当前位置:首页>文档>专题14大题突破——有机合成与推断(练习)(原卷版)_05高考化学_2025年新高考资料_二轮复习_上好课2025年高考化学二轮复习讲练测(新高考通用)3379109_主题六有机化学

专题14大题突破——有机合成与推断(练习)(原卷版)_05高考化学_2025年新高考资料_二轮复习_上好课2025年高考化学二轮复习讲练测(新高考通用)3379109_主题六有机化学

  • 2026-04-02 10:39:54 2026-03-27 13:59:33

文档预览

专题14大题突破——有机合成与推断(练习)(原卷版)_05高考化学_2025年新高考资料_二轮复习_上好课2025年高考化学二轮复习讲练测(新高考通用)3379109_主题六有机化学
专题14大题突破——有机合成与推断(练习)(原卷版)_05高考化学_2025年新高考资料_二轮复习_上好课2025年高考化学二轮复习讲练测(新高考通用)3379109_主题六有机化学
专题14大题突破——有机合成与推断(练习)(原卷版)_05高考化学_2025年新高考资料_二轮复习_上好课2025年高考化学二轮复习讲练测(新高考通用)3379109_主题六有机化学
专题14大题突破——有机合成与推断(练习)(原卷版)_05高考化学_2025年新高考资料_二轮复习_上好课2025年高考化学二轮复习讲练测(新高考通用)3379109_主题六有机化学
专题14大题突破——有机合成与推断(练习)(原卷版)_05高考化学_2025年新高考资料_二轮复习_上好课2025年高考化学二轮复习讲练测(新高考通用)3379109_主题六有机化学
专题14大题突破——有机合成与推断(练习)(原卷版)_05高考化学_2025年新高考资料_二轮复习_上好课2025年高考化学二轮复习讲练测(新高考通用)3379109_主题六有机化学
专题14大题突破——有机合成与推断(练习)(原卷版)_05高考化学_2025年新高考资料_二轮复习_上好课2025年高考化学二轮复习讲练测(新高考通用)3379109_主题六有机化学
专题14大题突破——有机合成与推断(练习)(原卷版)_05高考化学_2025年新高考资料_二轮复习_上好课2025年高考化学二轮复习讲练测(新高考通用)3379109_主题六有机化学
专题14大题突破——有机合成与推断(练习)(原卷版)_05高考化学_2025年新高考资料_二轮复习_上好课2025年高考化学二轮复习讲练测(新高考通用)3379109_主题六有机化学
专题14大题突破——有机合成与推断(练习)(原卷版)_05高考化学_2025年新高考资料_二轮复习_上好课2025年高考化学二轮复习讲练测(新高考通用)3379109_主题六有机化学
专题14大题突破——有机合成与推断(练习)(原卷版)_05高考化学_2025年新高考资料_二轮复习_上好课2025年高考化学二轮复习讲练测(新高考通用)3379109_主题六有机化学
专题14大题突破——有机合成与推断(练习)(原卷版)_05高考化学_2025年新高考资料_二轮复习_上好课2025年高考化学二轮复习讲练测(新高考通用)3379109_主题六有机化学
专题14大题突破——有机合成与推断(练习)(原卷版)_05高考化学_2025年新高考资料_二轮复习_上好课2025年高考化学二轮复习讲练测(新高考通用)3379109_主题六有机化学
专题14大题突破——有机合成与推断(练习)(原卷版)_05高考化学_2025年新高考资料_二轮复习_上好课2025年高考化学二轮复习讲练测(新高考通用)3379109_主题六有机化学
专题14大题突破——有机合成与推断(练习)(原卷版)_05高考化学_2025年新高考资料_二轮复习_上好课2025年高考化学二轮复习讲练测(新高考通用)3379109_主题六有机化学
专题14大题突破——有机合成与推断(练习)(原卷版)_05高考化学_2025年新高考资料_二轮复习_上好课2025年高考化学二轮复习讲练测(新高考通用)3379109_主题六有机化学
专题14大题突破——有机合成与推断(练习)(原卷版)_05高考化学_2025年新高考资料_二轮复习_上好课2025年高考化学二轮复习讲练测(新高考通用)3379109_主题六有机化学
专题14大题突破——有机合成与推断(练习)(原卷版)_05高考化学_2025年新高考资料_二轮复习_上好课2025年高考化学二轮复习讲练测(新高考通用)3379109_主题六有机化学
专题14大题突破——有机合成与推断(练习)(原卷版)_05高考化学_2025年新高考资料_二轮复习_上好课2025年高考化学二轮复习讲练测(新高考通用)3379109_主题六有机化学
专题14大题突破——有机合成与推断(练习)(原卷版)_05高考化学_2025年新高考资料_二轮复习_上好课2025年高考化学二轮复习讲练测(新高考通用)3379109_主题六有机化学
专题14大题突破——有机合成与推断(练习)(原卷版)_05高考化学_2025年新高考资料_二轮复习_上好课2025年高考化学二轮复习讲练测(新高考通用)3379109_主题六有机化学
专题14大题突破——有机合成与推断(练习)(原卷版)_05高考化学_2025年新高考资料_二轮复习_上好课2025年高考化学二轮复习讲练测(新高考通用)3379109_主题六有机化学
专题14大题突破——有机合成与推断(练习)(原卷版)_05高考化学_2025年新高考资料_二轮复习_上好课2025年高考化学二轮复习讲练测(新高考通用)3379109_主题六有机化学
专题14大题突破——有机合成与推断(练习)(原卷版)_05高考化学_2025年新高考资料_二轮复习_上好课2025年高考化学二轮复习讲练测(新高考通用)3379109_主题六有机化学
专题14大题突破——有机合成与推断(练习)(原卷版)_05高考化学_2025年新高考资料_二轮复习_上好课2025年高考化学二轮复习讲练测(新高考通用)3379109_主题六有机化学
专题14大题突破——有机合成与推断(练习)(原卷版)_05高考化学_2025年新高考资料_二轮复习_上好课2025年高考化学二轮复习讲练测(新高考通用)3379109_主题六有机化学
专题14大题突破——有机合成与推断(练习)(原卷版)_05高考化学_2025年新高考资料_二轮复习_上好课2025年高考化学二轮复习讲练测(新高考通用)3379109_主题六有机化学
专题14大题突破——有机合成与推断(练习)(原卷版)_05高考化学_2025年新高考资料_二轮复习_上好课2025年高考化学二轮复习讲练测(新高考通用)3379109_主题六有机化学
专题14大题突破——有机合成与推断(练习)(原卷版)_05高考化学_2025年新高考资料_二轮复习_上好课2025年高考化学二轮复习讲练测(新高考通用)3379109_主题六有机化学
专题14大题突破——有机合成与推断(练习)(原卷版)_05高考化学_2025年新高考资料_二轮复习_上好课2025年高考化学二轮复习讲练测(新高考通用)3379109_主题六有机化学
专题14大题突破——有机合成与推断(练习)(原卷版)_05高考化学_2025年新高考资料_二轮复习_上好课2025年高考化学二轮复习讲练测(新高考通用)3379109_主题六有机化学
专题14大题突破——有机合成与推断(练习)(原卷版)_05高考化学_2025年新高考资料_二轮复习_上好课2025年高考化学二轮复习讲练测(新高考通用)3379109_主题六有机化学
专题14大题突破——有机合成与推断(练习)(原卷版)_05高考化学_2025年新高考资料_二轮复习_上好课2025年高考化学二轮复习讲练测(新高考通用)3379109_主题六有机化学
专题14大题突破——有机合成与推断(练习)(原卷版)_05高考化学_2025年新高考资料_二轮复习_上好课2025年高考化学二轮复习讲练测(新高考通用)3379109_主题六有机化学

文档信息

文档格式
docx
文档大小
3.748 MB
文档页数
30 页
上传时间
2026-03-27 13:59:33

文档内容

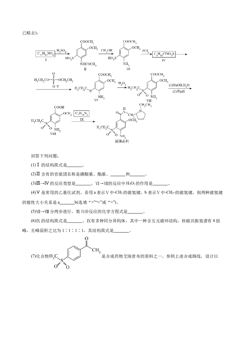
专题 14 大题突破——有机合成与推断 目录 01 模拟基础练 【题型一】化合物的命名或结构式的书写、官能团的辨别 【题型二】反应类型推断与有机反应方程式书写 【题型三】应用有序思维突破限定条件下同分异构体书写 【题型四】有机合成路线设计 02 重难创新练 03 真题实战练 题型一 化合物的命名或结构式的书写、官能团的辨别 1.(2024·陕西省高三第二次适应性测试,节选)化合物J是合成风湿性关节炎药物罗美昔布的一种中间 体,其合成路线如下: (1)A的化学名称是 ,C中官能团的名称是 。 (3)H中碳原子采取的杂化方式有 。 2.(2024·陕西省一模,节选)黄烷酮包括橙皮素、柚皮苷、圣草酚等,通常存在于各种柑橘类水果中。 化合物Ⅰ是一种具有多种药理学活性的黄烷酮类药物。由化合物A制备Ⅰ的合成路线如图:(1)A中官能团的名称为 。 (2)若B为乙酸则由A生成C的化学方程式为 。 (3)由C生成D的反应类型是 ,E的化学名称是 。 (4)Ⅰ的结构简式为 。 3.(2025·山西省高三联考,节选)化合物I(维生素A)是人体必需的维生素,在维持视觉功能、调节细 胞分化和凋亡、稳定上皮细胞形态和功能等方面发挥着重要作用。I的一种合成路线如下(略去部分试剂和 条件,忽略立体化学)。 (1)F中含氧官能团的名称为 。 (4)E分子中碳原子的杂化方式为 。 (7)I的结构简式为 。 4.(2025·甘肃省兰州市一模,节选)托伐普坦是一种治疗心血管疾病的药物,其前体(XII)的合成路线 如图(部分试剂和条件略去)。已知: 。 (3)Y的结构简式为 。 (4)V中官能团的名称为 。 (5)Ⅷ 和X→ 中使用NaHCO 的作用 (填“相同”或“不相同”)。 3 5.(2025·浙江省嘉兴市高三基础测试,节选)G是合成一种治疗胃食管反流疾病药物的关键中间体, 其合成过程如下。 已知:①② 不稳定,能快速异构化为 ③ 请回答: (1)CHBr(CHO) 中含氧官能团的名称是 。 2 (3)下列说法不正确的是_______。 A.在气态下,NH(CH) 的碱性强于CHNH 3 2 3 2 B.A→B的过程只有取代反应 C.F→G中SOCl 的作用是将-COOH变为-COCl,更易与NH(CH) 反应 2 3 2 D.G的分子式为C H NO 16 13 3 2 (4)化合物E的结构简式为 。 题型二 反应类型推断与有机反应方程式书写 6.(2024·广东省肇庆市一模,节选)某小组尝试以儿茶酚(邻苯二酚)为原料,按照以下流程合成某抗氧 化剂的中间体I: 已知: (1)化合物B的分子式为 。 (2)化合物F中的含氧官能团的名称为 ,E→F反应的化学方程式为 。 7.[新考法](2024·广东省肇庆市一模,节选)(5)对于化合物D( ),分析预测其可能的 化学性质,完成下表:序号 反应试剂、条件 反应生成新的物质 反应类型 ① H,催化剂、加热 2 ② 8.(2024·陕西省高三第二次适应性测试,节选)化合物J是合成风湿性关节炎药物罗美昔布的一种中间 体,其合成路线如下: (2)C→D的化学方程式为 。 (4)化合物E的结构简式 ,H→I的反应类型是 。 9.(2025·河北省市级联考高三期中,节选)异苯并呋喃酮类物质广泛存在。某异苯并呋喃酮类化合物H 的合成路线如下: 已知:ⅰ. 与 反应生成 ;ⅱ. ; ⅲ. 。 (3)E→F的反应类型是 。 (4)C→D的反应化学方程式是 。 10.(2025·山西省高三联考,节选)化合物I(维生素A)是人体必需的维生素,在维持视觉功能、调节细 胞分化和凋亡、稳定上皮细胞形态和功能等方面发挥着重要作用。I的一种合成路线如下(略去部分试剂和 条件,忽略立体化学)。 (2)由D生成E的反应类型为 。 (3)由G生成H的化学方程式为 。 11.[新题型](2025·山西省大同市高三联考,节选)向药物分子中引入三氟甲基(-CF )可以有效延长其在 3 生物体内的作用时间,增强代谢稳定性。氟他胺是一种抗肿瘤药,在实验室中由芳香烃A制备氟他胺的合 成路线如下所示:(1)氟他胺中含氧官能团的名称为 、 。 (2)反应④的反应类型是 。 (3)写出反应⑤的化学方程式: ;吡啶是一种有机碱,请推测其在反应⑤中的作用: 。 12.[新考法](2025·广东省四校高三第二次联考,节选)利用木质纤维素、CO 合成聚碳酸对二甲苯酚 2 的路线如下,回答下列问题: (6)参考Ⅶ生成Ⅷ的反应,以丙烯为唯一有机原料,合成 。基于你设计的合成路线,回答下列 问题: ①第二步反应的化学方程式为 (注明反应条件)。 ②最后一步反应的化学方程式为 (注明反应条件)。 题型三 应用有序思维突破限定条件下同分异构体书写 13.(2025·重庆市巴蜀中学高三适应性模拟,节选)(5)J( )的同分异构体中满足下列条件的有 种。 i.苯环上有四个取代基,包括-NO 和2个-CH 2 3 ⅱ.1mol该物质可以与4mol[Ag(NH )]OH反应 3 2 其中核磁共振氢谱的峰面积之比为3:1:1的化合物的结构简式为 (写出一个即可)。 14.(2025·浙江省嘉兴市高三基础测试,节选)(6)写出4种同时符合下列条件的化合物A( ) 的同分异构体的结构简式 。 ①核磁共振氢谱图显示有5组峰;红外光谱图显示没有氮氮单键。 ②除苯环外没有其他环且苯环上有三个取代基。 15.写出3种同时符合下列条件的化合物A( )的同分异构体的结构简式(不包括立体异构 体)_______。 ①分子中存在六元环; ②不与钠反应; ③H-NMR显示只有4种不同化学环境的氢原子 16.M为 的一种同分异构体,且M含有苯环。已知:1mol M与饱和碳酸氢钠溶液 充分反应能放出2mol二氧化碳。M可能的结构有_______种。若M与酸性高锰酸钾溶液反应生成对苯二甲 酸。M的结构简式为_______。 17.M与D( )互为同分构体,同时满足下列条件的M的结构有_______种。写出其 中任三种结构简式_______ a.能发生银镜反应,遇FeCl 显紫色。 3 b.结构中存在-NO 。 2 c.核磁共振氢谱显示有4组峰,峰面积之比为1:2:2:2。18.苯的二元取代物M是酮基布洛芬( )的同分异构体,则符合条件 的M有_______种(不考虑立体异构); ①分子中含有两个苯环,且两个取代基均在苯环的对位; ②遇FeCl 溶液显紫色; 3 ③能发生银镜反应; ④1mol M最多与3 mol NaOH反应。 其中不能与溴水发生加成反应的同分异构体的结构简式为_______ 。 19.(2025·陕西省一模,节选)(5)芳香化合物X是C( )的同分异构体,同时满足如下条件 的X有 种。 a.苯环上只有三个取代基,且甲基不与苯环直接相连 b.能与FeCl 3 溶液发生显色反应 c.1molX可与4molNaOH反应 其中核磁共振氢谱峰面积比为3∶2∶2∶1的X的结构简式是 、 (写出两种)。 20.(2025· 江浙皖高中发展共同体高三联考,节选)(4)E( )的一种同分异构体同时满 足下列条件,写出该同分异构体的结构简式: 。 ①含苯环,且分子中有一个手性碳原子;②能与浓溴水反应;③能发生水解反应,水解生成两种产物, 其中一种能与FeCl 溶液发生显色反应,另一种为α-氨基酸,且两种产物均含有4中不同化学环境的氢原 3 子。 21.(2025·山西省高三联考,节选)(8)M是化合物A( )的同分异构体,写出一种能 同时满足下列条件的M的结构简式 。 ①是苯的二取代物;②遇FeCl 溶液显色;③核磁共振氢谱有5组峰,且峰面积之比为9:6:2:2:1 322.化合物W的相对分子质量比化合物C大14,且满足下列条件的W的结构有_______种。其中核磁 共振氢谱图中有5组峰,峰面积比为2∶2∶2∶1∶1的结构简式为_______。 ①遇FeCl 溶液显紫色;②属于芳香族化合物;③能发生银镜反应。 3 23. 的一种同分异构体符合下列条件,写出该同分异构体的结构简式:_______ I.能使溴的CCl 溶液褪色,能与Na反应放出H,不能与NaHCO 溶液反应; 4 2 3 Ⅱ.分子中含一个五元碳环和3种化学环境不同的氢原子。 24.苯环上的一氯代物只有一种的A( )的同分异构体有_______种,写出其中任意一 种的结构简式_______。 25.(2022·河北省名校联盟高三联考节选)满足下列条件的A的芳香族同分异构体有_______种,其中苯 环上只有两个取代基的结构简式是_______。 ①能发生银镜反应; ②核磁共振氢谱共有三组峰,且峰面积之比为2∶2∶1。 题型四 有机合成路线设计 26.物质J是一种具有生物活性的化合物。该化合物的合成路线如下: 参照上述合成路线,以 和 为原料,设计合成 的路线 (无机试剂任选)。27.(2025·江苏省南京市六校联合体高三联考,节选)六羰基钼催化剂对于间位取代苯衍生物的合成至 关重要,一种化合物H的合成路线如下: (Ph-代表苯基) (5)写出以苯乙烯、苯甲酸、 为原料制备 的合成路线流程图 (无机试剂和有机溶剂任用,合成路线示例见本题题干)。 28.[新考法](2024·广东省肇庆市一模,节选)某小组尝试以儿茶酚(邻苯二酚)为原料,按照以下流程合 成某抗氧化剂的中间体I: 已知: (6)以 、乙炔以及HCN为原料(其他无机试剂任选)合成 。基 于你设计的合成路线,回答下列问题:①写出乙炔与 发生反应的产物: (写出结构简式)。 ②写出最后一步反应的化学方程式: 。 29.(2025·浙江省名校协作体高三测试,节选)某研究小组通过下列路线合成平喘药物利喘贝。 已知: ① ② ③ (5)C俗称香兰素,是一种重要的食品增香剂,设计以 和 为原料合成香兰素 的路线(用流程图表示,无机试剂任选) 30.(2025·浙江部分高中高三联考,节选)化合物H是合成某一天然产物的重要中间体,其合成路线如 下:已知: 。 (5)有机物X( )是一种医药中间体,设计以苯乙烯( )和光气(COCl)为原料 2 合成有机物X的路线(用流程图表示,无机试剂任选) 。 31.(2025·广东省汕尾市高三模拟)氯雷他定(G)是临床抗过敏药物,同时也是合成第三代抗组胺药物地 氯雷他定和卢帕他定的重要医药化工中间体,以下是一条条件温和的氯雷他定合成工艺,回答下列问题: 已知:ⅰ. ;Et代表 。 (1)试剂(CH)COH的化学名称为 。 3 3 (2)反应②中物质M含有的官能团 (写名称)。 (3)根据氯雷他定G的结构特征,分析预测其可能的化学性质,完成下表。 结构特征 反应的试剂、条件 反应形成的新结构 反应类型 加成反应 -COOEt NaOH溶液,加热 (4)B→C的化学反应方程式为 。 (5)有机物M( )经氢氧化钠溶液一定条件下水解、酸化后得到N(分子式为C HO),N的同分异构体中能使FeCl 溶液显紫色,核磁共振氢谱有4组峰,峰面积之比为3∶2∶2∶1的 7 8 2 3 是 。(任写1个) (6)在工业生产中,乙二醇可以通过环氧乙烷与水直接化合的方法合成。利用这种方法以 为原料制备 ,请写出最后一步反应的化学方程式 (注明反应条件);与其他方法 相比,这种方法的优点是 。 1.(2025·天津市滨海新区第二次联考)Q( )是一种重要有机合成中间体,工业上制备Q的流程 如下: (1)A的化学名称是 ,C→D的反应类型为 。 (2)D中含氧官能团的名称为 。 (3)X的结构简式为 。 (4)写出H→T的化学方程式(不必注明条件): 。 (5)化合物M是比C少3个碳的同系物,满足以下条件的M有 种。 ①能发生银镜反应 ②1molM能与2molNaOH溶液发生反应,生成两种产物,且产物之一能被催化氧化生成二元醛 其中核磁共振氢谱峰面积之比为1:2:3的结构简式为 。(6)已知: 。设计一条以 为原料制备化合物 的合成路线 (无机试剂任选)。 2.(2025·江苏省徐州市高三联考)G是合成盐酸伊伐布雷定的中间体,其合成路线如下: (1)B分子中的含氧官能团名称为 。 (2)X 的分子式为C HNOCl, 其结构简式为 。 5 6 3 2 (3)D→E 的反应类型为 。 (4)E→F 中加入KCO 是为了除去反应中产生的 。 2 3 (5)写出同时满足下列条件的A 的一种芳香族同分异构体的结构简式: 。 i.碱性条件下水解后酸化,生成M和N两种有机产物。 ii.M分子中含有一个手性碳原子; iii.N分子只有2种不同化学环境的氢原子,且能与FeCl 溶液发生显色反应。 3 (6)写出以 、CHCHOH和 为原料制备 的合成路线流程图 3 2 (无机试剂和有机溶剂任用,合成路线示例见本题题干)。 3.(2025·四川省成都市高三联考)磷酸氯喹可以抑制疟原虫的繁殖,从而减轻疟疾的症状和缩短疟疾的病程。查阅“磷酸氯喹”合成的相关文献,得到磷酸氯喹中间体合成路线如下: 已知:①氯原子为苯环的邻对位定位基,它会使第二个取代基主要进入它的邻对位;硝基为苯环的间 位定位基,它会使第二个取代基主要进入它的间位。 ②E为汽车防冻液的主要成分。 ③ 。 ④ 。 (1)第一电离能:C H(填“大于”、“小于”或者“等于”);写出B的名称 。 (2)C→D的反应类型为 ;D中含有的官能团的名称为 。 (3)写出H生成I的化学方程式 。 (4)L与足量H 完全加成后的产物中手性碳原子的数目为 。写出F与足量新制氢氧化铜反应的 2 离子反应方程式 。 (5)H有多种同分异构体,满足下列条件的有 种(不考虑立体异构)。 ①只含有两种含氧官能团 ②能发生银镜反应 ③1 该物质与足量的 反应生成0.5 H 2 (6)参照上述合成路线及信息,设计由硝基苯和 为原料合成 的路线(无机试 剂任选) 。 4.(2025·云南省昆明师大附中高三月考)以2-氰基-3-甲基吡啶(化合物A)为起始原料合成氯雷他定(化 合物H,一种治疗过敏性疾病的药物)的路线如下图:已知:① 具有类似苯的芳香性; ②RX+NaCN→RCN+NaX(X代表卤素)。 请回答下列问题: (1)A中碳原子的杂化方式有sp3、 , 的名称是 。 (2)A→B的目的是 ;D中含氧官能团的名称是 。 (3)已知:胺类分子中N原子电子密度越大,碱性越强。下列有机物中,碱性最弱的是 (填序 号)。 a. b. . d. (4)F与G生成H的反应称为麦克默里反应,指醛或酮偶联成为烯烃的反应,反应中除生成目标产物外, 还可能有副产物生成,则副产物为 (任写一种)。 (5)A的同分异构体中既具有芳香性又含有氰基(-CN)的有 种。其中,在核磁共振氢谱上有三组 峰且峰的面积比为1:1:1的结构简式为 (任写一种)。 (6)根据上述信息,设计以苯乙烯( )为原料制备化合物 的合成路线 (无 机试剂任选)。 5.(2024·山东省Eternal7社区高三模拟预测)氯雷他定(G)在我国一直作为临床一线的抗过敏药物使用,同时也是合成第三代抗组胺药物地氯雷他定和卢帕他定的重要医药化工中间体,以下是一条简洁稳定、条 件温和的氯雷他定合成工艺: 已知:i. ii. ( 代表CHCH ) 3 2- 请回答下列问题: (1)试剂(CH)COH的化学名称为 。 3 3 (2)A→B发生了 (填反应类型)、互变异构的转化。 (3)B→C的化学反应方程式为 。 (4)该工艺中设计反应①③的目的是 。 (5)反应E→F中除生成F外还有副产物H(有机物),H的结构简式为 。 (6)有机物M( )经氢氧化钠溶液水解、酸化后得到N,N的同分异构体中能使FeCl 3 溶液显紫色的有 种,其中核磁共振氢谱有4组峰且峰面积之比为3:2:2:1的是 (任写2个)。 (7)以 、 、中间体三环酮( )为原料也可制得氯雷他 定,写出合成路线 (无机试剂任选)。6.(2025· 浙江省杭州市浙南联盟高三10月联考)斑螯素具有良好的抗肿瘤活性,以下是合成斑蝥素的 路线之一: 已知:① ② (Diels-Alder反应) 请回答: (1)化合物A中含氧官能团的名称是 。 (2)化合物B的结构简式是 。 (3)下列说法不正确的是_______。 A.B→C和D→E的反应类型都是消去反应 B.化合物D的酸性弱于 C.化合物E在NaOH溶液中加热可转化为化合物D D.F的分子式为 (4)写出D与乙二醇发生缩聚反应的化学方程式 。 (5)去甲基斑螯素( )的疗效比斑螯素更好,副作用更小,请写出以 为原料制备去甲基斑螯 素的合成路线 (用流程图表示,无机试剂任选)。 (6)写出4种同时符合下列条件的斑螯素的同分异构体的结构简式 。 ①分子中含有苯环。 ② 谱和IR谱检测表明:分子中共有4种不同环境的氢原子,有酚羟基和酯基,无 及 键。7.(2025·浙江省强基联盟高三联考,节选)(5)写出满足下列条件的E(C HOF)的同分异构体的结构简 10 9 4 式 。 ①分子中除苯环外还有一个含两个氧原子的五元杂环 ②苯环上只有两个取代基 ③能与NaHCO 溶液反应生成二氧化碳 3 ④核磁共振氢谱图中只有4组吸收峰 1.(2024·福建卷,13,15分)软珊瑚素的关键中间体(L)的某合成路线如下。(不考虑立体异构) 已知:TBS和PMB为保护基团。 (1)B中官能团有碳碳双键、_______、_______。(写名称) (2)Ⅱ的反应类型为_______;BH-的空间结构为_______。 4 (3)Ⅲ的化学方程式为_______。 (4)Ⅳ的反应条件为_______。 (5)由J生成L的过程涉及两种官能团的转化,分别示意如下: ① ② K的结构简式为_______。 (6)Y是A的同分异构体,且满足下述条件。Y的结构简式为_______。 ①Y可以发生银镜反应。②Y的核磁共振氢谱有2组峰,峰面积之比为9:1。 2.(2024· 贵州卷,18,15分)氨磺必利是一种多巴胺拮抗剂。以下为其合成路线之一(部分试剂和条件已略去)。 回答下列问题: (1)Ⅰ的结构简式是 。 (2)Ⅱ含有的官能团名称是磺酸基、酯基、 和 。 (3)Ⅲ→Ⅳ的反应类型是 ,Ⅵ→Ⅶ的反应中HO 的作用是 。 2 2 (4)Ⅴ是常用的乙基化试剂。若用a表示Ⅴ中-CH 的碳氢键,b表示Ⅴ中-CH-的碳氢键,则两种碳氢键 3 2 的极性大小关系是a b(选填“>”“<”或“=”)。 (5)Ⅶ→Ⅷ分两步进行,第1)步反应的化学方程式是 。 (6)Ⅸ的结构简式是 。Ⅸ有多种同分异构体,其中一种含五元碳环结构,核磁共振氢谱有4组 峰,且峰面积之比为1∶1∶1∶1,其结构简式是 。 (7)化合物 是合成药物艾瑞昔布的原料之一。参照上述合成路线,设计以为原料合成 的路线 (无机试剂任选)。 3.(2024·甘肃卷,18)山药素-1是从山药根茎中提取的具有抗菌消炎活性的物质,它的一种合成方法 如下图: (1) 化合物I的结构简式为 。由化合物I制备化合物Ⅱ的反应与以下反应 的反应类型相同。 A. B. C. D. (2)化合物Ⅲ的同分异构体中,同时满足下列条件的有 种。 ①含有苯环且苯环上的一溴代物只有一种; ②能与新制Cu(OH) 反应,生成砖红色沉淀; 2 ③核磁共振氢谱显示有4组峰,峰面积之比为1:2:3:6。 (3)化合物Ⅳ的含氧官能团名称为 。 (4)由化合物Ⅴ制备Ⅵ时,生成的气体是 。 (5)从官能团转化的角度解释化合物VII转化为山药素-1的过程中,先加碱后加酸的原因 。 4.(2024·广东卷,20)将3D打印制备的固载铜离子陶瓷催化材料,用于化学催化和生物催化一体化技 术,以实现化合物Ⅲ的绿色合成,示意图如下(反应条件路)。(1)化合物I的分子式为 ,名称为 。 (2)化合物Ⅱ中含氧官能团的名称是 。化合物Ⅱ的某同分异构体含有苯环,在核磁共振氢谱图 上只有4组峰,且能够发生银镜反应,其结构简式为 。 (3)关于上述示意图中的相关物质及转化,下列说法正确的有_______。 A.由化合物I到Ⅱ的转化中,有 键的断裂与形成 B.由葡萄糖到葡萄糖酸内酯的转化中,葡萄糖被还原 C.葡萄糖易溶于水,是因为其分子中有多个羟基,能与水分子形成氢键 D.由化合物Ⅱ到Ⅲ的转化中,存在C、O原子杂化方式的改变,有手性碳原子形成 (4)对化合物Ⅲ,分析预测其可能的化学性质,完成下表。 序号 反应试剂、条件 反应形成的新结构 反应类型 ① ② 取代反应 (5)在一定条件下,以原子利用率100%的反应制备HOCH(CH )。该反应中: 3 2 ①若反应物之一为非极性分子,则另一反应物为 (写结构简式)。 ②若反应物之一为V形结构分子,则另一反应物为 (写结构简式)。 (6)以2-溴丙烷为唯一有机原料,合成CHCOOCH(CH )。基于你设计的合成路线,回答下列问题: 3 3 2 ①最后一步反应的化学方程式为 (注明反应条件)。 ②第一步反应的化学方程式为 (写一个即可,注明反应条件)。 5.(2024·山东卷,17,12分)心血管药物缬沙坦中间体(F)的两条合成路线如下:已知: I. Ⅱ. 回答下列问题: (1)A结构简式为_______;B→C反应类型为_______。 (2)C+D→F化学方程式为_______。 (3)E中含氧官能团名称为_______;F中手性碳原子有_______个。 (4)D的一种同分异构体含硝基和3种不同化学环境的氢原子(个数此为 ),其结构简式为_______。 (5)C→E的合成路线设计如下: 试剂X为_______(填化学式);试剂Y不能选用KMnO ,原因是_______。 4 6.(2024·安徽卷,18,14分)化合物1是一种药物中间体,可由下列路线合成(Ph代表苯基,部分反应 条件略去): 已知: i)ii) 易与含活泼氢化合物( )反应: ,HY代表HO、 2 ROH、RNH 、RC≡CH等。 2 (1)A、B中含氧官能团名称分别为_______、_______。 (2)E在一定条件下还原得到 ,后者的化学名称为_______。 (3)H的结构简式为_______。 (4)E→F反应中、下列物质不能用作反应溶剂的是_______(填标号)。 a. b. c. d. (5)D的同分异构体中,同时满足下列条件的有_______种(不考虑立体异构),写出其中一种同分异构体 的结构简式_______。 ①含有手性碳 ②含有2个碳碳三键 ③不含甲基 (6)参照上述合成路线,设计以 和不超过3个碳的有机物为原料,制备一种光刻胶单 体 的合成路线_______(其他试剂任选)。 7.(2024·河北卷,18,14分)甲磺司特(M)是一种在临床上治疗支气管哮喘、特应性皮炎和过敏性鼻炎 等疾病的药物。M的一种合成路线如下(部分试剂和条件省略)。回答下列问题: (1)A的化学名称为_______。 (2) 的反应类型为_______。 (3)D的结构简式为_______。 (4)由F生成G的化学方程式为_______。 (5)G和H相比,H的熔、沸点更高,原因为_______。 (6)K与E反应生成L,新构筑官能团的名称为_______。 (7)同时满足下列条件的I的同分异构体共有_______种。 (a)核磁共振氢谱显示为4组峰,且峰面积比为 ; (b)红外光谱中存在 和硝基苯基( )吸收峰。 其中,可以通过水解反应得到化合物H的同分异构体的结构简式为_______。 8.(2024·湖北卷,19,14分)某研究小组按以下路线对内酰胺F的合成进行了探索:回答下列问题: (1)从实验安全角度考虑,A→B中应连有吸收装置,吸收剂为 。 (2)C的名称为 ,它在酸溶液中用甲醇处理,可得到制备 (填标号)的原料。 a.涤纶 b.尼龙 c.维纶 d.有机玻璃 (3)下列反应中不属于加成反应的有 (填标号)。 a.A→B b.B→C c.E→F (4)写出C→D的化学方程式 。 (5)已知 (亚胺)。然而,E在室温下主要生成G ,原因 是 。 (6)已知亚胺易被还原。D→E中,催化加氢需在酸性条件下进行的原因是 ,若催化加氢时,不 加入酸,则生成分子式为C H NO 的化合物H,其结构简式为 。 10 19 2 9.(2024·全国新课标卷,11,15分)四氟咯草胺(化合物G)是一种新型除草剂,可有效控制稻田杂草。 G的一条合成路线如下(略去部分试剂和条件,忽略立体化学)。已知反应Ⅰ: 已知反应Ⅱ: R 为烃基或H,R、R 、R 、R 为烃基 1 2 3 4 回答下列问题: (1)反应①的反应类型为_______;加入KCO 的作用是_______。 2 3 (2)D分子中采用sp3杂化的碳原子数是_______。 (3)对照已知反应Ⅰ,反应③不使用(C H)N也能进行,原因是_______。 2 5 3 (4)E中含氧官能团名称是_______。 (5)F的结构简式是_______;反应⑤分两步进行,第一步产物的分子式为C H FNO ,其结构简式是 15 18 3 4 _______。 (6)G中手性碳原子是_______(写出序号)。 (7)化合物H是B的同分异构体,具有苯环结构,核磁共振氢谱中显示为四组峰,且可以发生已知反应Ⅱ.则H的可能结构是_______。 10.(2024·北京卷,17)除草剂苯嘧磺草胺的中间体M合成路线如下。 (1)D中含氧官能团的名称是 。 (2)A→B的化学方程式是 。 (3)I→J的制备过程中,下列说法正确的是 (填序号)。 a.依据平衡移动原理,加入过量的乙醇或将J蒸出,都有利于提高I的转化率 b.利用饱和碳酸钠溶液可吸收蒸出的I和乙醇 c.若反应温度过高,可能生成副产物乙醚或者乙烯 (4)已知: ①K的结构简式是 。 ②判断并解释K中氟原子对 的活泼性的影响 。 (5)M的分子式为C HClF NO。除苯环外,M分子中还有个含两个氮原子的六元环,在合成M的同 13 7 4 2 4 时还生成产物甲醇和乙醇。由此可知,在生成M时,L分子和G分子断裂的化学键均为C-O键和 键,M的结构简式是 。 11.(2024·辽吉黑卷,19,14分)特戈拉赞(化合物K)是抑制胃酸分泌的药物,其合成路线如下:已知: I. 为 ,咪唑为 ; II. 和 不稳定,能分别快速异构化为 和 。 回答下列问题: (1)B中含氧官能团只有醛基,其结构简式为_______。 (2)G中含氧官能团的名称为_______和_______。 (3)J→K的反应类型为_______。 (4)D的同分异构体中,与D官能团完全相同,且水解生成丙二酸的有_______种(不考虑立体异构)。 (5)E→F转化可能分三步:①E分子内的咪唑环与羧基反应生成X;②X快速异构化为Y,图Y与 (CHCO) O反应生成F。第③步化学方程式为_______。 3 2 (6)苯环具有与咪唑环类似的性质。参考B→X的转化,设计化合物I的合成路线如下(部分反应条件己 略去)。其中M和N的结构简式为_______和_______。