当前位置:首页>文档>第八章立体几何(综合检测)一轮复习讲义2024年高考数学高频考点题型归纳与方法总结(新高考通用)参考答案_2.2025数学总复习_2024年新高考资料_1.2024一轮复习

第八章立体几何(综合检测)一轮复习讲义2024年高考数学高频考点题型归纳与方法总结(新高考通用)参考答案_2.2025数学总复习_2024年新高考资料_1.2024一轮复习

  • 2026-04-01 07:08:24 2026-03-26 15:14:35

文档预览

第八章立体几何(综合检测)一轮复习讲义2024年高考数学高频考点题型归纳与方法总结(新高考通用)参考答案_2.2025数学总复习_2024年新高考资料_1.2024一轮复习
第八章立体几何(综合检测)一轮复习讲义2024年高考数学高频考点题型归纳与方法总结(新高考通用)参考答案_2.2025数学总复习_2024年新高考资料_1.2024一轮复习
第八章立体几何(综合检测)一轮复习讲义2024年高考数学高频考点题型归纳与方法总结(新高考通用)参考答案_2.2025数学总复习_2024年新高考资料_1.2024一轮复习
第八章立体几何(综合检测)一轮复习讲义2024年高考数学高频考点题型归纳与方法总结(新高考通用)参考答案_2.2025数学总复习_2024年新高考资料_1.2024一轮复习
第八章立体几何(综合检测)一轮复习讲义2024年高考数学高频考点题型归纳与方法总结(新高考通用)参考答案_2.2025数学总复习_2024年新高考资料_1.2024一轮复习
第八章立体几何(综合检测)一轮复习讲义2024年高考数学高频考点题型归纳与方法总结(新高考通用)参考答案_2.2025数学总复习_2024年新高考资料_1.2024一轮复习
第八章立体几何(综合检测)一轮复习讲义2024年高考数学高频考点题型归纳与方法总结(新高考通用)参考答案_2.2025数学总复习_2024年新高考资料_1.2024一轮复习
第八章立体几何(综合检测)一轮复习讲义2024年高考数学高频考点题型归纳与方法总结(新高考通用)参考答案_2.2025数学总复习_2024年新高考资料_1.2024一轮复习
第八章立体几何(综合检测)一轮复习讲义2024年高考数学高频考点题型归纳与方法总结(新高考通用)参考答案_2.2025数学总复习_2024年新高考资料_1.2024一轮复习
第八章立体几何(综合检测)一轮复习讲义2024年高考数学高频考点题型归纳与方法总结(新高考通用)参考答案_2.2025数学总复习_2024年新高考资料_1.2024一轮复习
第八章立体几何(综合检测)一轮复习讲义2024年高考数学高频考点题型归纳与方法总结(新高考通用)参考答案_2.2025数学总复习_2024年新高考资料_1.2024一轮复习

文档信息

文档格式
docx
文档大小
1.843 MB
文档页数
11 页
上传时间
2026-03-26 15:14:35

文档内容

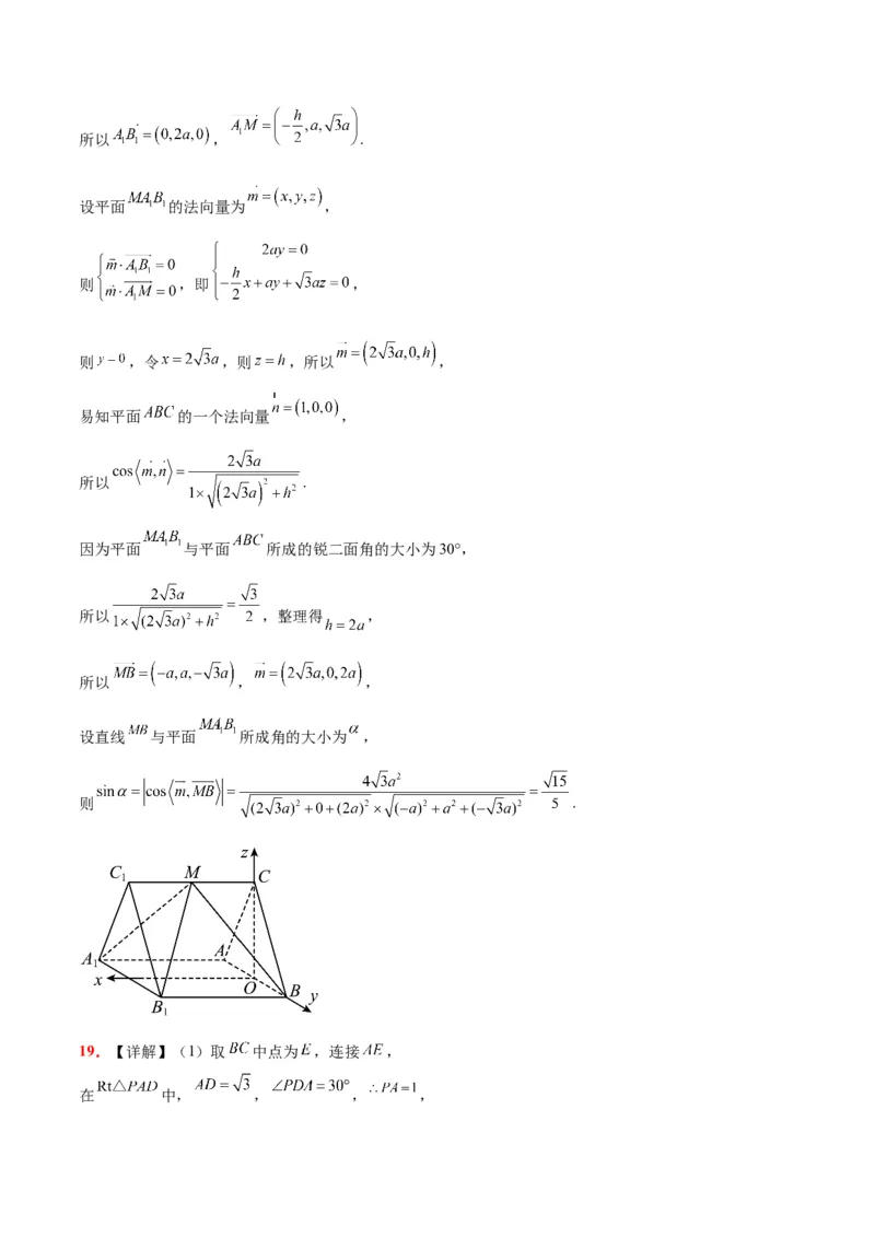
第八章 立体几何章末检测 参考答案 1.C 2.C 3.A 4.A 5.C 6.A 7.A 8.B 9.BD 10.ABC 11.BD 12.AD 13. 14. 15. 16.①④ 17.【详解】(1)证明:连接 ,∵在矩形 中, , 分别是 , 中点, ∴ , ,∴四边形 是平行四边形,∴ . ∵ 是 的中点,∴ . ∵ 平面 , 平面 , ∴ 平面 , 平面 . ∵ ,∴平面 平面 . ∵ 平面 ,∴ 平面 . (2)解:法一:∵ 平面 , ,∴ 平面 . 过 在平面 内,作 ,垂足为 ,则 . ∵ ,∴ 平面 ,∴ 长是点 到平面 的距离. 在矩形 中, 是 中点, , , .∴ . ∵ , ,∴ , 即点 到平面 的距离为 . 法二:设 到平面 的距离为 , 在矩形 中, , ,∴ . ∵ 平面 , 平面 ,∴ , ∵ ,∴ , , ∴ 的面积为 . ∵ 的面积为 , , ∴ ,∴ ,即点 到平面 的距离为 . 18.【详解】(1)解:(1)在正三棱柱 中,易知 , 因为 平面 , 平面 ,所以 平面 . 因为 平面 ,平面 平面 ,所以 . (2)(2)取 的中点 ,连接 ,易知 是正三角形,所以 . 又三棱柱 是正三棱柱,所以 平面 , 所以以 为坐标原点,过点 与 平行的直线为 轴, , 所在直线分别为 轴、 轴建立如图所示 的空间直角坐标系. 设 , ,则 , , , , , ,所以 , . 设平面 的法向量为 , 则 ,即 , 则 ,令 ,则 ,所以 , 易知平面 的一个法向量 , 所以 . 因为平面 与平面 所成的锐二面角的大小为30°, 所以 ,整理得 , 所以 , , 设直线 与平面 所成角的大小为 , 则 . 19.【详解】(1)取 中点为 ,连接 , 在 中, , , ,, ,所以 , 又 , ,而 ,所以 , 又 , , , 又 , , 平面 (2)存在点F是 的中点,使直线CF与平面PBC所成角的正弦值等于 . 以A为坐标原点,以 为x轴, 为y轴, 为z轴建立空间直角坐标系, 则 , , , ,设点 , 因为点F在线段 上,设 , , , 设平面 的法向量为 , , 则 ,令 ,则 设直线CF与平面 所成角为 , , 解得 或 (舍去), ,此时点F是 的中点,所以存在点F. 20.【详解】(1)取BE的中点O,连接PO,OF,因为 , ,线段AD,BC的中点分别为点E,F,所以 , , 又因为 ,所以 ,在等腰直角 中, , ,所以 平面PFO, 因为 平面PFO,所以 . (2)当四棱锥 体积最大时,点P在平面BCDE的射影即为点O,即 平面BCDE. 法一:以OB,OF,OP方向为x轴,y轴和z轴分别建立空间直角坐标系 .如图3. 则 , , , , 设平面PEC的法向量为 ,则 取 ,可得 易得平面ECB的一个法向量 所以 因为二面角 是锐角,所以二面角 的大小为 . 法二:在 中,因为 , , ,所以 . 在 中, , , ,所以 . 由二面角的定义可知,二面角 的平面角就是 .所以二面角 的大小为 .21.【详解】(1)取 中点 ,连接 , , 为 中点, ; , , ; 四边形 为菱形, , 为等边三角形, , 又 分别为 中点, , ,即 ; , 平面 , 平面 , 平面 , 平面 平面 . (2)连接 , 由(1)知: 为等边三角形, , ; 以 为坐标原点, 正方向为 轴,可建立如图所示空间直角坐标系,则 , , , , , , , ; 设 ,则 , , 轴 平面 , 平面 的一个法向量 , , 解得: (舍)或 ,即 , ; 由 得: , , 设平面 的法向量 , 则 ,令 ,解得: , , ; 轴 平面 , 平面 的一个法向量 , , ,即平面 与平面 所成二面角的正弦值为 . 22.【详解】(1)解法一:连接 交 于 ,连接 . 在四棱柱 中,易知四边形 为平行四边形, 所以 是 的中点, 在 中,因为 是 的中点,所以 . 又 平面 , 平面 ,所以 平面 . 解法二:作辅助线,找到过 且平行于平面 的一个平面 取 的中点 ,连接 , , , 因为 是 的中点,所以 , , 所以四边形 是平行四边形,所以 . 又 平面 , 平面 ,所以 平面 . 易知 , ,所以四边形 是平行四边形, 所以 .又 平面 , 平面 , 所以 平面 .又 ,所以平面 平面 . 又 平面 ,所以 平面 .(2)由(1)中解法二:知 为 的中点,连接 , 在 中, ,所以 . 又平面 平面 , 平面 ,平面 平面 , 所以 平面 . 在四棱柱 中,底面 是棱长为2的菱形, , 所以 . 由四棱柱 的体积为6,得 ,解得 . 连接 ,易知 为正三角形,因为 为 的中点,所以 , 所以 , , 两两垂直,故以 为坐标原点, , , 所在直线分别为 轴、 轴、 轴, 建立如图所示的空间直角坐标系 , 则 , , , , , 所以 , , ,设平面 的法向量为 , 则由 ,得 ,取 ,则 , ,得 . 设平面 的法向量为 , 则由 ,得 ,取 ,则 , ,得 . 所以 ,易知二面角 为锐二面角, 所以二面角 的余弦值为 .