当前位置:首页>文档>2025届高三化学一轮专题复习讲义(05)-专题二第一讲元素周期律与元素周期表_05高考化学_2025年新高考资料_一轮复习_2025届高三化学一轮专题复习讲义(完结)

2025届高三化学一轮专题复习讲义(05)-专题二第一讲元素周期律与元素周期表_05高考化学_2025年新高考资料_一轮复习_2025届高三化学一轮专题复习讲义(完结)

  • 2026-05-09 15:33:31 2026-03-27 01:12:55

文档预览

2025届高三化学一轮专题复习讲义(05)-专题二第一讲元素周期律与元素周期表_05高考化学_2025年新高考资料_一轮复习_2025届高三化学一轮专题复习讲义(完结)
2025届高三化学一轮专题复习讲义(05)-专题二第一讲元素周期律与元素周期表_05高考化学_2025年新高考资料_一轮复习_2025届高三化学一轮专题复习讲义(完结)
2025届高三化学一轮专题复习讲义(05)-专题二第一讲元素周期律与元素周期表_05高考化学_2025年新高考资料_一轮复习_2025届高三化学一轮专题复习讲义(完结)
2025届高三化学一轮专题复习讲义(05)-专题二第一讲元素周期律与元素周期表_05高考化学_2025年新高考资料_一轮复习_2025届高三化学一轮专题复习讲义(完结)
2025届高三化学一轮专题复习讲义(05)-专题二第一讲元素周期律与元素周期表_05高考化学_2025年新高考资料_一轮复习_2025届高三化学一轮专题复习讲义(完结)
2025届高三化学一轮专题复习讲义(05)-专题二第一讲元素周期律与元素周期表_05高考化学_2025年新高考资料_一轮复习_2025届高三化学一轮专题复习讲义(完结)
2025届高三化学一轮专题复习讲义(05)-专题二第一讲元素周期律与元素周期表_05高考化学_2025年新高考资料_一轮复习_2025届高三化学一轮专题复习讲义(完结)
2025届高三化学一轮专题复习讲义(05)-专题二第一讲元素周期律与元素周期表_05高考化学_2025年新高考资料_一轮复习_2025届高三化学一轮专题复习讲义(完结)
2025届高三化学一轮专题复习讲义(05)-专题二第一讲元素周期律与元素周期表_05高考化学_2025年新高考资料_一轮复习_2025届高三化学一轮专题复习讲义(完结)
2025届高三化学一轮专题复习讲义(05)-专题二第一讲元素周期律与元素周期表_05高考化学_2025年新高考资料_一轮复习_2025届高三化学一轮专题复习讲义(完结)
2025届高三化学一轮专题复习讲义(05)-专题二第一讲元素周期律与元素周期表_05高考化学_2025年新高考资料_一轮复习_2025届高三化学一轮专题复习讲义(完结)
2025届高三化学一轮专题复习讲义(05)-专题二第一讲元素周期律与元素周期表_05高考化学_2025年新高考资料_一轮复习_2025届高三化学一轮专题复习讲义(完结)

文档信息

文档格式
doc
文档大小
0.572 MB
文档页数
8 页
上传时间
2026-03-27 01:12:55

文档内容

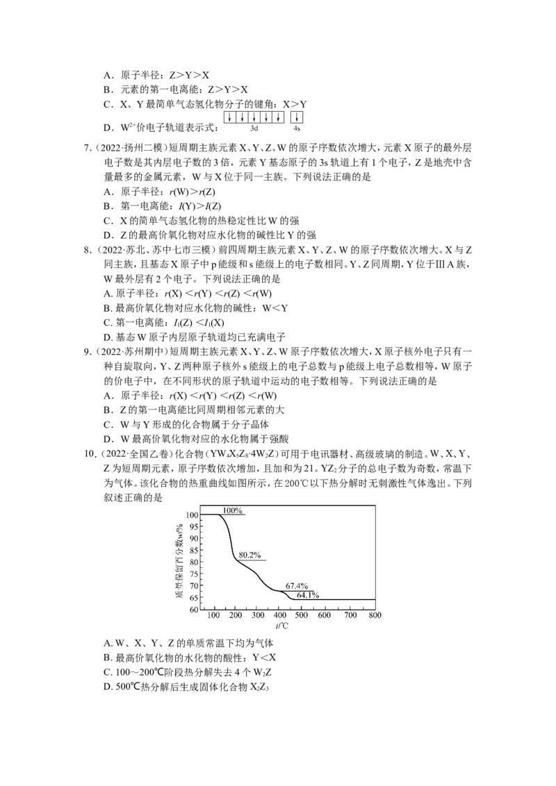
2025届高三化学一轮专题复习讲义(05) 专题二 物质结构 2-1 元素周期律与元素周期表(1课时) 【复习目标】 1.了解元素周期表(长式)的结构(周期、族)及其应用。掌握同一周期、同一主族元素的原 子结构与元素性质的递变规律。 2.理解元素(主族和零族)原子结构、在周期表中的位置、性质及其它们之间的关系。 3.知道化学键的含义。能用电子式、结构式和结构简式表示一些常见物质的结构。能识 别典型的离子化合物和共价化合物。 【重点突破】 1.同周期、同主族元素性质及其递变性规律。 2.“位——构——性”的推断及应用。 【真题再现】 例1.(2023·江苏卷)元素C、Si、Ge位于周期表中IVA族 。下列说法正确的是 A.原子半径:r(C) >r(Si) >r(Ge) B.第一电离能:I(C) <I(Si) <I(Ge) 1 1 1 C.碳单质、晶体硅、SiC均为共价晶体 D.可在周期表中元素Si附近寻找新半导体材料 解析:A项,同主族元素原子半径从上往下原子半径增大,故原子半径:r(C) < r(Si) < r(Ge),错误;B项,同周期主族元素,从上往下原子半径增大,更易失电子,第一电离能: I(C) > I(Si) > I(Ge),错误;C项,晶体硅、SiC均为共价晶体,碳单质中金刚石为共价 1 1 1 晶体,而石墨为混合晶体,C 为分子晶体,错误;D项,周期表中元素Si附近存在许多准 60 金属,可在其周围寻找半导体材料,正确。 答案:D 例2.(2022·江苏卷)工业上电解熔融Al O 和冰晶石(Na AlF)的混合物可制得铝。下列说法 2 3 3 6 正确的是 A.半径大小:r(Al3+) < r(Na+) B.电负性大小:χ(F)<χ(O) C.电离能大小:I(O) <I(Na) D.碱性强弱:NaOH<Al(OH) 1 1 3 解析:A项,核外电子数相同时,核电荷数越大,半径越小,故半径大小为r(Al3+)<r(Na+),正 确;B项,同周期元素核电荷数越大电负性越大,故χ(F)>χ(O),错误;C项,同周期从左 往右第一电离能呈增大趋势,同主族从上往下第一电离能呈减小趋势,故电离能大小为 I(O)>I(Na),错误;D项,元素金属性越强,其最高价氧化物对应水化物的碱性越强,故 1 1 碱性强弱为NaOH >Al(OH) ,错误。 3 答案:A 【知能整合】 1.金属性、非金属性强弱的判断方法 INCLUDEPICTURE "E:\\2020赵瑊\\二轮\\大二轮 化学 通用\\word\\W440.TIF" \* MERGEFORMATINET INCLUDEPICTURE "E:\\2020赵瑊\\二轮\\大二轮 化学 通用\\word\ \W440.TIF" \* MERGEFORMATINET INCLUDEPICTURE "E:\\2020赵瑊\\二轮\\大二轮 化 学 通用\\word\\W440.TIF" \* MERGEFORMATINET INCLUDEPICTURE "G:\\盐城二轮\\全 书完整的Word版文档\\W440.TIF" \* MERGEFORMATINETINCLUDEPICTURE "E:\\2020赵瑊\\二轮\\大二轮 化学 通用\\word\\W441.TIF" \* MERGEFORMATINET INCLUDEPICTURE "E:\\2020赵瑊\\二轮\\大二轮 化学 通用\\word\ \W441.TIF" \* MERGEFORMATINET INCLUDEPICTURE "E:\\2020赵瑊\\二轮\\大二轮 化 学 通用\\word\\W441.TIF" \* MERGEFORMATINET INCLUDEPICTURE "G:\\盐城二轮\\全 书完整的Word版文档\\W441.TIF" \* MERGEFORMATINET 2.同周期、同主族元素性质的递变规律 性质 同周期(自左而右) 同主族(自上而下) 金属性 减弱 增强 非金属性 增强 减弱 最高正价升高 (O、F除 主要化合价 最高正价相同 (O、F除外) 外) 最高价氧化物对应水 酸性增强;碱性减弱 酸性减弱;碱性增强 化物的酸、碱性 非金属气态氢化物的 增强 减弱 稳定性 原子半径 减小 增大 电负性 增强 减弱 增大趋势(IIA族与IIIA 第一电离能 减小 族、VA族与VIA反常) 例3.(2021·江苏卷)前4周期主族元素X、Y、Z、W的原子序数依次增大,X是空气中含量最 多的元素,Y的周期序数与族序数相等,基态时Z原子3p原子轨道上有5个电子,W与 Z处于同一主族。下列说法正确的是 A.原子半径:r(X)<r(Y)<r(Z)<r(W) B.X的第一电离能比同周期相邻元素的大 C.Y的最高价氧化物对应水化物的酸性比Z的强 D.Z的简单气态氢化物的热稳定性比W的弱 解析:前4周期主族元素X、Y、Z、W的原子序数依次增大,X是空气中含量最多的元素,则 X为N元素;Y的周期序数与族序数相等,则Y为Al;基态时Z原子3p原子轨道上有5 个电子,则Z为Cl;W与Z处于同一主族,则W为Br。A项,根据同周期从左到右原子 半径逐渐减小,同主族从上到下原子半径逐渐增大,因此原子半径:r(X) <r(z) <r(y) <r(w),错误;B项,根据同周期从左到右第一电离能呈增大趋势,但N的2p处于半充满 状态,因此X(N)的第一电离能比同周期相邻元素的大,正确;C项,同周期元素原子序数 增大,其最高价氧化物对应水化物的酸性逐渐增强,则Al(OH) <HClO,错误;D项,同 3 4 主族原子序数增大,非金属性逐渐减弱,简单氢化物的稳定性逐渐减弱,所以Z的简单气态氢化物的热稳定性比W的强,错误。 答案:B 例4.(2021·江苏适应性)13Al、15P、16S、17Cl是周期表中的短周期主族元素。下列有关说法正 确的是 A.元素Al在周期表中位于第4周期ⅢA族 B.元素P的简单气态氢化物的化学式为PH 4 C.第一电离能:I(Al) <I(P) <I(S) 1 1 1 D.最高价氧化物的水化物的酸性:HPO <HSO <HClO 3 4 2 4 4 解析:A项,Al原子3个电子层,位于第3周期IIIA族,错误;B项,P原子最外层5个电子, 与氢原子共用三对电子,简单气态氢化物的化学式为PH ,错误;C项,同一周期,从左到 3 右,第一电离能呈现增大的趋势, VA族与VIA族反常,所以第一电离能:I(Al) <I(S) 1 1 <I(P),错误;D项,非金属性:P<S<Cl,酸性:HPO <HSO <HClO,正确。 1 3 4 2 4 4 答案:D 【知能整合】 元素在周期表位置的推导 依据 突破口 结论 周期序数等于主族序数的元素 H、Be、Al 根据元素 (短周期) 主族序数等于周期序数2倍的元素 C、S 在周期表 主族序数等于周期序数3倍的元素 O 中的特殊 周期序数等于主族序数2倍的元素 Li 位置推断 周期序数等于主族序数3倍的元素 Na 最高正价是最低负价绝对值3倍的元素 S 最高正价不等于主族序数的元素 O、F(无正价) 短周期中原子半径最小的元素 H 根据元素 短周期中原子半径最大的元素 Na (短周期) W与X是同主族的短周期元素,X的原子序数是W W是O,X是 在周期表 的2倍 S 中的特殊 最高正价与最低负价代数和为6的元素 Cl 位置推断 最高正价与最低负价代数和为4的元素 S 最高正价与最低负价代数和为2的元素 N、P 最高正价与最低负价代数和为0的元素 H、C、Si 短周期中金属性最强的元素 Na 根据金属 性、非金 非金属性最强的元素 F 属性推断 应用最广泛的半导体材料 Si 空气中含量最多的元素 N 根据含 地壳中含量最多的元素 O 量推断 地壳中含量最多的金属元素 Al Al、Al O、 2 3 既能与强酸反应又能与强碱反应的常见物质 Al(OH) 、 3 根据特殊 NaHCO 3 性质推断 形成化合物种类最多、其单质是硬度最大的物质的 C 元素 气态氢化物溶于水显碱性的元素 N密度最小的气体 H 2 气态氢化物能和它的氧化物在常温下反应生成该元 S 素的单质的元素 气态氢化物和最高价氧化物对应的水化物能反应生 N 成离子化合物的元素 同主族并且能够形成离子化合物的两种元素 H、Na 同周期的三种元素,最高价氧化物对应水化物两两 Na、Al、S(或 之间反应生成盐和水 Cl) 【体系再构】 【随堂反馈】 基础训练 1.镆(Mc)是115号元素,其原子核外最外层电子数是5。下列说法不正确的是 A.Mc的原子核外有115个电子 B.Mc是第七周期第VA族元素 C.Mc在同族元素中金属性最强D.Mc的原子半径小于同族非金属元素原子 2.下表是元素周期表的一部分,W、X、Y、Z为短周期主族元素,W与X的最高化合价之和为 8。下列说法错误的是 A.原子半径:W<X B.常温常压下,Y单质为固态 C.气态氢化物热稳定性:Z<W D.X的最高价氧化物的水化物是强碱 3.(2023·苏北七市一模)X、Y、Z、W、Q是原子序数依次增大且不超过20的主族元素。X是 地壳中含量最多的元素,Y基态原子核外s能级和p能级电子数相等,Z与X同主族,Q 的焰色试验呈紫色。下列说法正确的是 A.简单离子半径:Z>X>Y B.X的第一电离能比同周期的相邻元素的大 C.Z的简单气态氢化物的热稳定性比W的强 D.Q最高价氧化物对应水化物的碱性比Y的弱 4.(2023·苏锡常镇一模)短周期主族元素X、 Y、Z、W的原子序数依次增大,X与Z处于同 一主族,Y是短周期中电负性最大的元素,Z是同周期基态原子中未成对电子数最多的 元素,W的族序数是周期序数的2倍。下列正确的是 A.原子半径: r(X)<r(Y)B.Z的第一电离能比W的小 C.元素Z在周期表中位于第3周期VA族 D.X的简单气态氢化物的热稳定性比Z的弱 5.(2023·盐城二模)由SiCl 制备高纯SiH 的反应为SiCl +LiAlH 乙醚 SiH↑+LiCl+AlCl 。下 4 4 4 4 4 3 列说法正确的是 A.热稳定性:HCl>SiH B.离子半径:r(Li+)>r(H-) 4 C.第一电离能:I(Al)>I(Cl) D.共价键的极性:Si-Cl>Al-Cl 1 1 拓展训练 6.(2023·南通二模)X、Y、Z、W是原子序数依次增大的四种短周期元素。X和Y的基态原子 s能级电子总数均等于其p能级电子总数,Z原子的最外层电子数是Y原子最外层电子 数的2倍,W和X位于同一主族。下列说法不正确的是 A.Z单质可用于制作半导体材料 B.元素Z、W的最高价氧化物对应的水化物都是强酸 C.元素X的简单气态氢化物的热稳定性比W的强 D.简单离子半径:r(W)>r(X)>r(Y) 7.(2023·广东卷)化合物XYZ ME 可作肥料,所含的5种元素位于主族,在每个短周期均有 4 4 分布,仅有Y和M同族。Y的基态原子价层p轨道半充满,X的基态原子价层电子排布 式为nsn-1,X与M同周期,E在地壳中含量最多。下列说法正确的是 A.电负性:E>Y>Z B.氢化物沸点:M>Y>E C.第一电离能:X>E>Y D.YZ 和YE的空间结构均为三角锥形 3 8.(2023·湖南高考)日光灯中用到的某种荧光粉的主要成分为3W(ZX)·WY。已知:X、Y、 3 4 2 2 Z和W为原子序数依次增大的前20号元素,W为金属元素。基态X原子s轨道上的电 子数和p轨道上的电子数相等,基态X、Y、Z原子的未成对电子数之比为2︰1︰3。下列 说法正确的是 A.电负性:X>Y>Z>W B.原子半径:X<Y<Z<W C.Y和W的单质都能与水反应生成气体 D.Z元素最高价氧化物对应的水化物具有强氧化性 9.X、Y、Z、W为前四周期原子序数依次增大的四种元素,X、Y、Z的原子半径和最外层电子 数如下图所示。W的基态原子最外层只有1个电子且内层电子全部充满。下列说法正确 的是 A.第一电离能:X