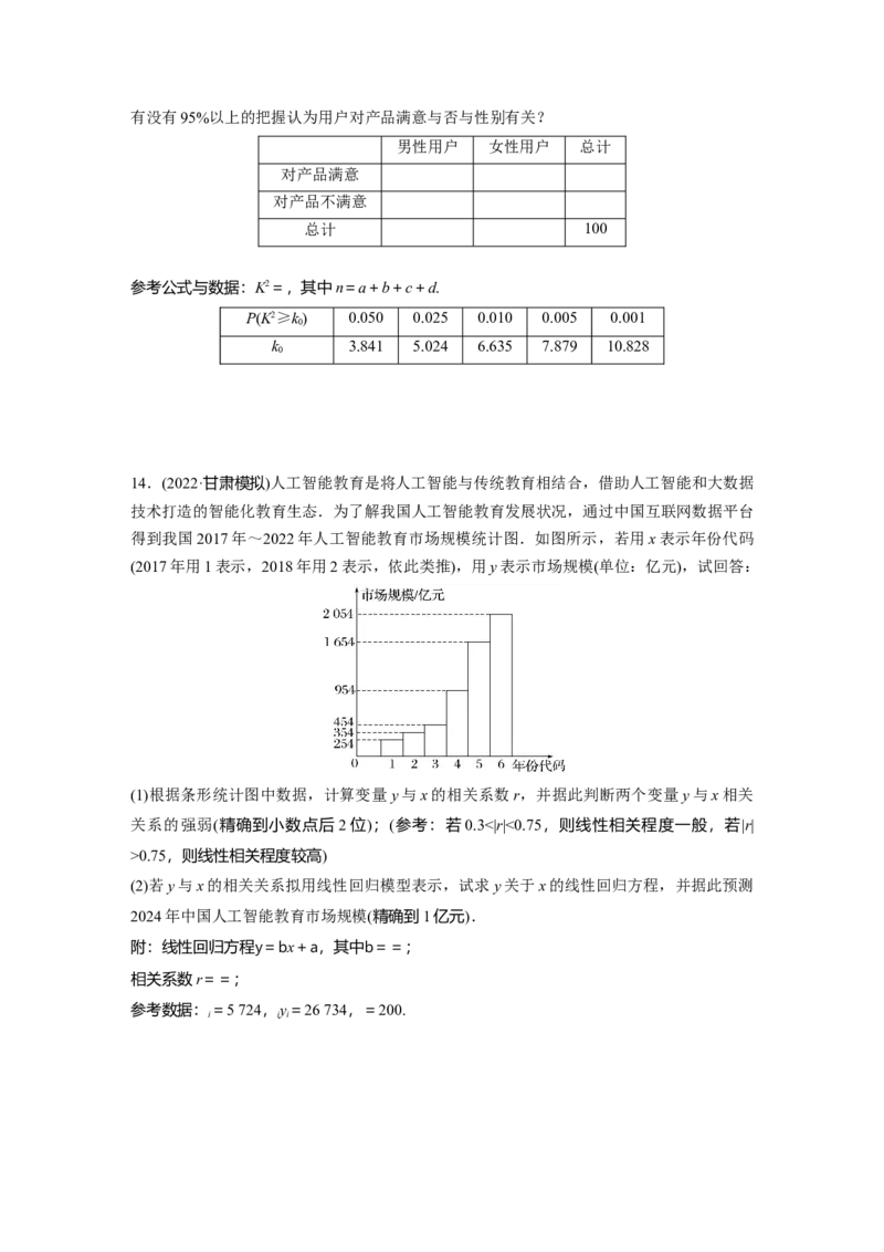
专题五 概率与统计 第 1 讲 统计与统计案例 一、选择题 1.某公司2022年1月至7月空调销售完成情况如图,如7月份销售量是190台,设月份为 x,销售量为y,由统计数据(x,y)(i=1,2,…,7)得到散点图,下列四个回归方程模型中最 i i 适合作为销售量y和月份x的回归方程模型的是( ) A.y=a+bx B.y=a+bx2 C.y=a+bex D.y=a+bln x 2.(2022·全国甲卷)某社区通过公益讲座以普及社区居民的垃圾分类知识.为了解讲座效果, 随机抽取10位社区居民,让他们在讲座前和讲座后各回答一份垃圾分类知识问卷,这10位 社区居民在讲座前和讲座后问卷答题的正确率如图,则( ) A.讲座前问卷答题的正确率的中位数小于70% B.讲座后问卷答题的正确率的平均数大于85% C.讲座前问卷答题的正确率的标准差小于讲座后正确率的标准差 D.讲座后问卷答题的正确率的极差大于讲座前正确率的极差 3.(2022·济南模拟)某学校于3月12日组织师生举行植树活动,购买垂柳、银杏、侧柏、海 桐四种树苗共计1 200棵,比例如图所示.高一、高二、高三报名参加植树活动的人数分别 为600,400,200,若每种树苗均按各年级报名人数的比例进行分配,则高三年级应分得的侧 柏的数量为( )A.34 B.46 C.50 D.70 4.(2022·大同模拟)中国运动员谷爱凌在2022北京冬奥会自由式滑雪女子大跳台决赛中以 188.25分夺得金牌.自由式滑雪大跳台比赛一般有资格赛和决赛两个阶段,比赛规定:资格 赛前12名进入决赛.在某次自由式滑雪大跳台比赛中,24位参加资格赛选手的成绩各不相 同.如果选手甲知道了自己的成绩后,则他可根据其他23位同学成绩的哪个数据判断自己 能否进入决赛( ) A.中位数 B.极差 C.平均数 D.方差 5.(2022·西安模拟)某大学生暑假到工厂参加劳动,生产了100件产品,质检人员测量其长 度(单位:厘米),将所得数据分成 6 组:[90,91),[91,92),[92,93),[93,94),[94,95), [95,96],得到如图所示的频率分布直方图,则对这100件产品,下列说法中不正确的是( ) A.b=0.25 B.长度落在区间[93,94)内的个数为35 C.长度的中位数一定落在区间[93,94)内 D.长度的众数一定落在区间[93,94)内 6.(2022·运城模拟)从非洲蔓延到东南亚的蝗虫灾害严重威胁了国际农业生产,影响了人民 生活.世界性与区域性温度的异常、旱涝频繁发生给蝗灾发生创造了机会.已知蝗虫的产卵 量y与温度x的关系可以用模型y=c (其中e为自然对数的底数)拟合,设z=ln y,其 1 变换后得到一组数据: x 20 23 25 27 30 z 2 2.4 3 3 4.6 由上表可得线性回归方程z=0.2x+a,则当x=60时,蝗虫的产卵量y的估计值为( ) A.e6 B.10 C.6 D.e10 7.为了解高中生选科时是否选物理与数学成绩之间的关系,某教研机构随机抽取了 50名高中生,通过问卷调查,得到以下数据: 选物理 不选物理 总计 数学成绩优异 20 7 27 数学成绩一般 10 13 23 总计 30 20 50 由以上数据,计算得到K2=≈4.844,根据临界值表,以下说法错误的是( ) 参考数据: P(K2≥k) 0.1 0.05 0.01 0.005 0.001 0 k 2.706 3.841 6.635 7.879 10.828 0 A.有95%的把握认为是否选择物理与数学成绩有关 B.在犯错误的概率不超过0.05的前提下,认为是否选择物理与数学成绩有关 C.95%的数学成绩优异的同学选择物理 D.若表格中的所有数据都扩大为原来的10倍,在相同条件下,结论会发生变化 8.(2022·朔州模拟)2022年北京冬奥会开幕式各个代表团所身着的运动鞋服品牌一度成为热 议话题,运动鞋服是近年来新消费市场中规模相当庞大的品类,如图为2022年中国消费者 运动鞋服购置品牌偏好调查,根据该图,下列说法错误的是( ) A.2022年中国运动鞋服消费者为父母长辈购买运动鞋服时选择国产品牌的占比超过70% B.2022年中国运动鞋服消费者没有为孩子购买运动鞋服的占比低于20% C.2022年中国运动鞋服消费者在为自己购买运动鞋服时选择国外品牌的占比不超过 D.2022年中国运动鞋服消费者在为朋友购买运动鞋服时选择国产品牌的人数超过选择国外 品牌人数的2倍 9.某学校举行诗歌朗诵比赛,10位评委对甲、乙两位同学的表现打分,满分为10分,将 两位同学的得分制成如下茎叶图,其中茎叶图茎部分是得分的个位数,叶部分是得分的小数, 则下列说法错误的是( )A.甲同学的平均分大于乙同学的平均分 B.甲、乙两位同学得分的极差分别为2.4和1 C.甲、乙两位同学得分的中位数相同 D.甲同学得分的方差更小 10.(2022·荆州模拟)酒后驾驶是严重危害交通安全的行为,某交通管理部门对辖区内四个地 区(甲、乙、丙、丁)的酒驾治理情况进行检查督导,若“连续8天,每天查获的酒驾人数不 超过10”,则认为“该地区酒驾治理达标”,根据连续8天检查所得数据的数字特征推断 酒驾治理一定达标的地区是( ) A.甲地:平均数为7,方差为2 B.乙地:众数为3,中位数为2 C.丙地:平均数为4,中位数为5 D.丁地:极差为3,中位数为8 二、填空题 11.某工厂为研究某种产品的产量x(吨)与所需某种原材料的质量y(吨)的相关性,在生产过 程中收集了4组对应数据(x,y),如表所示.(残差=观测值-预测值) x 3 4 5 6 y 2.5 3 4 m 根据表中数据,得出y关于x的线性回归方程为y=0.7x+a.据此计算出在样本(4,3)处的残差 为-0.15,则表中m的值为________. 12.(2022·连云港模拟)一组数据x ,x ,…,x 是公差为-1的等差数列,若去掉首末两项 1 2 10 x,x ,则下列说法正确的是________.(填序号) 1 10 ①平均数变大;②中位数没变;③方差变小;④极差没变. 三、解答题 13.(2022·海东模拟)某公司为了解用户对公司生产的产品的满意度做了一次随机调查,共随 机选取了100位用户对其产品进行评分.用户对产品评分情况如表所示(已知满分100分, 选取的100名用户的评分分值在区间[70,100]上). 选取的100名用户中男性用户评分情况: 得分 [70,75) [75,80) [80,85) [85,90) [90,95) [95,100] 人数 7 11 18 12 8 8 选取的100名用户中女性用户评分情况: 得分 [70,75) [75,80) [80,85) [85,90) [90,95) [95,100] 人数 3 9 12 8 2 2 (1)分别估计用户对产品评分分值在[70,80),[80,90),[90,100]的概率; (2)若用户评分分值不低于80分,则定位用户对产品满意.填写下面的2×2列联表,并分析有没有95%以上的把握认为用户对产品满意与否与性别有关? 男性用户 女性用户 总计 对产品满意 对产品不满意 总计 100 参考公式与数据:K2=,其中n=a+b+c+d. P(K2≥k) 0.050 0.025 0.010 0.005 0.001 0 k 3.841 5.024 6.635 7.879 10.828 0 14.(2022·甘肃模拟)人工智能教育是将人工智能与传统教育相结合,借助人工智能和大数据 技术打造的智能化教育生态.为了解我国人工智能教育发展状况,通过中国互联网数据平台 得到我国2017年~2022年人工智能教育市场规模统计图.如图所示,若用x表示年份代码 (2017年用1表示,2018年用2表示,依此类推),用y表示市场规模(单位:亿元),试回答: (1)根据条形统计图中数据,计算变量y与x的相关系数r,并据此判断两个变量y与x相关 关系的强弱(精确到小数点后2位);(参考:若0.3<|r|<0.75,则线性相关程度一般,若|r| >0.75,则线性相关程度较高) (2)若y与x的相关关系拟用线性回归模型表示,试求y关于x的线性回归方程,并据此预测 2024年中国人工智能教育市场规模(精确到1亿元). 附:线性回归方程y=bx+a,其中b==; 相关系数r==; 参考数据:=5 724,y=26 734,=200. i i i