当前位置:首页>文档>专题28.1锐角三角形函数与特殊角的三角函数值之九大考点(教师版)_初中数学_九年级数学下册(人教版)_重难点专题提优-V8

专题28.1锐角三角形函数与特殊角的三角函数值之九大考点(教师版)_初中数学_九年级数学下册(人教版)_重难点专题提优-V8

  • 2026-04-04 11:38:36 2026-03-25 09:10:26

文档预览

专题28.1锐角三角形函数与特殊角的三角函数值之九大考点(教师版)_初中数学_九年级数学下册(人教版)_重难点专题提优-V8
专题28.1锐角三角形函数与特殊角的三角函数值之九大考点(教师版)_初中数学_九年级数学下册(人教版)_重难点专题提优-V8
专题28.1锐角三角形函数与特殊角的三角函数值之九大考点(教师版)_初中数学_九年级数学下册(人教版)_重难点专题提优-V8
专题28.1锐角三角形函数与特殊角的三角函数值之九大考点(教师版)_初中数学_九年级数学下册(人教版)_重难点专题提优-V8
专题28.1锐角三角形函数与特殊角的三角函数值之九大考点(教师版)_初中数学_九年级数学下册(人教版)_重难点专题提优-V8
专题28.1锐角三角形函数与特殊角的三角函数值之九大考点(教师版)_初中数学_九年级数学下册(人教版)_重难点专题提优-V8
专题28.1锐角三角形函数与特殊角的三角函数值之九大考点(教师版)_初中数学_九年级数学下册(人教版)_重难点专题提优-V8
专题28.1锐角三角形函数与特殊角的三角函数值之九大考点(教师版)_初中数学_九年级数学下册(人教版)_重难点专题提优-V8
专题28.1锐角三角形函数与特殊角的三角函数值之九大考点(教师版)_初中数学_九年级数学下册(人教版)_重难点专题提优-V8
专题28.1锐角三角形函数与特殊角的三角函数值之九大考点(教师版)_初中数学_九年级数学下册(人教版)_重难点专题提优-V8
专题28.1锐角三角形函数与特殊角的三角函数值之九大考点(教师版)_初中数学_九年级数学下册(人教版)_重难点专题提优-V8
专题28.1锐角三角形函数与特殊角的三角函数值之九大考点(教师版)_初中数学_九年级数学下册(人教版)_重难点专题提优-V8
专题28.1锐角三角形函数与特殊角的三角函数值之九大考点(教师版)_初中数学_九年级数学下册(人教版)_重难点专题提优-V8
专题28.1锐角三角形函数与特殊角的三角函数值之九大考点(教师版)_初中数学_九年级数学下册(人教版)_重难点专题提优-V8
专题28.1锐角三角形函数与特殊角的三角函数值之九大考点(教师版)_初中数学_九年级数学下册(人教版)_重难点专题提优-V8
专题28.1锐角三角形函数与特殊角的三角函数值之九大考点(教师版)_初中数学_九年级数学下册(人教版)_重难点专题提优-V8
专题28.1锐角三角形函数与特殊角的三角函数值之九大考点(教师版)_初中数学_九年级数学下册(人教版)_重难点专题提优-V8
专题28.1锐角三角形函数与特殊角的三角函数值之九大考点(教师版)_初中数学_九年级数学下册(人教版)_重难点专题提优-V8
专题28.1锐角三角形函数与特殊角的三角函数值之九大考点(教师版)_初中数学_九年级数学下册(人教版)_重难点专题提优-V8
专题28.1锐角三角形函数与特殊角的三角函数值之九大考点(教师版)_初中数学_九年级数学下册(人教版)_重难点专题提优-V8
专题28.1锐角三角形函数与特殊角的三角函数值之九大考点(教师版)_初中数学_九年级数学下册(人教版)_重难点专题提优-V8
专题28.1锐角三角形函数与特殊角的三角函数值之九大考点(教师版)_初中数学_九年级数学下册(人教版)_重难点专题提优-V8
专题28.1锐角三角形函数与特殊角的三角函数值之九大考点(教师版)_初中数学_九年级数学下册(人教版)_重难点专题提优-V8
专题28.1锐角三角形函数与特殊角的三角函数值之九大考点(教师版)_初中数学_九年级数学下册(人教版)_重难点专题提优-V8
专题28.1锐角三角形函数与特殊角的三角函数值之九大考点(教师版)_初中数学_九年级数学下册(人教版)_重难点专题提优-V8
专题28.1锐角三角形函数与特殊角的三角函数值之九大考点(教师版)_初中数学_九年级数学下册(人教版)_重难点专题提优-V8
专题28.1锐角三角形函数与特殊角的三角函数值之九大考点(教师版)_初中数学_九年级数学下册(人教版)_重难点专题提优-V8
专题28.1锐角三角形函数与特殊角的三角函数值之九大考点(教师版)_初中数学_九年级数学下册(人教版)_重难点专题提优-V8
专题28.1锐角三角形函数与特殊角的三角函数值之九大考点(教师版)_初中数学_九年级数学下册(人教版)_重难点专题提优-V8
专题28.1锐角三角形函数与特殊角的三角函数值之九大考点(教师版)_初中数学_九年级数学下册(人教版)_重难点专题提优-V8
专题28.1锐角三角形函数与特殊角的三角函数值之九大考点(教师版)_初中数学_九年级数学下册(人教版)_重难点专题提优-V8
专题28.1锐角三角形函数与特殊角的三角函数值之九大考点(教师版)_初中数学_九年级数学下册(人教版)_重难点专题提优-V8
专题28.1锐角三角形函数与特殊角的三角函数值之九大考点(教师版)_初中数学_九年级数学下册(人教版)_重难点专题提优-V8
专题28.1锐角三角形函数与特殊角的三角函数值之九大考点(教师版)_初中数学_九年级数学下册(人教版)_重难点专题提优-V8
专题28.1锐角三角形函数与特殊角的三角函数值之九大考点(教师版)_初中数学_九年级数学下册(人教版)_重难点专题提优-V8
专题28.1锐角三角形函数与特殊角的三角函数值之九大考点(教师版)_初中数学_九年级数学下册(人教版)_重难点专题提优-V8
专题28.1锐角三角形函数与特殊角的三角函数值之九大考点(教师版)_初中数学_九年级数学下册(人教版)_重难点专题提优-V8
专题28.1锐角三角形函数与特殊角的三角函数值之九大考点(教师版)_初中数学_九年级数学下册(人教版)_重难点专题提优-V8
专题28.1锐角三角形函数与特殊角的三角函数值之九大考点(教师版)_初中数学_九年级数学下册(人教版)_重难点专题提优-V8
专题28.1锐角三角形函数与特殊角的三角函数值之九大考点(教师版)_初中数学_九年级数学下册(人教版)_重难点专题提优-V8

文档信息

文档格式
docx
文档大小
3.995 MB
文档页数
40 页
上传时间
2026-03-25 09:10:26

文档内容

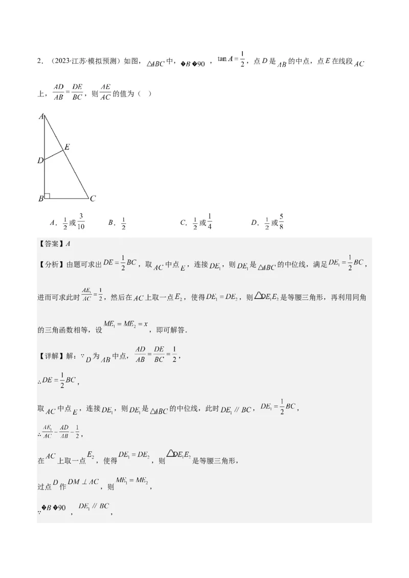
专题 28.1 锐角三角形函数与特殊角的三角函数值之九大考点 【考点导航】 目录 【典型例题】..................................................................................................................................................1 【考点一 正弦、余弦、正切的概念辨析】....................................................................................................1 【考点二 求角的正弦值】................................................................................................................................3 【考点三 求角的余弦值】................................................................................................................................6 【考点四 求角的正切值】................................................................................................................................9 【考点五 已知正弦值求边长】......................................................................................................................12 【考点六 已知余弦值求边长】......................................................................................................................14 【考点七 已知正切值求边长】......................................................................................................................16 【考点八 30°,45°,60°角的三角函数值】..........................................................................................19 【考点九 与特殊角的三函数有关的计算题】..............................................................................................20 【过关检测】...........................................................................................................................................22 【典型例题】 【考点一 正弦、余弦、正切的概念辨析】 例题:(2023·上海·九年级假期作业)如图,在 中, ,则下列关系正确的 是( ) A. B. C. D.【答案】D 【分析】根据三角函数的定义直接逐个判断即可得到答案; 【详解】解:由题意可得, ∵在 中, , , ∴ ,故A错误,不符合题意, ,故B错误,不符合题意, ,故C错误,不符合题意, ,故D正确,符合题意, 故选D. 【点睛】本题考查三角函数的定义,解题的关键是判断不同直角三角形中的直角边与斜边. 【变式训练】 1.(2023·上海·九年级假期作业)如图,在 中, , 为斜边 的高,D为垂足, 则下列结论中正确的是( ) A. B. C. D. 【答案】D 【分析】根据三角函数的定义计算判断即可. 【详解】解:A、由 ,故该项错误,不符合题意; B、由 ,故该项错误,不符合题意; C、由 ,故该项错误,不符合题意; D、由 ,故该项正确,符合题意; 故选D.【点睛】本题考查了三角函数,熟练掌握三角函数的基本定义是解题的关键. 2.(2023春·山西太原·九年级山西实验中学校考阶段练习)在 中, , ,垂 足为D,则下列式子中正确的是( ) A. B. C. D. 【答案】A 【分析】根据三角函数的定义直接逐个判断即可得到答案; 【详解】解:由题意可得, ∵在 中, , , ∴ ,故A正确,符合题意, ,故B错误,不符合题意, ,故C错误,不符合题意, ,故D错误,不符合题意, 故选A. 【点睛】本题考查三角函数的定义,解题的关键是判断不同直角三角形中的直角边与斜边. 【考点二 求角的正弦值】 例题:(2023秋·重庆沙坪坝·九年级重庆市第七中学校校考阶段练习)如图, 中, , , ,则 的值为 . 【答案】 【分析】先根据勾股定理求出 ,再根据正弦函数的定义计算即可.【详解】∵ 中, , , , ∴ , ∴ , 故答案为: . 【点睛】本题考查了勾股定理以及正弦函数的知识,结合图形,理解 ,是解答本题的关键. 【变式训练】 1.(2021春·湖北武汉·九年级校考自主招生)在下列网格中,小正方形的边长均为1 ,点 都在 网格的顶点上,求 . 【答案】 【分析】作 交 的延长线于 ,作 交 于 ,由题意可得 , , , ,由 可得 ,再由正弦的定义进行计算即可得到答 案. 【详解】解:如图,作 交 的延长线于 ,作 交 于 , 则 , , , , , ,, , , , 故答案为: . 【点睛】本题考查了锐角三角形函数、勾股定理、三角形面积公式,熟练掌握以上知识点,添加适当的辅 助线是解此题的关键. 2.(2023秋·全国·九年级专题练习)在 中, ,点D是直线 上一点,若 , , 的值为 【答案】 或 【分析】分两种情况:点D在线段 上,点D在线段 的反向延长线上,分别画出图形,进行求解即 可. 【详解】解:如图1,点D在线段 上,过点A作 于点E,过点B作 于点F, 在 中, , , ∴ , ∵ , ∴ , ∴ ,∵ , ∴ , ∴ , ∵ , ∴ , ∴ ; 如图2,点D在线段 的反向延长线上,过点A作 于点E,过点B作 于点F, 在 中, , , ∴ , ∵ , ∴ , ∴ , ∵ , ∴ , ∴ , ∵ , ∴ , ∴ ;综上可知, 的值为 或 . 故答案为: 或 【点睛】此题考查了求锐角三角函数、勾股定理、含 角的直角三角形等知识,分类讨论是解题的关键. 【考点三 求角的余弦值】 例题:(2023秋·重庆九龙坡·九年级重庆市育才中学校考阶段练习)如图,在 中, , , , 于点D,则 的值为 . 【答案】 【分析】根据勾股定理求出 ,通过证明 ,即可得出 . 【详解】解:∵ , , , ∴ , ∵ , ∴ , ∵ , ∴ , ∴ , 故答案为: . 【点睛】本题主要考查了勾股定理,求余弦,解题的关键是掌握勾股定理的内容,以及等角的三角函数值 相等. 【变式训练】1.(2023秋·九年级课时练习)如图, 在网格内,则 . 【答案】 / 【分析】延长 到格点E,使 ,连接 ,取 的中点F,且点F在格点上,连接 ,证明 ,根据 ,得出 ,证明 ,得出 ,求出 ,即可得出 . 【详解】解:延长 到格点E,使 ,连接 ,取 的中点F,且点F在格点上,连接 ,如 图所示: ∵ , , ∴ , ∵ , ∴ , ∵ , , , ∴ , ∴ , ∵ ,∴在 中, , ∴ . 故答案为: . 【点睛】本题考查了等腰三角形三线合一,解直角三角形,三角形全等的判定和性质,勾股定理,正确构 造直角三角形是解题关键. 2.(2022春·九年级单元测试)(1)如图, 是 斜边上的高, , .则 的值是 ; (2)在 中, , 是角平分线, , ,则 . 【答案】 /0.8 /0.5 【分析】(1)先利用勾股定理可得 ,再根据直角三角形的性质可得 ,然后根据余弦的 定义即可得; (2)如图(见解析),根据特殊角的余弦值可得 ,从而可得 ,由此即可得. 【详解】解:(1) , , , , , 是 斜边上的高, , , , 故答案为: ; (2)如图,在 中, , 是角平分线, , ,, , , , , 故答案为: . 【点睛】本题考查了余弦,熟练掌握余弦的定义是解题关键. 【考点四 求角的正切值】 例题:(2023秋·黑龙江哈尔滨·九年级哈尔滨市萧红中学校考开学考试)在 中, , , ,则 的值为 . 【答案】 【分析】直接利用正切的定义求解. 【详解】解:在 中, , ∴ . 故答案为: . 【点睛】本题考查了锐角三角函数的定义:熟练掌握正弦、余弦和正切的定义是答题的关键. 【变式训练】 1.(2023秋·吉林长春·九年级统考期末)如图,在正方形网格中,点A、B、O都在格点上,那么 的值为 .【答案】1 【分析】连接 ,根据勾股定理可求出 , ,从而得出 ,则根据 勾股定理逆定理可得出 为直角三角形,且 ,最后根据正切的定义求解即可. 【详解】解:如图,连接 . 由图可知 , , , ∴ , ∴ 为直角三角形,且 , ∴ . 故答案为:1. 【点睛】本题考查勾股定理及勾股定理逆定理,正切的定义.正确的作出辅助线是解题关键. 2.(2023秋·黑龙江大庆·九年级校联考阶段练习)如图所示,在矩形 中,点 在 上,将矩形沿 直线 折叠,使点 落在 边上的点 处.若 , ,则 的值为 .【答案】 【分析】首先利用勾股定理求得 ,设 ,则 , ,在 中,由勾股定 理得, ,求出 ,再利用正切的定义求解. 【详解】解:∵四边形 为矩形, ∴ , , , 由翻折变换可知, , , 在 中,由勾股定理得, , ∴ , 设 ,则 , , 在 中,由勾股定理得, , 解得: , 即 , 在 中, , 故答案为: . 【点睛】本题主要考查矩形的折叠问题和锐角三角函数,解决问题的关键是分清折叠前后的对应关系,用 勾股定理建立方程. 【考点五 已知正弦值求边长】 例题:(2023·辽宁抚顺·统考三模)如图,在 中, , , ,则 的长 为( )A.1 B.2 C. D. 【答案】B 【分析】根据 , ,即可求解. 【详解】解:∵ , , , ∴ , 解得: , 故选:B. 【点睛】本题主要考查了已知正弦值求边长,解题的关键是熟练掌握直角三角形中的锐角的正弦等于该角 的对边与斜边之比. 【变式训练】 1.(2023秋·九年级课时练习)如图,在 中, , , ,则 的长为 ( ) A.6 B.8 C.10 D.12 【答案】B 【分析】先根据正弦函数得出 ,求出 ,再利用勾股定理求解即可.【详解】解:∵ , , , ∴ , ∴ , ∴ , 故选:B. 【点睛】本题考查了正弦函数,掌握三角函数的定义是解题的关键. 2.(2023秋·九年级课时练习)如图,在 中, , 交 的延长线于点 ,已知 , ,则 的长为( ) A. B. C. D.无法计算 【答案】C 【分析】根据三角形的外角的性质以及已知条件,可得 ,进而可得 ,根据正弦的 定义,即可求解. 【详解】解:∵ , ∴ , ∴ , ∵ , , ∴ , ∴ , 故选:C. 【点睛】本题考查了三角形的外角的性质,等角对等边,正弦的定义,熟练掌握以上知识是解题的关键.【考点六 已知余弦值求边长】 例题:(2023秋·黑龙江哈尔滨·九年级校考阶段练习)已知: 中, , , ,则 的长是( ). A.3 B.6 C.9 D.12 【答案】C 【分析】根据余弦的定义可得 ,再代入数据可得答案. 【详解】解:∵ , , , ∴ , ∴ , 故选C 【点睛】本题考查的是已知锐角的余弦求解边长,熟记三角函数的定义是解本题的关键. 【变式训练】 1.(2023秋·黑龙江大庆·九年级校联考阶段练习)如图,在 中,点D,E分别是边 的中点, 于点F, , ,则 的长为( ) A. B.4 C. D.8 【答案】C 【分析】由直角三角形斜边上中线的性质可求得 ,再由余弦定义即可求得结果. 【详解】解:∵D 、E分别是边 的中点, , ∴ , , ∴ ,∴ , 在 中, , ∴ ; 故选:C. 【点睛】本题考查了三角形中位线定理,直角三角形斜边上中线的性质,余弦函数,掌握这些知识是关键. 2.(2023·广西北海·统考模拟预测)如图,在直角梯形 中, , , ,且 , ,则下底 的长是( ) A. B. C. D. 【答案】C 【分析】根据题意得出 , ,然后可得 ,然后问 题可求解. 【详解】解:∵ , , ∴ , ∵ , , , ∴ , ∴ , ∴ ,即 , ∵ , , ∴ ; 故答案为 .【点睛】本题主要考查,已知余弦求边长,相似三角形的性质与判定,熟练掌握相似三角形的性质与判定 是解题的关键. 【考点七 已知正切值求边长】 例题:(2023·陕西咸阳·统考二模)如图,在 中, ,D是 的中点, , ,则 的长为( ) A.1 B.2 C.4 D.8 【答案】C 【分析】利用正切的定义求得 ,再根据中点的意义即可求解. 【详解】解:∵ , , , ∴ , ∴ , ∵D是 的中点, ∴ , 故选:C. 【点睛】本题考查了正切函数的定义,掌握“正切函数是直角三角形中,对边与邻边的比值”是解题的关 键. 【变式训练】 1.(2023·山东聊城·统考二模)在如图矩形 中,已知 丄 且 为 的中点, , ,则 等于( )A. B. C. D. 【答案】A 【分析】通过证得 ∽ ,根据对应边成比例求出 ,证明 根据对应边成比例 求出 即可. 【详解】解: , , , , , , , , , , , 为 的中点, , , , , , . 故选:A. 【点睛】本题考查了矩形的性质,三角形相似的判定和性质以及解直角三角形等,证得三角形相似是解题 的关键.2.(2023·江苏·模拟预测)如图, 中, , ,点D是 的中点,点E在线段 上, ,则 的值为( ) A. 或 B. C. 或 D. 或 【答案】A 【分析】由题可求出 ,取 中点 ,连接 ,则 是 的中位线,满足 , 进而可求此时 ,然后在 上取一点 ,使得 ,则 是等腰三角形,再利用同角 的三角函数相等,设 ,即可解答. 【详解】解: 为 中点, , ∵ , ∴ 取 中点 ,连接 ,则 是 的中位线,此时 , , , ∴ 在 上取一点 ,使得 ,则 是等腰三角形, 过点 作 ,则 , , , ∵, ∴ ∴ , ∵ ∴ 设 ,则 , , , , ∵ , ∴ ∵ , ∴ ∵ ∴ ∴ ∴ 故选:A. 【点睛】本题考查了三角形中位线的性质,平行线分线段成比例,等腰三角形的性质以及解直角三角形,根据 进行分情况求解是解题的关键. 【考点八 30°,45°,60°角的三角函数值】 例题:(2023秋·吉林长春·九年级统考期末) 的值等于( ) A. B. C. D. 【答案】B 【分析】根据特殊锐角60°的三角函数正弦值得出答案. 【详解】解: , 故选:B. 【点睛】本题考查特殊锐角的三角函数值,掌握特殊锐角的三角函数值是解题关键. 【变式训练】 1.(2023秋·黑龙江大庆·九年级校考阶段练习) 的值等于( ) A. B. C.1 D.3 【答案】A 【分析】根据特殊角的三角函数值解答. 【详解】解: . 故选:A. 【点睛】本题考查了特殊角的三角函数值,熟练掌握特殊角的三角函数值是解题关键. 2.(2023春·北京西城·九年级北京四中校考开学考试)计算: , . 【答案】 1 【分析】根据特殊角的三角函数值计算即可. 【详解】∵ , , 故答案为: ,1.【点睛】本题考查了特殊角的三角函数值,熟练掌握特殊角的函数值是解题的关键. 3.(2023春·九年级单元测试)在 中,若 ,则 的度数是 【答案】 【分析】根据非负数的性质求出 和 的度数,然后求出 的度数. 【详解】解:由题意得, 则 , ∴ 则 . 故答案为: . 【点睛】本题考查了特殊角的三角函数值,解答本题的关键是掌握几个特殊角的三角函数值. 【考点九 与特殊角的三函数有关的计算题】 例题:(2023秋·陕西西安·九年级校考阶段练习)计算: 【答案】 【分析】根据负整数指数幂,特殊角的三角函数值,零指数幂,进行计算即可求解. 【详解】解: . 【点睛】本题考查了实数的混合运算,熟练掌握负整数指数幂,特殊角的三角函数值,零指数幂是解题的 关键. 【变式训练】 1.(2023秋·福建泉州·九年级校考阶段练习)计算: .【答案】 【分析】根据二次公式的乘法,特殊角的锐角三角函数值,零指数幂,进行计算即可求解. 【详解】解: 【点睛】本题考查了实数的混合运算,熟练掌握二次公式的乘法,特殊角的锐角三角函数值,零指数幂是 解题的关键. 2.(2023秋·吉林长春·九年级校考阶段练习)计算: . 【答案】 【分析】首先计算零指数幂、负整数指数幂、特殊角的三角函数值,然后计算乘法,最后合并即可解题. 【详解】解: . 【点睛】本题考查实数的运算,解题的关键是掌握运算法则和运算顺序. 3.(2023·西藏·统考中考真题)计算: . 【答案】 【分析】根据负整数指数幂、零指数幂的运算法则,结合特殊角的三角函数值以及开立方的知识,计算即 可作答. 【详解】. 【点睛】本题主要考查了含特殊角的三角函数值的实数的混合运算,牢记特殊角的三角函数值,是解答本 题的关键. 【过关检测】 一、单选题 1.(2023·天津河西·天津市新华中学校考一模)计算 的结果为( ) A. B.1 C. D. 【答案】C 【分析】根据特殊角的三角函数值进行计算即可. 【详解】解: 故选:C. 【点睛】本题考查特殊角的三角函数值,熟记各特殊角的三角函数值是解答此题的关键. 2.(2023上·河北邢台·九年级校考期中)在 中, , , ,则下列三角函数值 不正确的是( ) A. B. C. D. 【答案】C 【分析】本题主要考查了三角函数的定义.根据正弦、余弦、正切的定义求解即可. 【详解】解: 中, , , , ∴ ,, , . 观察四个选项,选项C符合题意, 故选:C. 3.(2023上·山东聊城·九年级校联考阶段练习)在 中,若 ,则 是 ( ) A.等腰三角形 B.等边三角形 C.直角三角形 D.等腰直角三角形 【答案】A 【分析】根据特殊角的三角函数值可求出 ,即得出 是等腰三角形. 【详解】解:∵ , ∴ , , ∴ , ∴ 是等腰三角形. 故选A. 【点睛】本题考查特殊角的三角函数值,等腰三角形的判定.熟记特殊角的三角函数值是解题关键. 4.(2023上·吉林长春·九年级统考期中)如图,在 的正方形网格中,每个小正方形的边长均为1,每 个小正方形的顶点称为格点.点 、 、 、 均在格点上, 与 相交于点 ,则 的余弦值为 ( ) A. B. C. D. 【答案】C 【分析】作 于E,由 可证 ,则可得 ,由此可求出 的长, 再在 中根据面积法求出 的长,再根据勾股定理求出 的长,即可求出 的余弦值,由于 ,因此可得 的余弦值. 【详解】 作 于E, , , , , . 中 , . , , 解得 , . , . 故选:C 【点睛】本题主要考查了相似三角形的判定和性质、用面积法求直角三角形斜边上的高、勾股定理及余弦的定义.熟练掌握以上知识并且正确的作出辅助线是解题的关键. 5.(2023上·河北唐山·九年级统考期中)将正方体的一种展开图按如图方式放置在直角三角形纸片 上,则 的值等于( ) A.2 B. C. D. 【答案】B 【分析】本题考查的是求解锐角的正切,本题先利用平行线的性质把 转化到已知直角三角形中,从而 可得答案,熟练的利用平行线的性质进行等角的转换是解本题的关键. 【详解】解:如图,先标注顶点,∵ , ∴ , 在 中, , ∴ . 故选B. 二、填空题 6.(2023上·上海崇明·九年级校联考期中)在 中, , , ,那么 . 【答案】4 【分析】本题考查了余弦.熟练掌握: 是解题的关键.根据 ,计算求解即可.【详解】解:如图, ∵ , , , ∴ ,即 ,解得, , 故答案为:4. 7.(2023上·福建泉州·九年级福建省泉州第一中学校考阶段练习)在 中, ,已知 ,那么 的值是 . 【答案】 【分析】先设出三角形的三边,再利用余弦的定义求解即可. 【详解】解:∵在 中, , , ∴设 ,则 , ∴ . 故答案为: . 【点睛】本题考查了一个锐角的正弦与余弦值,解题关键是理解正弦与余弦的定义. 8.(2023上·河北邢台·九年级校考期中)如图,在 中, , ,点 在边 上,且,则 , . 【答案】 / 【分析】先由等腰三角形的性质和三角形外角性质可以求出 ,再利用 所对直角边是斜边的 一半,求出 ,由勾股定理得 ,最后由 即可求解. 【详解】解:∵ , ∴ , ∴ , ∵ , ∴ , 在 中,由勾股定理得: , ∴ , ∴ , 故答案为: , . 【点睛】此题考查了勾股定理, 所对直角边是斜边的一半,等腰三角形的性质,三角形外角性质,解 直角三角形,解题的关键熟练掌握以上知识的应用. 9.(2023上·山东威海·九年级山东省文登第二中学校联考阶段练习)在 中, , , ,则 边的长为 . 【答案】 或 / 或 【分析】作 于 ,根据“ ”,得出 ,计算出 、 ,根据勾股定理计算出 ,当 在 的内部时, ;当 在 的外部时, .分类讨论计 算即可. 【详解】如下图,作 于 , ∵ , , ∴ , 在 中, , , ∴在 中, , 当 在 的内部时, ; 当 在 的外部时, . 综上所述, 边的长为 或 . 故答案为: 或 . 【点睛】本题考查了三角函数、含 角的直角三角形的性质、勾股定理,熟练掌握知识点分类讨论、计 算是解题的关键. 10.(2023上·八年级课时练习)如图,在 中,直角边 , , 为斜边 上 的高,点E从点B出发,沿直线 以 的速度移动,过点E作 的垂线交直线 于点F,则点E 的运动时间 s时, .【答案】2或5 【分析】分点E沿着射线 运动和沿着射线 运动,两种情况,勾股定理和三角函数计算求解即可. 【详解】当点E沿着射线 运动时,如图, ∵ 中,直角边 , , 为斜边 上的高, ∴ , ∴ , ∵ , , ∴ , ∴ , ∵ , ∴ , 解得 , ∴ , ∵点E从点B出发,沿直线 以 的速度移动, ∴ ; 当点E沿着射线 运动时,如图,∵ 中,直角边 , , 为斜边 上的高, ∴ , ∴ , ∵ , , ∴ , ∴ , ∵ , ∴ , 解得 , ∴ , ∵点E从点B出发,沿直线 以 的速度移动, ∴ ; 故答案为:2或5. 【点睛】本题考查了三角函数的应用,勾股定理,熟练掌握勾股定理,正确选择三角函数是解题的关键. 三、解答题 11.(2023上·吉林长春·九年级校联考阶段练习)如图,在 中, , , .求 的大小和 的长. 【答案】 , 【分析】根据三角形内角和定理直接求出 ,利用三角函数求出 的长即可. 【详解】解: ; ∵ , ∴ ; 答: , . 【点睛】本题主要考查了三角形内角和定理,三角函数的定义,解题的关键是熟练特殊角的三角函数值. 12.(2023上·江苏无锡·九年级校考阶段练习)计算: (1) ; (2) . 【答案】(1) (2) 【分析】(1)先根据特殊角的三角函数值进行化简,然后再按照实数混合运算法则进行计算即可; (2)先根据绝对值的意义,负整数指数幂,特殊角的三角函数值,二次根式的性质进行化简,然后再进 行计算即可. 【详解】(1)解:; (2) . 【点睛】本题考查了实数的混合运算,解题的关键是熟练掌握绝对值的意义,负整数指数幂,特殊角的三 角函数值,二次根式的性质. 13.(2023上·山东泰安·九年级统考期中)求下列各式的值: (1) ; (2) . 【答案】(1) (2) 【分析】本题考查了特殊角锐角函数值的混合运算: (1)把特殊角的三角函数值代入进行计算,即可解答; (2)把特殊角的三角函数值代入进行计算,即可解答. 【详解】(1)解:. (2)解: . 14.(2023上·上海长宁·九年级上海市娄山中学校考期中)图,已知在 中, , ,点 为边 延长线上一点, 连接 .求 的正切值. 【答案】 【分析】本题主要考查解直角三角形,运用了三角函数概念,勾股定理和等腰三角形三线合一的性质. 【详解】解:过点A作 与 交点H. ∵在 中, , , ∴ , ∴ , .∵ , ∴ , ∴ , ∴ , 则 , 故答案为: . 15.(2023下·湖南株洲·九年级株洲二中校考自主招生)如图,已知 为半圆的直径,O为圆心,D是弧 的中点,四边形 的对角线 交于点E. (1)试判断: 成立吗?说明理由; (2)已知 , ,求 的值; (3)在(2)的条件下,求弦 的长. 【答案】(1)成立,证明见解析 (2) (3) 【分析】(1)在 与 中,有 ,根据相似三角形的判定, 它们相似; (2)由 ,可知 ,在 中,先由勾股定理求出 的值,再根据正弦 的定义求出 ,得出 的值; (3)求弦 的长, 的值已求,求出 的值即可,可以通过求 得出. 【详解】(1)解:成立, 理由如下: 为半圆的直径,∴ , ∵D是弧 的中点, ∴ , ∴ ; (2)解:在 中, ∵ , , , ∴ , ∴ , ∵ , ∴ , ∴ ; (3)解:∵ , ∴ , , ∴ , , , , . 【点睛】本题考查了相似三角形的判定与性质,三角函数,圆的相关知识,熟练掌握相关知识是解题关键. 16.(2023·广东湛江·统考二模)如图 是 直径,A是 上异于C,D的一点,点B是 延长线上 一点,连 、 、 ,且 .(1)求证:直线 是 的切线; (2)若 ,求 的值; (3)在(2)的条件下,作 的平分线 交 于P,交 于E,连 、 ,若 ,求 的值. 【答案】(1)见解析 (2) (3) 【分析】(1)连接 ,由 是 的直径可得 ,即 ,由 得到 ,又 ,从而 ,即 ,又 为半径得证直线 是 的切线; (2)易证 得到 ,设半径 ,则 , ,在 中, ,因此在 中, ; (3)由 可得 , ,在 中,根据 , , 求得 , ,根据 , ,证得 ,因此 , 变形得到 . 【详解】(1)证明:如图,连接 ,∵ 是 的直径, ∴ , ∴ , 又∵ , ∴ , 又∵ , ∴ , 即 , ∴ , 又∵ 为半径, ∴直线 是 的切线; (2)解:∵ , , ∴ , ∴ , 设半径 , ∵ , ∴ , , 在 中, , 在 中, ; (3)解:在(2)的条件下, , ∴ , ∴ ,在 中, , , 解得 , , ∵ 平分 , ∴ , 又∵ , ∴ , ∴ , ∴ . 【点睛】本题考查圆的相关知识,切线的判定,相似三角形的判定与性质,勾股定理,锐角三角函数,综 合运用各个知识是解题的关键.