当前位置:首页>文档>微专题分类讨论法解决含参函数单调性问题学案——2023届高考数学一轮《考点·题型·技巧》精讲与精练_2.2025数学总复习_赠品通用版(老高考)复习资料_一轮复习

微专题分类讨论法解决含参函数单调性问题学案——2023届高考数学一轮《考点·题型·技巧》精讲与精练_2.2025数学总复习_赠品通用版(老高考)复习资料_一轮复习

  • 2026-04-14 11:27:51 2026-03-20 01:09:01

文档预览

微专题分类讨论法解决含参函数单调性问题学案——2023届高考数学一轮《考点·题型·技巧》精讲与精练_2.2025数学总复习_赠品通用版(老高考)复习资料_一轮复习
微专题分类讨论法解决含参函数单调性问题学案——2023届高考数学一轮《考点·题型·技巧》精讲与精练_2.2025数学总复习_赠品通用版(老高考)复习资料_一轮复习
微专题分类讨论法解决含参函数单调性问题学案——2023届高考数学一轮《考点·题型·技巧》精讲与精练_2.2025数学总复习_赠品通用版(老高考)复习资料_一轮复习
微专题分类讨论法解决含参函数单调性问题学案——2023届高考数学一轮《考点·题型·技巧》精讲与精练_2.2025数学总复习_赠品通用版(老高考)复习资料_一轮复习
微专题分类讨论法解决含参函数单调性问题学案——2023届高考数学一轮《考点·题型·技巧》精讲与精练_2.2025数学总复习_赠品通用版(老高考)复习资料_一轮复习
微专题分类讨论法解决含参函数单调性问题学案——2023届高考数学一轮《考点·题型·技巧》精讲与精练_2.2025数学总复习_赠品通用版(老高考)复习资料_一轮复习
微专题分类讨论法解决含参函数单调性问题学案——2023届高考数学一轮《考点·题型·技巧》精讲与精练_2.2025数学总复习_赠品通用版(老高考)复习资料_一轮复习
微专题分类讨论法解决含参函数单调性问题学案——2023届高考数学一轮《考点·题型·技巧》精讲与精练_2.2025数学总复习_赠品通用版(老高考)复习资料_一轮复习
微专题分类讨论法解决含参函数单调性问题学案——2023届高考数学一轮《考点·题型·技巧》精讲与精练_2.2025数学总复习_赠品通用版(老高考)复习资料_一轮复习
微专题分类讨论法解决含参函数单调性问题学案——2023届高考数学一轮《考点·题型·技巧》精讲与精练_2.2025数学总复习_赠品通用版(老高考)复习资料_一轮复习
微专题分类讨论法解决含参函数单调性问题学案——2023届高考数学一轮《考点·题型·技巧》精讲与精练_2.2025数学总复习_赠品通用版(老高考)复习资料_一轮复习
微专题分类讨论法解决含参函数单调性问题学案——2023届高考数学一轮《考点·题型·技巧》精讲与精练_2.2025数学总复习_赠品通用版(老高考)复习资料_一轮复习
微专题分类讨论法解决含参函数单调性问题学案——2023届高考数学一轮《考点·题型·技巧》精讲与精练_2.2025数学总复习_赠品通用版(老高考)复习资料_一轮复习
微专题分类讨论法解决含参函数单调性问题学案——2023届高考数学一轮《考点·题型·技巧》精讲与精练_2.2025数学总复习_赠品通用版(老高考)复习资料_一轮复习
微专题分类讨论法解决含参函数单调性问题学案——2023届高考数学一轮《考点·题型·技巧》精讲与精练_2.2025数学总复习_赠品通用版(老高考)复习资料_一轮复习
微专题分类讨论法解决含参函数单调性问题学案——2023届高考数学一轮《考点·题型·技巧》精讲与精练_2.2025数学总复习_赠品通用版(老高考)复习资料_一轮复习
微专题分类讨论法解决含参函数单调性问题学案——2023届高考数学一轮《考点·题型·技巧》精讲与精练_2.2025数学总复习_赠品通用版(老高考)复习资料_一轮复习
微专题分类讨论法解决含参函数单调性问题学案——2023届高考数学一轮《考点·题型·技巧》精讲与精练_2.2025数学总复习_赠品通用版(老高考)复习资料_一轮复习
微专题分类讨论法解决含参函数单调性问题学案——2023届高考数学一轮《考点·题型·技巧》精讲与精练_2.2025数学总复习_赠品通用版(老高考)复习资料_一轮复习
微专题分类讨论法解决含参函数单调性问题学案——2023届高考数学一轮《考点·题型·技巧》精讲与精练_2.2025数学总复习_赠品通用版(老高考)复习资料_一轮复习
微专题分类讨论法解决含参函数单调性问题学案——2023届高考数学一轮《考点·题型·技巧》精讲与精练_2.2025数学总复习_赠品通用版(老高考)复习资料_一轮复习
微专题分类讨论法解决含参函数单调性问题学案——2023届高考数学一轮《考点·题型·技巧》精讲与精练_2.2025数学总复习_赠品通用版(老高考)复习资料_一轮复习
微专题分类讨论法解决含参函数单调性问题学案——2023届高考数学一轮《考点·题型·技巧》精讲与精练_2.2025数学总复习_赠品通用版(老高考)复习资料_一轮复习
微专题分类讨论法解决含参函数单调性问题学案——2023届高考数学一轮《考点·题型·技巧》精讲与精练_2.2025数学总复习_赠品通用版(老高考)复习资料_一轮复习
微专题分类讨论法解决含参函数单调性问题学案——2023届高考数学一轮《考点·题型·技巧》精讲与精练_2.2025数学总复习_赠品通用版(老高考)复习资料_一轮复习
微专题分类讨论法解决含参函数单调性问题学案——2023届高考数学一轮《考点·题型·技巧》精讲与精练_2.2025数学总复习_赠品通用版(老高考)复习资料_一轮复习
微专题分类讨论法解决含参函数单调性问题学案——2023届高考数学一轮《考点·题型·技巧》精讲与精练_2.2025数学总复习_赠品通用版(老高考)复习资料_一轮复习
微专题分类讨论法解决含参函数单调性问题学案——2023届高考数学一轮《考点·题型·技巧》精讲与精练_2.2025数学总复习_赠品通用版(老高考)复习资料_一轮复习
微专题分类讨论法解决含参函数单调性问题学案——2023届高考数学一轮《考点·题型·技巧》精讲与精练_2.2025数学总复习_赠品通用版(老高考)复习资料_一轮复习
微专题分类讨论法解决含参函数单调性问题学案——2023届高考数学一轮《考点·题型·技巧》精讲与精练_2.2025数学总复习_赠品通用版(老高考)复习资料_一轮复习
微专题分类讨论法解决含参函数单调性问题学案——2023届高考数学一轮《考点·题型·技巧》精讲与精练_2.2025数学总复习_赠品通用版(老高考)复习资料_一轮复习
微专题分类讨论法解决含参函数单调性问题学案——2023届高考数学一轮《考点·题型·技巧》精讲与精练_2.2025数学总复习_赠品通用版(老高考)复习资料_一轮复习
微专题分类讨论法解决含参函数单调性问题学案——2023届高考数学一轮《考点·题型·技巧》精讲与精练_2.2025数学总复习_赠品通用版(老高考)复习资料_一轮复习
微专题分类讨论法解决含参函数单调性问题学案——2023届高考数学一轮《考点·题型·技巧》精讲与精练_2.2025数学总复习_赠品通用版(老高考)复习资料_一轮复习
微专题分类讨论法解决含参函数单调性问题学案——2023届高考数学一轮《考点·题型·技巧》精讲与精练_2.2025数学总复习_赠品通用版(老高考)复习资料_一轮复习
微专题分类讨论法解决含参函数单调性问题学案——2023届高考数学一轮《考点·题型·技巧》精讲与精练_2.2025数学总复习_赠品通用版(老高考)复习资料_一轮复习
微专题分类讨论法解决含参函数单调性问题学案——2023届高考数学一轮《考点·题型·技巧》精讲与精练_2.2025数学总复习_赠品通用版(老高考)复习资料_一轮复习
微专题分类讨论法解决含参函数单调性问题学案——2023届高考数学一轮《考点·题型·技巧》精讲与精练_2.2025数学总复习_赠品通用版(老高考)复习资料_一轮复习
微专题分类讨论法解决含参函数单调性问题学案——2023届高考数学一轮《考点·题型·技巧》精讲与精练_2.2025数学总复习_赠品通用版(老高考)复习资料_一轮复习
微专题分类讨论法解决含参函数单调性问题学案——2023届高考数学一轮《考点·题型·技巧》精讲与精练_2.2025数学总复习_赠品通用版(老高考)复习资料_一轮复习

文档信息

文档格式
docx
文档大小
2.546 MB
文档页数
40 页
上传时间
2026-03-20 01:09:01

文档内容

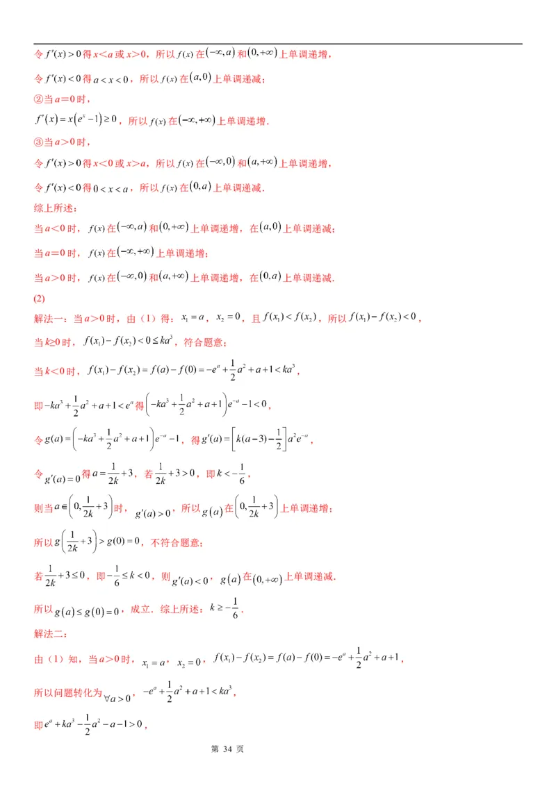
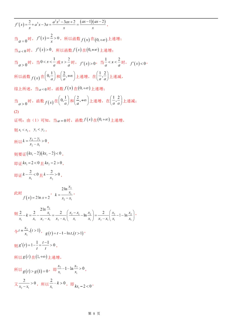
微专题:分类讨论法解决含参函数单调性问题 【考点梳理】 利用分类讨论解决含参函数的单调性、极值、最值问题的思维流程 【题型归纳】 题型一:可求根或因式分解 1.已知函数 ( ). (1) ,求函数 在 处的切线方程; (2)讨论函数 的单调性. 2.已知函数 , . (1)讨论 的单调性; (2)若 ,且斜率为k的直线与函数 的图象交于点 , , ,证明: 且 . 3.已知函数 , 为函数 的导函数. (1)讨论 的单调性; (2)若 恒成立,求m的取值范围. 题型二:导函数不可因式分解 4.已知函数 . 第 1 页 学学科科网网((北北京京))股股份份有有限限公公司司(1)讨论函数 的单调性; (2)若 有两个极值点 , ,且 ,当 时,求 的取值范围. 5.已知函数 . (1)求 的单调区间; (2)若函数 有两个极值点 且 恒成立,求实数a的取值范围. 6.已知函数 . (1)讨论函数 的单调性; (2)若 在 处取得极值,对任意 恒成立,求实数 的取值范围. 【双基达标】 7.已知函数 . (1)当 时,求曲线 在 处的切线方程; (2)求函数 的单调区间和极值. 8.设函数 . (1)当 时,讨论函数 的单调性; (2)设 ,记 ,当 时,若方程 有两个不相 等的实根 ,求证: . 9.设函数 , ,其导函数为 . 第 2 页 学学科科网网((北北京京))股股份份有有限限公公司司(1)求函数 的单调区间; (2)若 , 为整数,且当 , ,求 的最大值. 10.设函数 . (1)求 的单调区间; (2)若 时, 恒成立,求 的取值范围. 11.已知函数 . (1)求 的单调递增区间; (2)当 时, 恒成立,求实数m的取值范围. 12.设函数 . (1)当 时,讨论函数 的单调性; (2)设 ,记 ,当 时,若方程 有两个不相等的实根 , ,求证: . 13.已知函数 , (1)讨论 的单调性; (2)若不等式 对任意 恒成立,求 的最大值. 14.已知函数 (1)当 时, 取得极小值 ;当 时, 取得极大值22,求 的值; (2)讨论 的单调性. 15.已知函数 ( 为自然对数的底数). 第 3 页 学学科科网网((北北京京))股股份份有有限限公公司司(1)若 时,求函数 的单调区间. (2)是否存在实数 ,使得 时, 恒成立?若存在,求出实数 的取值范围;若 不存在,说明理由. 【高分突破】 16.已知 ,其中 . (1)讨论 的单调性; (2)取 , ,其中 ,求最小的k,使 有两个零点. 17.已知函数 . (1)讨论 在 上的单调性; (2)若 在 处取得极值,证明: . 18.已知函数 (1)讨论函数 的单调性; (2)已知 若函数 没有零点,求 的取值范围. 19.设函数 ,记 . (1)求曲线 在 处的切线方程; (2)求函数 的单调区间; (3)若函数 的图象恒在 的图象的下方,求实数a的取值范围. 20.已知函数 , . (1)当 时,求 在区间 上的最大值和最小值; (2)求 的单调区间. 21.已知函数 . 第 4 页 学学科科网网((北北京京))股股份份有有限限公公司司(1)求 的单调区间; (2)若 有两个不同的零点,求 的取值范围. 22.已知函数 . (1)求 的单调区间; (2)若 ,当 时,函数 有极小值,求a的取值范围. 23.已知函数 . (1)当 时,求函数f(x)的极值; (2)求函数f(x)单调区间. 24.已知函数 . (1)当 时,讨论 的单调性; (2)当 时,若 ,求b的最小值. 25.已知函数 , . (1)讨论 的单调性; (2)若 有极小值点 ,极大值点 ,且对任意 , ,求实数k的取值范围. 26.已知函数 ,其中 . (1)求函数 的单调区间; (2)若 对任意 恒成立,求实数 的取值范围. 27.已知函数 , .讨论函数 的单调性; 28.已知函数 ,记 的导函数为 ,讨论 的单调性; 29.已知函数 ( 且 ). 第 5 页 学学科科网网((北北京京))股股份份有有限限公公司司(1) ,求函数 在 处的切线方程. (2)讨论函数 的单调性; 30.已知函数 ,函数 的导函数为 .讨论函数 的单调性. 第 6 页 学学科科网网((北北京京))股股份份有有限限公公司司参考答案 1.(1) (2)答案见解析 【解析】 【分析】 (1)代入 ,求导得切线的斜率 ,进而求得切线方程; (2)先求导,再分 , , 和 讨论导数的正负,进而求得函数的单调性. (1) 时, , ,切线的斜率 ,则切线方程为 ; (2)函数 的定义域为 ,且 ,①当 时, ,由 ,得 ;由 ,得 则函数 的单调递增区间为 ,单调递减区间为 .②当 ,即 时,由 ,得 或 ;由 ,得 .则函数 的单调递增区 间为 , ,函数 的单调递减区间为 .③当 ,即 时, 恒成立,则函数 的单调递增区间为 .④当 ,即 时,由 ,得 或 ;由 ,得 , 则函数 的单调递增区间为 , ,函数 的单调递减区间为 .综上所述,当 时,函数 在 上单调递增,在 上单调递减;当 时,函数 在 和 上单调递增,在 上单调递减;当 时,函数 在 上单调递增;当 时,函数 在 和 上单调 递增,在 上单调递减. 2.(1)答案见解析 (2)证明见解析 【解析】 【分析】 (1)求导,分 , 和 三种情况讨论,根据导数的符号即可得出答案; (2)由(1)可知,当 时,函数 在 上递增,根据斜率公式即可证明 ,要证 ,即证 且 ,即证 且 ,利用导数分别构造函数证明两个 不等式成立即可. (1) 解:函数 的定义域为 , 第 7 页, 当 时, ,所以函数 在 上递增; 当 时, ,所以函数 在 上递增; 当 时,当 或 时, ,当 时, , 所以函数 在 和 上递增,在 上递减, 综上所述,当 时,函数 在 上递增; 当 时,函数 在 和 上递增,在 上递减; (2) 证明:由(1)可知,当 时,函数 在 上递增, 则 , , 所以 , 则要证 , 即证 且 , 即证 且 , 此时 , , 则 , 令 , , 则 , 所以 在 上递增, 所以 ,即 , 又 ,所以 ,即 , 第 8 页, 令 , 则 , 所以函数 在 上递减, 所以 ,即 , 又 ,所以 ,即 , 所以 且 . 【点睛】 本题考查了利用导数求函数的单调区间,考查了利用导数证明不等式问题,考查了分类讨论思想及转化思想,有 一定的难度. 3.(1)详见解析; (2) . 【解析】 【分析】 (1)求出函数的导数化简得 ,分类讨论求函数的单调区间即可; (2)由恒等式化简可得 ,分离参数可得当 时, ,当 时, ,利用导 数研究 的单调性及最值即可求解. (1) 由题可得 , ①当 时, 时, , 单调递减; 时, , 单调递增; ②当 时, 时, , 单调递增; 时, , 单调递减; 时, , 单调递增; ③当 时, 时, , 单调递增; ④当 时, 时, , 单调递增; 时, , 单调递减; 第 9 页时, , 单调递增. (2) 由 恒成立,即 , , 当 时, 恒成立, 当 时, ,当 时, , 令 ,则 , 当 时, , 单调递减且 , 所以 当 时, 得 , 时, , 单调递减, 时, , 单调递增; ,故 综上,m的取值范围为 . 4.(1)答案见解析 (2) 【解析】 【分析】 (1)求出导数 ,然后讨论 在 上的符号即可; (2)求出导数的两个根,并结合韦达定理找到根与系数 之间的关系,然后将 表示为关于 的函数, 再求值域即可. (1)解: 的定义域为 , ,令 ,当 ,即 时, 在 上恒成立,故此时 是增函数;当 ,即 时, 有两个正根, ,或 ,显然 ,此时 的单调递增 区间为 , ,单调递减期间为 ;同理当 时, 在 上恒成立,故此时 是增函数;综上可知:当 时, 是增函数; 时, 的两根为 ,或 ,此时 的单调递增区间为 , ,单调递减区间为 . 第 10 页(2)解:由(1)知, ,再令 当 , 的两个 极值点为 的两个互异实根 , ,且 , ,则 ,即 ,显然 ,由 整理得 ,解得 ,且 ,而 ,将 代入上式整理得 ,再将 代入上式得: , ,且 ,令 , , ,, 在 上恒成立,故 在 上单调递减, , ,且 , 即 的取值范围为 . 5.(1)答案见解析 (2) 【解析】 【分析】 (1)先求出函数的定义域,再对函数求导,然后分 , 和 三种情况判断导函数的正负,从而可 求出函数的单调区间, (2)对函数求导后,将问题转化为方程 的有两个不等正根,从而可得 , ,将不 等式 恒成立,转化为可化为 对 恒成立,令 ,利用 导数求其最小值即可 (1) 的定义域为 ,求导得 , 令 ,得 ,其 . 当 时,又 ,所以 ,故 在 上单调递增. 当 时, ,所以 ,故 在 上单调递增, 当 时, ,由 得 , 所以 或 时, ,当 时, , 故 在 上单调递增.在 上单调递增. 第 11 页综上,当 时, 在 上单调递增. 当 时, 在 上单调递增,在 上单调递减 (2) 的定义域为 ,求导得 , 有两个极值点 时,等价于方程 的有两个不等正根, 所以 ,所以 , , 此时不等式 恒成立,等价于 对 恒成立,可化为 对 恒成立, 令 , ,则 , 令 ,则 , 令 ,得 或 (舍去), 所以当 时, ,当 时, , 故 , 在 恒成立, 在 上单调递减, , . 故实数 的取值范围是 【点睛】 关键点点睛:此题考查导数综合应用,考查利用求函数的单调区间,考查利用导数解决不等式恒成立问题,第 (2)问解题的关键是由 有两个极值点 时,等价于方程 的有两个不等正根,从而 可求得 , ,然后将问题进一步转化为 对 恒成立,再通过构造函数 ,利用导数求其最小值即可,考查数学转化思想,属于较难题 6.(1)答案见解析; (2) . 【解析】 第 12 页【分析】 (1)求出 ,然后分 、 两种情况可得答案; (2)根据条件求出 的值,然后利用分离变量法求解即可. (1) 因为 ,所以 , 当 时, , 在 上单调递减, 当 时,由 可得 ,由 可得 , 所以 在 上单调递减,在 上单调递增, 综上:当 时, 在 上单调递减, 当 时, 在 上单调递减,在 上单调递增, (2) 因为 在 处取得极值,所以结合(1)可得 ,即 , 所以 , 所以由 可得 , 令 ,则 , 当 时, ,即 , 单调递减, 当 时, ,即 , 单调递增, 所以 . 所以实数 的取值范围是 . 7.(1) (2)答案详见解析 【解析】 【分析】 (1)结合切点和斜率求得切线方程. (2)求得 ,对 进行分类讨论,由此求得 的单调区间和极值. (1) 当 时, , , 第 13 页, 所以 在 处的切线方程为 . (2) , 当 时, , 在 上递减,没有极值. 当 时, 的定义域为 , 令 解得 . 当 时, 在区间 递减; 在区间 递增; 的极小值为 ,无极大值. 当 时, 在区间 递增; 在区间 递减; 的极大值为 ,无极小值. 8.(1)答案见解析; (2)证明见解析. 【解析】 【分析】 (1)求导后转化为含参的函数,讨论单调性的实质就是解含参的不等式,借助分子函数的图像,完成讨论. (2)本问题为极值点偏移问题,可转换为单变量的不等式证明,构造函数利用导数证明即可. (1) 的定义域为 , . 令 ,则得到导函数的两个零点, 或 ,由于分母为正, 故我们只关注分子函数 ,其为二次函数,借助其图像, 第 14 页以两个零点的大小关系为分类标准得到如下: ①当 时,即 时,当 时, , 单调递减, 当 时, , 单调递增; ②当 时,即 时, 恒成立,即 恒成立,故 在 上单调递增; 综上所述,当 时, 的单减区间为 ,单增区间为 ; 当 时, 只有单增区间 ; (2) 由题可知, , 设 是方程 的两个不等实根,不妨设为 , 则 ,两式相减整理得到 ,从而得到 , 要证 ,故只需要证明 , 由于 , 转化为 , 即 ,即 , 令 ,则上述式子转化为 设 ,则 , 当且仅当 时等号成立,故 在 上单调递增,故有 , 故 得证, 即 . 9.(1)详见解析; (2)2. 【解析】 【分析】 (1)求出函数 的导函数 ,再按 、 讨论 正负即可得解; (2)根据给定条件将不等式等价转化并分离参数,构造函数 ,讨论它的最小值即可得解. (1) 因为 的定义域为R, . 第 15 页当 时,则 , 在R上单调递增; 当 时,则 ,解得 , 当x变化时, , 变化如下表: x - 0 + 单调减 极小值 单调增 综上,当 时, 在R上单调递增; 当 时, 的单调减区间是 ,增区间是 ; (2) 由于 , ∴ . 故当 时, 等价于 , 令 ,则 . 由(1)知,函数 在 上单调递增, 而 , , ∴ 在 存在唯一的零点, 故 在 存在唯一的零点.设此零点为m,则 . 当 时, ;当 时, , ∴ 在 的最小值为 . 又由 ,可得 , ∴ . 由于 , 故整数 的最大值为2. 【点睛】 关键点睛:本题考查函数的单调性,考查函数的最值;解决本题的关键是第一小题应用分类讨论的方法;第二小 题将问题转化为求函数的最小值问题. 10.(1)当 时, 的单调递增区间为 ,无单调递减区间;当 时, 的单调递增区间为 , 第 16 页单调递减区间为 ; (2) 【解析】 【分析】 (1)分别讨论当 及 时 的正负,从而得到 在 上的单调区间; (2)将原不等式转化为 在 时恒成立,先证得 恒成立,再证对任意的 恒成立即可,通过新设函数 ,求导判断单调性得到 时,不等式 恒成立. (1) 由已知 当 时, 在 恒成立, 在 上单调递增; 当 时,由 得 , 若 时, 在 上单调递增, 若 时, 在 上单调递减; 综上所述,当 时, 的单调递增区间为 ,无单调递减区间; 当 时, 的单调递增区间为 ,单调递减区间为 ; (2) 时, 恒成立, 即 在 时恒成立, 当 时, 恒成立,即 又 ,则 . 下面证明:当 时, 在 时恒成立. 先证明 时, ,由(1)知: 当 , 在 上单调递增,在 上单调递减; 则 ,即 有 , 所以,当 时, 要证明 ,只需证明: 对任意的 恒成立, 令 则 , 由 得 ①当 即 时, 在 上恒成立, 第 17 页则 在 上单调递增,于是 ②当 即 时, 在 上单调递减,在 上单调递增, 于是 , 令 ,则 则 在 上单调递增, 于是 ,所以 恒成立, 所以, 时,不等式 恒成立, 因此,a的范围是 【点睛】 利用导数方法证明不等式在给定区间上恒成立的基本方法是构造新函数 ,然后根据函数的单调性、或者函数 的最值,证明函数 ,其中一个重要的技巧就是找到函数 在什么地方可以等于零,这往往就是解决问题 的突破口。 11.(1)见详解; (2) 【解析】 【分析】 (1)求导,分类解不等式 可得; (2)根据函数单调性分类求得 ,然后解 可得. (1) 函数 的定义域为 当 时,解不等式 得 , 当 时,解不等式 得 , 当 时,解不等式 得 , 当 时,不等式 无实数解. 综上,当 时, 的单调递增区间为 ; 当 时, 的单调递增区间为 ; 第 18 页当 时, 的单调递增区间为 ; 当 时, 无单调递增区间. (2) 由(1)知,当 时, 在 上单调递减,所以 ,显然 恒成立; 当 时, 在 上单调递减,所以 ,显然 恒成立; 当 时, 在 上单调递增,在 上单调递减,所以 因为当 时 恒成立,所以 ,解得 . 综上,实数m的取值范围为 12.(1)答案见解析; (2)证明见解析0 【解析】 【分析】 (1)求导后转化为含参的函数,讨论单调性的实质就是解含参的不等式,借助分子函数的图象,完成讨论. (2)本问题为极值点偏移问题,可转换为单变量的不等式证明,构造函数证明即可. (1) 解:定义域为 , ; 令 ,则得到导函数的两个零点, 或 ,由于分母为正, 故我们只关注分子函数 ,其为二次函数,借助其图象, 以两个零点的大小关系为分类标准得到如下: ①当 时,即 时,当 时, , 单调递减, 当 时, , 单调递增; ②当 时,即 时, 恒成立,即 恒成立,故 在 上单调递增; 综上所述,当 时, 的单减区间为 ,单增区间为 ; 当 时, 只有单增区间 ; (2) 证明:由题可知, , 设 , 是方程 的两个不等实根,不妨设为 , 第 19 页则 ,两式相减整理得到 ,从而得到 , 要证 ,故只需要证明 , 由于 , 转化为 , 即 ,即 , 令 ,则上述式子转化为 设 ,则 , 当且仅当 时等号成立,故 在 上单调递增,故有 , 故 得证, 即 . 13.(1)单调性见解析; (2) 【解析】 【分析】 (1)求出导函数,通过 , 时,求解导函数的正负,判断导函数的符号,求解函数的单调区间即可. (2) 对任意 恒成立,等价于 恒成立. 构造函数求出导数,判断函数的单 调性,求解函数的最值,然后转化求解即可. (1) 解: , 当 时, 恒成立, 在 上单调递增; 当 时,令 得 ,令 得 , 在 上单调递增,在 上单调递减; 综上所述:当 时, 在 上单调递增; 当 时, 在 上单调递增,在 上单调递减; (2) 依题意得: 对任意 恒成立,等价于 恒成立. 第 20 页令 ,则 ,则当 时, ,当 时, , 又 , 在 上单调递减,在 上单调递增, , ,即 的最大值为 . 【点睛】 思路点睛:函数中恒成立或有解问题,可分离变量,转化为 或 来求. 14.(1) ; (2)详见解析. 【解析】 【分析】 (1)首先求函数的导数,进而可得 ,即得; (2)求函数的导数,分 , 讨论,然后结合判别式讨论,再根据导数与单调性的关系即得. (1) ∵ , ∴ , 则 , ∴ , ∴ , 所以 在区间 上 ,在区间 上 ,当 时, 取得极小值,当 时, 取得极大值,符合题意, 所以 ; (2) 由题可知 , 当 时, , 第 21 页①当 时, ,函数 在 上单调递增, ②当 时,由 ,可得 , ∴当 时, ,当 时, , 故 在 上单调递增,在 上单调递减,在 单调递增; 当 时, , ①当 时, ,函数 在 上单调递减, ②当 时,由 ,可得 , ∴当 时, ,当 时, , 故 在 上单调递减,在 上单调递增,在 单调递减; 综上,当 且 时,函数 在 上单调递增;当 且 时, 在 上单调递增,在 上单调递减,在 单 调递增; 当 且 时,函数 在 上单调递减;当 且 时, 在 上单调递减,在 上单调递增,在 单 调递减. 15.(1)详见解析; (2) . 【解析】 【分析】 (1)先对函数求导,然后分 , 和 三种情况讨论导数的正负,从而可求出函数的单调区 间; (2)设 ,利用导数研究函数的最值,分 , 讨论求 的最小值大于零即可. (1) 由题知 , ①若 ,则 ,当 或 时, ,当 时, , 在 , 上单调递增,在 上单调递减; 第 22 页②若 ,则 , , 在 上单调递增; ③若 ,则 ,当 或 时, ,当 时, , 在 , 上单调递增,在 上单调递减. 综上所述,当 时, 的单调增区间为 , ,单调减区间为 ;当 时, 的单调增区间为 ;当 时, 的单调增区间为 , ,单调减区间为 . (2) 设 , 则 , 设 , 则 , 设 , 则 , 在 上单调递增, , 在 上单调递增, , 当 时, , 在 上单调递增, ; 当 时, , 令 ,则 , 所以 在 上单调递增, 所以 ,所以 , 所以 , 设 ,易知 在 上单调递增, ,即 , ∴存在 ,使 , 第 23 页当 时, , 在 上单调递减,此时, ,不符合题意; 综上,存在实数a,使得当 时, 恒成立,且实数a的取值范围为 . 【点睛】 关键点点睛:此题考查导数的综合应用,考查利用导数求函数的单调区间,考查利用导数解决不等式恒成立问题, 解题的关键是构造 ,无法判断导数的正负,经过 三次求导后,再讨论判断导数的正负,从而求出 的最小值,考查数学转化思想和计算能力,属于难题. 16.(1)答案见解析; (2)0. 【解析】 【分析】 (1)求出函数 的导数 ,结合定义域 ,分别讨论 ,由 的符号即可得到函数 的单调性; (2)先求出 ,然后通过二次求导可知存在 , ,使得 在 上递减,在 上递增,要使得 有两个零点,则必要条件为 ,求出k最小值为0,再证明充 分性即可得解. (1) 因为 ,定义域为 ,所以 , ① 时, ,即 在 单调递增; ② 时,当 时, ,所以 单调递增; 当 时, ,所以 单调递减. (2) 时, , 则 , 设 , ,所以 在 单调递增, 又因为 , , 所以存在 ,满足 ,即 ,化简得: ,解得 , , 当 时, ,即 ,则 单调递减; 第 24 页当 时, ,即 ,则 单调递增; 要使得 有两个零点,则必要条件为 , 即 ,即 , 因为 ,所以k最小值为0, 再证当 时, 有两个零点, 因为 , , , 所以存在 , ,满足 ,即此时 有两个零点. 综上所述,最小的k为0. 【点睛】 本题主要考查含参函数的单调性问题的求解,以及利用导数研究函数的零点问题,含参函数单调性讨论解题关键 是分段点的确定,利用导数研究函数的零点问题解题关键是通过导数判断函数的单调性以及结合零点存在性定理 确定零点存在的区间,考查学生处理导数问题的综合能力,属于较难题. 17.(1)答案见解析; (2)证明见解析. 【解析】 【分析】 (1)求出 的导数 ,分 , 两种情况讨论 大小0或小于0的不等式解集作答. (2)根据给定极值求出a值,再构建函数 ,利用导数证明 即可. (1) , , 当 时, 恒成立, 在 上单调递减; 当 时,由 得 ,当 时, , 单调递减, 当 时, , 单调递增, 综上,当 时, 在 上单调递减; 当 时, 在 上单调递减,在 上单调递增. (2) 因 在 处取得极值,又 ,则 ,即 ,解得 , 当 时, ,当 时, ,当 时, , 因此 是函数的极值点,即有 , ,则 ,令 , 第 25 页,令 , , 函数 ,即 在 上单调递增, , , 即 ,使得 ,有 ,则当 时, , 单调递减, 当 时, , 单调递增,于是得 , 显然函数 在 上单调递减, 当 时, ,因此 , 所以 . 【点睛】 思路点睛:函数不等式证明问题,将所证不等式等价转化,构造新函数,再借助函数的单调性、极(最)值问题处理. 18.(1)答案见解析 (2) 【解析】 【分析】 (1)利用导数法求函数单调性的步骤,再分 和 进行讨论即可求解; (2)根据(1)可知,当 时,函数 在 上单调递增,只要保证 即可求解. (1) 由题意可知, 的定义域为 , , 令 ,则 或 , 当 时,当 或 时, , 当 时, , 所以 在 和 上单调递增,在 上单调递减. 当 时,当 或 时, , 当 时, , 所以 在 和 上单调递减,在 上单调递增. 综上所述,当 时,所以 在 和 上单调递增,在 上单调递减.;当 时,所以 第 26 页在 和 上单调递减,在 上单调递增. (2) 当 时,由(1)可知, 在 上单调递增, 若函数没有零点,则 所以实数 的取值范围为 . 19.(1) ; (2)单调区间见解析; (3) 【解析】 【分析】 (1)求出函数在 处的导数,即可得到切线方程; (2)求出 的导数,讨论参数 的范围,根据 的符号,写出单调区间; (3)将函数图象的位置关系转化为函数的最值问题,根据(2)中的单调区间,求函数的最值即可. (1) ,所以 , ,则切线方程为 . (2) , , 当 时, ,则 在 上为增函数; 当 时, ,即 ,则 在 上为增函数, 上为减函数. 综上所述,当 时,则 的单调递增区间为 ,无单调递减区间; 当 时,则 的单调递增区间为 ,单调递减区间为 . (3) 函数 的图象恒在 的图象的下方,即 恒成立; 由(2)知,当 时,则 在 上为增函数,此时 无最大值,事实上 ,不合题意; 当 时, 在 上为增函数, 上为减函数. 所以 ,故 ; 即实数a的取值范围是 20.(1)最大值为3,最小值为0 第 27 页(2)答案见解析. 【解析】 【分析】 (1)对函数求导,判断函数的单调性,根据单调性求函数的最值; (2)对函数求导,求出导函数的零点为 ,对两根的大小进行分类讨论,根据导函数的值的符号,得到 函数的单调区间. (1) 解:(1)当 时, , ,令 得, 或 . 当 在区间 上变化时, 的变化情况如下表 (1,2) 2 (2,3) - 0 + 单调递减 0 单调递增 因为 ,所以 在区间 上的最大值为3,最小值为0. (2) (2) , 令 得, 或 , 当 时, , 的单调递增区间为 ,无单调递减区间; 当 时, ,随着 的变化, 的变化情况如下表 a + 0 - 0 + 单调递增 单调递减 0 单调递增 所以 的单调递增区间为 , ; 的单调递减区间为 . 当 时, ,随着 的变化, 的变化情况如下表 第 28 页a ) + 0 - 0 + 单调递增 0 单调递减 单调递增 所以 的单调递增区间为(-∞, a),( ,+∞); 的单调递减区间为(a, ). 综上所述:当 时,所以 的 的单调递增区间为 ,无单调递减区间. 当 时, 的单调递增区间为 , ; 的单调递减区间为 . 当 时, 的单调递增区间为 , ; 的单调递减区间为 . 21.(1)见解析 (2) 【解析】 【分析】 (1)求导,分 和 两种情况讨论,根据导数的符号即可得出答案; (2)由(1)可得函数的单调区间,当 时, ,要使 有两个不同的零点,只要 即可,解之即可得解. (1) 解:函数 的定义域为 , , 当 时, , 所以函数 在 上递增, 当 时,当 时, ,当 时, , 所以函数 在 上递减,在 上递增, 综上所述,当 时,函数 的单调区间为 ; 当 时,函数 的单调增区间为 ,单调减区间为 ; (2) 第 29 页解:由(1)得, 当 时,函数 在 上递增, 所以函数 最多一个零点, 故 不符题意; 当 时,函数 在 上递减,在 上递增, 所以 , 又当 时, ,当 时, , 因为 有两个不同的零点, 所以 ,解得 , 综上所述, 的取值范围为 . 22.(1)单调递增区间为 ,单调递减区间为 (2) 【解析】 【分析】 (1)求导,令 ,解得 ,分别分析 和 上 的正负,可得 的单调区间. (2)由(1)知: 在 上单调递增,可得 ,分别讨论 、 、 和 时, 的正负,可得 的单调性,进而可判断 有无极小值,综合即可得答案. (1) 由题知: , 令 ,解得 , 当 时, ;当 时, , 所以 的单调递增区间为 ,单调递减区间为 (2) 由(1)知: 在 上单调递增, 所以 第 30 页(i)当 ,即 时, , 所以 ,则 令 ,所以 , 令 ,得 ;令 ,得 ; 所以 在区间 单调递减,在区间 单调递增; 又因为 , ,所以 ; 所以 在 上单调递减, 无极值 (ii)当 ,即 时, , 所以 ,则 , 令 ,所以 , 因为 ,所以 ①当 ,即 时,则 , 所以 在区间 单调递增,所以 所以 在 上单调递增, 无极值 ②当 ,即 时, 令 ,得 , 所以当 时, , 在区间 单调递减; 当 时, , 在区间 单调递增; 又因为 , , 所以存在 使得 所以 在 上单调递减,在 上单调递增 所以 在 上有极小值 (iii)当 时,因为 在 上单调递增,且 , , 第 31 页所以存在 使得 , 所以当 时, ;当 时, , 所以函数 , 所以 , 设 ,则 , 所以 在 上单调递减 所以 ,即当 时, , 所以 在 上单调递减,在 上单调递增, 所以 在 上有极小值, 综上,a的取值范围是 【点睛】 解题的关键是熟练掌握利用导数求函数单调区间,极(最)值的方法,并灵活应用,难点在于,需讨论a不同范 围下, 的正负,如无法直接得到,则需构造函数,并再次求导进行求解,考查分析理解,分类讨论能能力, 属难题. 23.(1)极大值为 ,极小值为 (2)答案见解析 【解析】 【分析】 (1)对于函数求导后,利用导数的正负求得函数的单调性,从而求得函数的极值;(2)对函数求导后,对参数 分情况讨论,利用导数的正负求得函数的单调性. (1)当 时, ,则 ,令 ,解得 或2,当 或 时, , 单调递增;当 时, , 单调递减,故函数 的单调递增区间为 , ;函数 的单调递减区间为 .所以 的极大值为 ,极小值为 . (2)∵ , ∴ ,当 时, 时, ; 时, ;即增区间为 ,减区间为 ;当 , 时, ; 时, ;即增区间为 和 ,减区间为 ;当 时, 在 上恒成立,即增区间为 ;当 时, 时, ; 时, ;即增区间为 和 ,减区间为 ;综上所述:当 时,增区间为 ,减区间为 ; 第 32 页当 时,增区间为 和 ,减区间为 ;当 时,增区间为 ,无减区间;当 时,增区 间为 和 ,减区间为 . 24.(1)当 时, 在R上单调递增;当 时, 在 上单调递减,在 上单调递增 (2) 【解析】 【分析】 (1)求导分 和 两种情况求解即可; (2)由(1)将原不等式转化为 有解,即 有解,再构造函数 ,求导分 析最小值即可 (1) 当 时, , ,当 时, , 在R上单调递增;当 时,令 有 ,当 时, , 单调递减,当 时, , 单调递 增. (2) 当 时,由(1)若 ,则 有解即可,即 有解,即 有解,设 ,则 ,故当 时, , 单调递减;当 时, , 单调 递增.故 ,故当 .故b的最小值为 【点睛】 本题主要考查了利用导数分析函数的单调性问题,同时也考查了根据函数的单调性分析参数最值的问题,需要理 解求函数的最大值或最小值与参数的关系,属于中档题 25.(1)答案见解析 (2) 【解析】 【分析】 (1)对 求导,讨论a<0,a=0,a>0,求出 , ,即可求出 的单调性. (2)解法一:当a>0时,由(1)得 ,所以当k≥0时, 成立,当k<0时, ,令 , 即可. 解法二:由(1)知,当a>0时, 问题转化为 , , ,即求解 即可. (1) . ①当a<0时, 第 33 页令 得x<a或x>0,所以 在 和 上单调递增, 令 得 ,所以 在 上单调递减; ②当a=0时, ,所以 在 上单调递增. ③当a>0时, 令 得x<0或x>a,所以 在 和 上单调递增, 令 得 ,所以 在 上单调递减. 综上所述: 当a<0时, 在 和 上单调递增,在 上单调递减; 当a=0时, 在 上单调递增; 当a>0时, 在 和 上单调递增,在 上单调递减. (2) 解法一:当a>0时,由(1)得: , ,且 ,所以 , 当k≥0时, ,符合题意; 当k<0时, , 即 得 , 令 ,得 , 令 得 ,若 ,即 , 则当 时, ,所以 在 上单调递增; 所以 ,不符合题意; 若 ,即 ,则 , 在 上单调递减. 所以 ,成立.综上所述: . 解法二: 由(1)知,当a>0时, , , , 所以问题转化为 , , 即 , 第 34 页令 , , 令 , , 令 , , 若 ,则当a>0时, ,所以 在 上单调递增, 所以 ,即 ,所以 在 上单调递增, 所以 ,即 ,所以 在 上单调递增, 所以 ,即 , . 若 ,则令 ,得 , 当 时, ,所以 在 上单调递减, 此时 ,即 ,所以 在 上单调递减, 所以 ,即 ,所以 在 上单调递减, 所以 ,即当 时, 不成立. 综上所述, . 26.(1)当 时,函数 的增区间为 ,减区间为 ;当 时,函数 的增区间为 ,减 区间为 (2) 【解析】 【分析】 (1)求导可得 ,讨论 的符号判断单调性;(2)根据题意可得 在 恒 成立,构建新函数求导,利用导数可得 ,分析求解. (1) 函数 的定义域为 ①当 时,令 ,可得 ,此时函数 的增区间为 ,减区间为 ②当 时,令 ,可得 ,此时函数 的增区间为 ,减区间为 第 35 页综上所述:当 时,函数 的增区间为 ,减区间为 ;当 时,函数 的增区间为 , 减区间为 (2) 在 恒成立,则 在 恒成立 即 在 恒成立 令 令 , , , ,则 在 上恒成立 在 上单调递增, 在 单调递增, 在 恒成立,则 的范围是 . 27.答案见解析 【解析】 【分析】 求 的定义域和导数,讨论参数a并确定 的符号,即可判断对应区间的单调性. 【详解】 函数 的定义域为 ,且 , ①若 ,显然 单调递增. ②若 ,令 ,有 ,且 , 当 时, , 单调递增; 第 36 页当 时, , 单调递减. ③若 ,则 , 单调递增, ④若 ,令 ,有 ,且 , 当 , , 单调递增; 当 时, , 单调递减; 当 时, , 单调递增. 综上,若 , 的增区间为 ,减区间为 ; 若 , 的增区间为 ; 若 , 的增区间为 , ,减区间为 . 28.答案见解析 【解析】 【分析】 求出 的解析式,可得其导数,讨论参数a的取值范围,判断导数的正负,可得函数的单调性. 【详解】 由已知可得 ,故可得 , 对于 ,当 时, , 当 时, , , 故当 时, ,故 在 单调递增; 当 时,由 ,解得 ,或 , 记 , ,则可知当 变化时, 的变化情况如下表: 0 0 递增 极大值 递减 极小值 递增 第 37 页所以,函数 在区间 单调递增,在区间 单调递减,在区间 单调递增. 29.(1) (2)答案见解析 【解析】 【分析】 (1)求得函数的导数,根据导数的几何意义即可求得切线方程; (2)求出函数的导数,分类讨论a的取值,判断导数的正负,从而确定函数的单调性. (1) 当 时, ,所以 , ,所以 , 所以函数 在 处的切线方程为 ,即 . (2) 的定义域为 , , 当 时, 恒成立,所以 在 上单调递减; 当 时, , 在 上, ,所以 单调递减; 在 上, ,所以 单调递增. 30.答案见解析 【解析】 【分析】 因为 ,导数的符号完全由二次三项式 决定,先按 的符号讨论,在 的 前提下,要考虑两根的大小以及是否在定义域内 【详解】 由 得,函数的定义域为 , 且 ,令 ,即 , ①当 ,即 时, 恒成立,则 所以 在 单调递增; 第 38 页②当 ,即 时,令 , 当 时, ,当 或 时, ;当 时, ,故 在 上单调递增,在 上单调递减; 当 时, ,当 时, ,当 时, 故 在 上单调递减,在 上单调递增. 综上,当 时, 在 单调递增; 当 时, 在 上单调递增,在 上单调递减; 当 时, 在 上单调递减,在 上单调递增 第 39 页第 40 页