当前位置:首页>文档>专题强化训练二二次函数大题题型训练-2022-2023学年九年级数学上册《考点•题型•技巧》精讲与精练高分突破(人教版)_初中数学人教版_9上-初中数学人教版_07专项讲练

专题强化训练二二次函数大题题型训练-2022-2023学年九年级数学上册《考点•题型•技巧》精讲与精练高分突破(人教版)_初中数学人教版_9上-初中数学人教版_07专项讲练

  • 2026-04-03 20:30:24 2026-03-28 01:54:35

文档预览

专题强化训练二二次函数大题题型训练-2022-2023学年九年级数学上册《考点•题型•技巧》精讲与精练高分突破(人教版)_初中数学人教版_9上-初中数学人教版_07专项讲练
专题强化训练二二次函数大题题型训练-2022-2023学年九年级数学上册《考点•题型•技巧》精讲与精练高分突破(人教版)_初中数学人教版_9上-初中数学人教版_07专项讲练
专题强化训练二二次函数大题题型训练-2022-2023学年九年级数学上册《考点•题型•技巧》精讲与精练高分突破(人教版)_初中数学人教版_9上-初中数学人教版_07专项讲练
专题强化训练二二次函数大题题型训练-2022-2023学年九年级数学上册《考点•题型•技巧》精讲与精练高分突破(人教版)_初中数学人教版_9上-初中数学人教版_07专项讲练
专题强化训练二二次函数大题题型训练-2022-2023学年九年级数学上册《考点•题型•技巧》精讲与精练高分突破(人教版)_初中数学人教版_9上-初中数学人教版_07专项讲练
专题强化训练二二次函数大题题型训练-2022-2023学年九年级数学上册《考点•题型•技巧》精讲与精练高分突破(人教版)_初中数学人教版_9上-初中数学人教版_07专项讲练
专题强化训练二二次函数大题题型训练-2022-2023学年九年级数学上册《考点•题型•技巧》精讲与精练高分突破(人教版)_初中数学人教版_9上-初中数学人教版_07专项讲练
专题强化训练二二次函数大题题型训练-2022-2023学年九年级数学上册《考点•题型•技巧》精讲与精练高分突破(人教版)_初中数学人教版_9上-初中数学人教版_07专项讲练
专题强化训练二二次函数大题题型训练-2022-2023学年九年级数学上册《考点•题型•技巧》精讲与精练高分突破(人教版)_初中数学人教版_9上-初中数学人教版_07专项讲练
专题强化训练二二次函数大题题型训练-2022-2023学年九年级数学上册《考点•题型•技巧》精讲与精练高分突破(人教版)_初中数学人教版_9上-初中数学人教版_07专项讲练
专题强化训练二二次函数大题题型训练-2022-2023学年九年级数学上册《考点•题型•技巧》精讲与精练高分突破(人教版)_初中数学人教版_9上-初中数学人教版_07专项讲练
专题强化训练二二次函数大题题型训练-2022-2023学年九年级数学上册《考点•题型•技巧》精讲与精练高分突破(人教版)_初中数学人教版_9上-初中数学人教版_07专项讲练
专题强化训练二二次函数大题题型训练-2022-2023学年九年级数学上册《考点•题型•技巧》精讲与精练高分突破(人教版)_初中数学人教版_9上-初中数学人教版_07专项讲练
专题强化训练二二次函数大题题型训练-2022-2023学年九年级数学上册《考点•题型•技巧》精讲与精练高分突破(人教版)_初中数学人教版_9上-初中数学人教版_07专项讲练
专题强化训练二二次函数大题题型训练-2022-2023学年九年级数学上册《考点•题型•技巧》精讲与精练高分突破(人教版)_初中数学人教版_9上-初中数学人教版_07专项讲练
专题强化训练二二次函数大题题型训练-2022-2023学年九年级数学上册《考点•题型•技巧》精讲与精练高分突破(人教版)_初中数学人教版_9上-初中数学人教版_07专项讲练
专题强化训练二二次函数大题题型训练-2022-2023学年九年级数学上册《考点•题型•技巧》精讲与精练高分突破(人教版)_初中数学人教版_9上-初中数学人教版_07专项讲练
专题强化训练二二次函数大题题型训练-2022-2023学年九年级数学上册《考点•题型•技巧》精讲与精练高分突破(人教版)_初中数学人教版_9上-初中数学人教版_07专项讲练
专题强化训练二二次函数大题题型训练-2022-2023学年九年级数学上册《考点•题型•技巧》精讲与精练高分突破(人教版)_初中数学人教版_9上-初中数学人教版_07专项讲练
专题强化训练二二次函数大题题型训练-2022-2023学年九年级数学上册《考点•题型•技巧》精讲与精练高分突破(人教版)_初中数学人教版_9上-初中数学人教版_07专项讲练
专题强化训练二二次函数大题题型训练-2022-2023学年九年级数学上册《考点•题型•技巧》精讲与精练高分突破(人教版)_初中数学人教版_9上-初中数学人教版_07专项讲练
专题强化训练二二次函数大题题型训练-2022-2023学年九年级数学上册《考点•题型•技巧》精讲与精练高分突破(人教版)_初中数学人教版_9上-初中数学人教版_07专项讲练
专题强化训练二二次函数大题题型训练-2022-2023学年九年级数学上册《考点•题型•技巧》精讲与精练高分突破(人教版)_初中数学人教版_9上-初中数学人教版_07专项讲练
专题强化训练二二次函数大题题型训练-2022-2023学年九年级数学上册《考点•题型•技巧》精讲与精练高分突破(人教版)_初中数学人教版_9上-初中数学人教版_07专项讲练
专题强化训练二二次函数大题题型训练-2022-2023学年九年级数学上册《考点•题型•技巧》精讲与精练高分突破(人教版)_初中数学人教版_9上-初中数学人教版_07专项讲练
专题强化训练二二次函数大题题型训练-2022-2023学年九年级数学上册《考点•题型•技巧》精讲与精练高分突破(人教版)_初中数学人教版_9上-初中数学人教版_07专项讲练
专题强化训练二二次函数大题题型训练-2022-2023学年九年级数学上册《考点•题型•技巧》精讲与精练高分突破(人教版)_初中数学人教版_9上-初中数学人教版_07专项讲练
专题强化训练二二次函数大题题型训练-2022-2023学年九年级数学上册《考点•题型•技巧》精讲与精练高分突破(人教版)_初中数学人教版_9上-初中数学人教版_07专项讲练
专题强化训练二二次函数大题题型训练-2022-2023学年九年级数学上册《考点•题型•技巧》精讲与精练高分突破(人教版)_初中数学人教版_9上-初中数学人教版_07专项讲练
专题强化训练二二次函数大题题型训练-2022-2023学年九年级数学上册《考点•题型•技巧》精讲与精练高分突破(人教版)_初中数学人教版_9上-初中数学人教版_07专项讲练
专题强化训练二二次函数大题题型训练-2022-2023学年九年级数学上册《考点•题型•技巧》精讲与精练高分突破(人教版)_初中数学人教版_9上-初中数学人教版_07专项讲练
专题强化训练二二次函数大题题型训练-2022-2023学年九年级数学上册《考点•题型•技巧》精讲与精练高分突破(人教版)_初中数学人教版_9上-初中数学人教版_07专项讲练
专题强化训练二二次函数大题题型训练-2022-2023学年九年级数学上册《考点•题型•技巧》精讲与精练高分突破(人教版)_初中数学人教版_9上-初中数学人教版_07专项讲练
专题强化训练二二次函数大题题型训练-2022-2023学年九年级数学上册《考点•题型•技巧》精讲与精练高分突破(人教版)_初中数学人教版_9上-初中数学人教版_07专项讲练
专题强化训练二二次函数大题题型训练-2022-2023学年九年级数学上册《考点•题型•技巧》精讲与精练高分突破(人教版)_初中数学人教版_9上-初中数学人教版_07专项讲练
专题强化训练二二次函数大题题型训练-2022-2023学年九年级数学上册《考点•题型•技巧》精讲与精练高分突破(人教版)_初中数学人教版_9上-初中数学人教版_07专项讲练
专题强化训练二二次函数大题题型训练-2022-2023学年九年级数学上册《考点•题型•技巧》精讲与精练高分突破(人教版)_初中数学人教版_9上-初中数学人教版_07专项讲练
专题强化训练二二次函数大题题型训练-2022-2023学年九年级数学上册《考点•题型•技巧》精讲与精练高分突破(人教版)_初中数学人教版_9上-初中数学人教版_07专项讲练
专题强化训练二二次函数大题题型训练-2022-2023学年九年级数学上册《考点•题型•技巧》精讲与精练高分突破(人教版)_初中数学人教版_9上-初中数学人教版_07专项讲练
专题强化训练二二次函数大题题型训练-2022-2023学年九年级数学上册《考点•题型•技巧》精讲与精练高分突破(人教版)_初中数学人教版_9上-初中数学人教版_07专项讲练
专题强化训练二二次函数大题题型训练-2022-2023学年九年级数学上册《考点•题型•技巧》精讲与精练高分突破(人教版)_初中数学人教版_9上-初中数学人教版_07专项讲练
专题强化训练二二次函数大题题型训练-2022-2023学年九年级数学上册《考点•题型•技巧》精讲与精练高分突破(人教版)_初中数学人教版_9上-初中数学人教版_07专项讲练
专题强化训练二二次函数大题题型训练-2022-2023学年九年级数学上册《考点•题型•技巧》精讲与精练高分突破(人教版)_初中数学人教版_9上-初中数学人教版_07专项讲练
专题强化训练二二次函数大题题型训练-2022-2023学年九年级数学上册《考点•题型•技巧》精讲与精练高分突破(人教版)_初中数学人教版_9上-初中数学人教版_07专项讲练
专题强化训练二二次函数大题题型训练-2022-2023学年九年级数学上册《考点•题型•技巧》精讲与精练高分突破(人教版)_初中数学人教版_9上-初中数学人教版_07专项讲练
专题强化训练二二次函数大题题型训练-2022-2023学年九年级数学上册《考点•题型•技巧》精讲与精练高分突破(人教版)_初中数学人教版_9上-初中数学人教版_07专项讲练
专题强化训练二二次函数大题题型训练-2022-2023学年九年级数学上册《考点•题型•技巧》精讲与精练高分突破(人教版)_初中数学人教版_9上-初中数学人教版_07专项讲练
专题强化训练二二次函数大题题型训练-2022-2023学年九年级数学上册《考点•题型•技巧》精讲与精练高分突破(人教版)_初中数学人教版_9上-初中数学人教版_07专项讲练
专题强化训练二二次函数大题题型训练-2022-2023学年九年级数学上册《考点•题型•技巧》精讲与精练高分突破(人教版)_初中数学人教版_9上-初中数学人教版_07专项讲练
专题强化训练二二次函数大题题型训练-2022-2023学年九年级数学上册《考点•题型•技巧》精讲与精练高分突破(人教版)_初中数学人教版_9上-初中数学人教版_07专项讲练
专题强化训练二二次函数大题题型训练-2022-2023学年九年级数学上册《考点•题型•技巧》精讲与精练高分突破(人教版)_初中数学人教版_9上-初中数学人教版_07专项讲练
专题强化训练二二次函数大题题型训练-2022-2023学年九年级数学上册《考点•题型•技巧》精讲与精练高分突破(人教版)_初中数学人教版_9上-初中数学人教版_07专项讲练
专题强化训练二二次函数大题题型训练-2022-2023学年九年级数学上册《考点•题型•技巧》精讲与精练高分突破(人教版)_初中数学人教版_9上-初中数学人教版_07专项讲练
专题强化训练二二次函数大题题型训练-2022-2023学年九年级数学上册《考点•题型•技巧》精讲与精练高分突破(人教版)_初中数学人教版_9上-初中数学人教版_07专项讲练
专题强化训练二二次函数大题题型训练-2022-2023学年九年级数学上册《考点•题型•技巧》精讲与精练高分突破(人教版)_初中数学人教版_9上-初中数学人教版_07专项讲练
专题强化训练二二次函数大题题型训练-2022-2023学年九年级数学上册《考点•题型•技巧》精讲与精练高分突破(人教版)_初中数学人教版_9上-初中数学人教版_07专项讲练
专题强化训练二二次函数大题题型训练-2022-2023学年九年级数学上册《考点•题型•技巧》精讲与精练高分突破(人教版)_初中数学人教版_9上-初中数学人教版_07专项讲练
专题强化训练二二次函数大题题型训练-2022-2023学年九年级数学上册《考点•题型•技巧》精讲与精练高分突破(人教版)_初中数学人教版_9上-初中数学人教版_07专项讲练
专题强化训练二二次函数大题题型训练-2022-2023学年九年级数学上册《考点•题型•技巧》精讲与精练高分突破(人教版)_初中数学人教版_9上-初中数学人教版_07专项讲练
专题强化训练二二次函数大题题型训练-2022-2023学年九年级数学上册《考点•题型•技巧》精讲与精练高分突破(人教版)_初中数学人教版_9上-初中数学人教版_07专项讲练
专题强化训练二二次函数大题题型训练-2022-2023学年九年级数学上册《考点•题型•技巧》精讲与精练高分突破(人教版)_初中数学人教版_9上-初中数学人教版_07专项讲练

文档信息

文档格式
docx
文档大小
3.561 MB
文档页数
57 页
上传时间
2026-03-28 01:54:35

文档内容

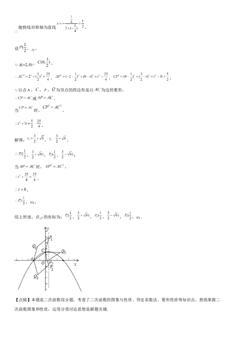
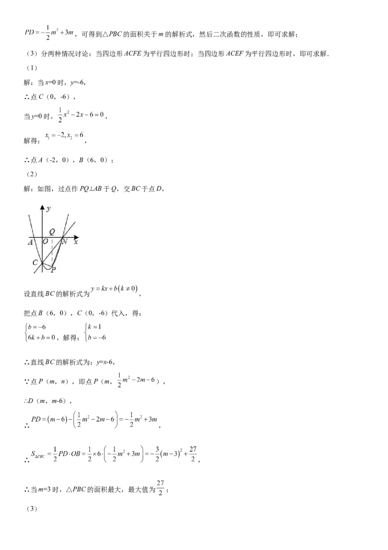
专题强化训练二:二次函数大题题型训练 题型一:线段问题 1.(2022·湖北·武汉市实验初级中学九年级阶段练习)如图1,抛物线y=a +b经过A(−1,0),C (2,−3)两点,与y轴交于点D,与x轴交于另一点B. (1)求此抛物线的解析式及顶点坐标; (2)如图2,若将此抛物线平移,使其顶点为点D,需如何平移?写出平移后抛物线的解析式; (3)如图2,过点P(m,0)作x轴的垂线(1≤m≤2),分别交平移前后的抛物线于点E,F,交直线OC于点G,求 证:PF=EG. 2.(2022·山东东营·中考真题)如图,抛物线 与x轴交于点 ,点 ,与y轴交于 点C. (1)求抛物线的表达式; (2)在对称轴上找一点Q,使 的周长最小,求点Q的坐标; (3)点P是抛物线对称轴上的一点,点M是对称轴左侧抛物线上的一点,当 是以 为腰的等腰直角三角形 时,请直接写出所有点M的坐标. 题型二:面积问题3.(2022·江苏·沛县教师发展中心九年级阶段练习)如图,抛物线 过 , 两点,点C、B 关于抛物线的对称轴对称,过点B作直线 轴,交x轴于点H. (1)求抛物线的表达式; (2)求 的面积; (3)若点M在直线BH上运动,点N在x轴上运动,当 为等腰直角三角形时,点N的坐标为______. 4.(2022·浙江温州·九年级期中)如图,抛物线 (a,b是常数)经过点 , ,交y轴 于点C,过点C作x轴的平行线CD,交抛物线于另一点D. (1)求该抛物线的表达式. (2)连结BC交该拋物线对称轴于点P,连结PD,求 PCD的面积. △ 题型三:角度问题 5.(2022·湖北黄石·中考真题)如图,抛物线 与坐标轴分别交于A,B,C三点,P是第一象限 内抛物线上的一点且横坐标为m.(1)A,B,C三点的坐标为____________,____________,____________; (2)连接 ,交线段 于点D, ①当 与x轴平行时,求 的值; ②当 与x轴不平行时,求 的最大值; (3)连接 ,是否存在点P,使得 ,若存在,求m的值,若不存在,请说明理由. 6.(2022·江苏·九年级专题练习)如图,抛物线 与x轴交于点A、B,与y轴交于点 C,已知 . (1)求m的值和直线对应的函数表达式; (2)P为抛物线上一点,若S PBC=S ABC,请直接写出点P的坐标; △ △ (3)Q为抛物线上一点,若∠ACQ=45°,求点Q的坐标. 题型四:特殊三角形问题 7.(2022·辽宁·阜新市第四中学九年级阶段练习)如图,在平面直角坐标系中,二次函数 的图象与 轴交于 、 两点,与 轴交于 , 点在原点的左侧, 点的坐标为 .点 是抛物线上一个动点,且在直线 的上方. (1)求这个二次函数及直线 的表达式. (2)过点 做 轴交直线 于点 ,求 的最大值. (3)点 为抛物线对称轴上的点,问在抛物线上是否存在点 ,使 为等腰直角三角形,且 为直角, 若存在,请直接写出点 的坐标;若不存在,请说明理由. 8.(2022·辽宁大连·九年级期末)如图,抛物线:y=ax2+bx+c与x轴交于A(1,0)、B(-3,0)两点,与y轴 交于点C(0,-2). (1)求抛物线的解析式; (2)动点P在抛物线:y=ax2+bx+c上移动,点Q在直线l:x=﹣4上移动,在运动过程中,是否存在 PAQ是以点 P为直角顶点的等腰直角三角形?若存在,求出符合条件的点P的坐标;若不存在,请说明理由. △ 题型五:特殊四边形问题 9.(2022·福建省福州屏东中学三模)如图,抛物线 与 轴交于点 ,对称轴交 轴于点 , 点 是抛物线在第一象限内的一个动点, 交 轴于点 ,交 轴于点 , 轴于点 ,点 是抛物 线的顶点,已知在点 的运动过程中, 的最大值是 .(1)求点 的坐标与 的值; (2)当点 恰好是 的中点时,求点 的坐标; (3)连结 ,作点 关于直线 的对称点 ,当点 落在线段 上时,则点 的坐标为______ 直接写出答案 10.(2022·陕西省西安高新逸翠园学校模拟预测)如图,抛物线y=﹣x2+bx+c的对称轴为直线x= ,其图象 与直线y= x+2交于C,D两点,其中点C在y轴上,点P是y轴右侧的抛物线上一动点,过点P作PE⊥x轴于 点E,交CD于点F. (1)求抛物线的解析式; (2)若点P的横坐标为x,当x 为何值时,以O,C,P,F为顶点的四边形是平行四边形?请说明理由. 0 0 专题强化训练 11.(2022·北京·人大附中九年级阶段练习)在平面直角坐标系 中, 与 轴交于点 .(1)求点 的坐标以及抛物线的对称轴; (2)抛物线与直线 交于点 , ,其中 ①当 时,求抛物线的表达式; ②当 时,请直接写出 的取值范围. 12.(2022·四川·巴中市教育科学研究所中考真题)如图1,抛物线 ,交 轴于A、B两点,交 轴 于点 , 为抛物线顶点,直线 垂直于 轴于点 ,当 时, . (1)求抛物线的表达式; (2)点 是线段 上的动点(除 、 外),过点 作 轴的垂线交抛物线于点 . ①当点 的横坐标为2时,求四边形 的面积; ②如图2,直线 , 分别与抛物线对称轴交于 、 两点.试问, 是否为定值?如果是,请求出 这个定值;如果不是,请说明理由. 13.(2022·湖北省咸宁市嘉鱼县城北中学九年级阶段练习)如图,抛物线 与x轴相交于点A、点 B,与y轴相交于点C.(1)请直接写出点A,B,C的坐标; (2)点P(m,n)(0<m<6)在抛物线上,当m取何值时,△PBC的面积最大?并求出△PBC面积的最大值. (3)点F是抛物线上的动点,作 交x轴于点E,是否存在点F,使得以A、C、E、F为顶点的四边形是平行 四边形?若存在,请写出所有符合条件的点F的坐标;若不存在,请说明理由. 14.(2022·全国·九年级单元测试)如图,抛物线 交x轴于点A(1,0),交y轴交于点B,对称轴 是直线x=2. (1)求抛物线的解析式; (2)若在抛物线上存在一点D,使△ACD的面积为8,请求出点D的坐标. (3)点P是抛物线对称轴上的一个动点,是否存在点P,使△PAB的周长最小?若存在,求出点P的坐标;若不存 在,请说明理由. 15.(2022·湖北武汉·九年级期中)如图,抛物线y=ax2+3ax+4与x轴交于A、B两点(点A在点B的左侧),与y 轴交于点C,且S ABC=10,点P为第二象限内抛物线上的一点,连接BP. △(1)求抛物线的解析式; (2)如图1,过点P作PD⊥x轴于点D,若∠BPD=2∠BCO,求 的值; (3)如图2,设BP与AC的交点为Q,连接PC,是否存在点P,使S PCQ=S BCQ?若存在,求出点P的坐标;若 △ △ 不存在,请说明理由. 16.(2022·陕西·西安爱知初级中学模拟预测)已知抛物线 与x轴交于A(-2,0),B(3,0)两 点,与y轴交于点C(0, ). (1)求抛物线的解析式; (2)点P是抛物线对称轴上一个点,点Q是平面内一点,当以A,C,P,Q为顶点的四边形是以AC为边的菱形时, 求点P的坐标. 17.(2022·重庆·模拟预测)如图,在平面直角坐标系中,抛物线 交x轴于点A和C(1,0),交 y轴于点B(0,3),抛物线的对称轴交x轴于点E,交抛物线于点F. (1)求抛物线的解析式; (2)将线段OE绕着点O沿顺时针方向旋转得到线段 ,旋转角为α(0°<α<90°),连接 ,求 的最小值; (3)M为平面直角坐标系中一点,在抛物线上是否存在一点N,使得以A,B,M,N为顶点的四边形为矩形?若存 在,请直接写出点N的横坐标;若不存在,请说明理由. 18.(2022·云南·模拟预测)已知抛物线 的顶点P在x轴上,交y轴于点C,直线y=n交抛物线于 A,B(点A在点B的左侧)两点.(1)求抛物线的解析式; (2)当n=9时,在抛物线上存在点D,使 ,求点D的坐标. 19.(2022·甘肃·民勤县第六中学九年级期末)如图,抛物线 经过点A(2,0),B(-2,4),(-4, 0),直线AB与抛物线的对称轴交于点E. (1)求抛物线的表达式; (2)点M在直线AB上方的抛物线上运动,当ΔABM的面积最大时,求点M的坐标; (3)若点F为平面内的一点,且以点 为顶点的四边形是平行四边形,请写出符合条件的点F的坐标. 20.(2022·吉林·东北师大附中明珠学校九年级期末)已知二次函数 (m为常数) (1)当m=2时 ①求函数顶点坐标,并写出函数值y随x的增大而减小时x的取值范围. ②若点 和 在其图象上,且 时,则实数t的取值范围是 . (2)记二次函数 的图象为G. ①当图象G上有且只有两个点到x轴的距离为2时,求m的取值范围. ②已知矩形ABCD的对称中心为(0,1),点A的坐标为(-3,3).记图象G在矩形ABCD内部(包含边界)的最高点P的纵坐标为p,最低点的纵坐标为q,当p-q=4时,直接写出m的取值范围.参考答案: 1.(1) ,顶点坐标为( ,﹣ ) (2)抛物线向左平移 个单位长度,再向上平移 个单位长度,平移后的抛物线解析式为 (3)见解析 【分析】(1)用待定系数法求函数的解析式即可; (2)根据顶点( , )与(0,﹣2)之间的关系,确定抛物线的平移过程即可; (3)分别求出G(m, m),F(m, ﹣2),E(m, ),再证明即可. (1) 解:将A(−1,0),C(2,−3)代入y=a +b, ∴ , 解得 , ∴ , ∴顶点坐标为( , ); (2) 解:令x=0,则y=﹣2, ∴D(0,﹣2), ∴抛物线向左平移 个单位长度,再向上平移 个单位长度,抛物线的顶点为D, ∴平移后的抛物线解析式为 ; (3) 证明:设直线OC的解析式为y=kx, ∴2k=﹣3,∴k , ∴y x, ∵PF⊥x轴,P(m,0), ∴G(m, m),F(m, ﹣2),E(m, ), ∵1≤m≤2, ∴PF= ,EG , ∴PF=EG. 【点睛】本题考查二次函数的图象及性质,熟练掌握二次函数的图象及性质,抛物线平移的性质,两点间的距离 求法是解题的关键. 2.(1) (2)(1,-2) (3)(-1,0)或( ,-2)或( ,2) 【分析】(1)利用待定系数法求解即可; (2)先求出点C的坐标和抛物线的对称轴,如图所示,作点C关于直线 的对称点E,连接AE,EQ,则点E 的坐标为(2,-3),根据轴对称最短路径可知AE与抛物线对称轴的交点即为点Q; (3)分两种情况当∠BPM=90°和当∠PBM=90°两种情况讨论求解即可. (1) 解:∵抛物线 与x轴交于点 ,点 , ∴ , ∴ , ∴抛物线解析式为 ; (2) 解:∵抛物线解析式为 ,与y轴交于点C,∴抛物线对称轴为直线 ,点C的坐标为(0,-3) 如图所示,作点C关于直线 的对称点E,连接AE,EQ,则点E的坐标为(2,-3), 由轴对称的性质可知CQ=EQ, ∴△ACQ的周长=AC+AQ+CQ, 要使△ACQ的周长最小,则AQ+CQ最小,即AQ+QE最小, ∴当A、Q、E三点共线时,AQ+QE最小, 设直线AE的解析式为 , ∴ , ∴ , ∴直线AE的解析式为 , 当 时, , ∴点Q的坐标为(1,-2); (3) 解: 如图1所示,当点P在x轴上方,∠BPM=90°时,过点P作 轴,过点M作MF⊥EF于F,过点B作 BE⊥EF于E,∵△PBM是以PB为腰的等腰直角三角形, ∴PA=PB,∠MFP=∠PEB=∠BPM=90°, ∴∠FMP+∠FPM=∠FPM+∠EPB=90°, ∴∠FMP=∠EPB, ∴△FMP≌△EPB(AAS), ∴PE=MF,BE=PF, 设点P的坐标为(1,m), ∴ , ∴ , , ∴点M的坐标为(1-m,m-2), ∵点M在抛物线 上, ∴ , ∴ , ∴ , 解得 或 (舍去), ∴点M的坐标为(-1,0); 同理当当点P在x轴下方,∠BPM=90°时可以求得点M的坐标为(-1,0); 如图2所示,当点P在x轴上方,∠PBM=90°时,过点B作 轴,过点P作PE⊥EF于E,过点M作MF⊥EF 于F,设点P的坐标为(1,m), 同理可证△PEB≌△BFM(AAS), ∴ , ∴点M的坐标为(3-m,-2),∵点M在抛物线 上, ∴ , ∴ , ∴ , 解得 或 (舍去), ∴点M的坐标为( ,-2); 如图3所示,当点P在x轴下方,∠PBM=90°时, 同理可以求得点M的坐标为( ,2); 综上所述,当△PMB是以PB为腰的等腰直角三角形时,点M的坐标为(-1,0)或( ,-2)或( , 2). 【点睛】本题主要考查了待定系数法求二次函数解析式,二次函数综合,一次函数与几何综合,全等三角形的性质与判定等等,熟知二次函数的相关知识是解题的关键. 3.(1) (2)3 (3)(2,0)或(﹣4,0)或(﹣2,0)或(4,0). 【分析】(1)待定系数法求解析式即可; (2)根据抛物线解析式求得对称轴,进而求得点 的坐标,根据三角形面积公式求解即可; (3)以点C、M、N为顶点的三角形为等腰直角三角形时,分三类情况讨论:①以点M为直角顶点且M在x轴上 方时,证明△CBM≌△MHN(AAS),即可求得 的坐标,②以点M为直角顶点且M在x轴下方时,证明 △NEM≌△MDC,③以点N为直角顶点且N在y轴左侧时,同理得△NEM≌△MDC,④以点N为直角顶点且N在y 轴右侧时,同理得ME=DN=NH=3,⑤以C为直角顶点时,不能构成满足条件的等腰直角三角形. (1) 解:把A(4,0),B(1,3)代入抛物线 中, 得 , 解得 , ∴该抛物线解析式为 ; (2) 解:∵抛物线解析式为 , ∴抛物线对称轴为直线x=2, ∵点C和点B关于对称轴对称,点B的坐标为(1,3), ∴C(3,3), ∴BC=2, ∴ ; (3) 解:以点C、M、N为顶点的三角形为等腰直角三角形时,分三类情况讨论: ①以点M为直角顶点且M在x轴上方时,如图3-1所示,∴CM=MN,∠CMN=90°, ∴∠HNM+∠HMN=∠HMN+∠BMC=90°, ∴∠BMC=∠HNM, 在△CBM和△MHN中, , ∴△CBM≌△MHN(AAS), ∴BC=MH=2,BM=HN=3-2=1, ∴ON=OH+HN=2, ∴N(2,0); ②以点M为直角顶点且M在x轴下方时,如图3-2所示, 过点M作 轴,过点N作NE⊥DE于E,过点C作CD⊥DE于D, 同理可证△NEM≌△MDC, ∴NE=DM=2, ∴EM=CD=5,∵OH=1, ∴ON=NH﹣OH=5-1=4, ∴N(-4,0); ③以点N为直角顶点且N在y轴左侧时,如图3-3所示, 过点N作 轴,过点M作ME⊥DE于E,过点C作CD⊥DE于D, 同理得△NEM≌△CDN, ∴ME=NH=DN=3, ∴ON=3-1=2, ∴N(-2,0); ④以点N为直角顶点且N在y轴右侧时,如图3-4所示, 过点N作 轴,过点M作ME⊥DE于E,过点C作CD⊥DE于D, 同理得△NEM≌△CDN, ∴ME=DN=NH=3, ∴ON=1+3=4, ∴N(4,0);⑤以C为直角顶点时,不能构成满足条件的等腰直角三角形; 综上可知当△CMN为等腰直角三角形时N点坐标为(2,0)或(﹣4,0)或(﹣2,0)或(4,0). 【点睛】本题考查了二次函数综合,全等三角形的性质与判定,待定系数法求解析式,等腰直角三角形的性质, 利用分类讨论的思想求解是解题的关键. 4.(1) (2) 【分析】(1)把 , 两点代入 ,运用待定系数法即可求得答案; (2)设对称轴与CD交点为点E,先求得OB=OC=3,再由CD x轴,可求得 ,由 对称轴:x=1可得 ,即可求得答案; (1) 把 , 两点代入 得: , 解得: , ∴该抛物线的表达式 . (2) 如图,设对称轴与CD交点为点E,∵该抛物线的表达式 ,且 , ∴ , ∴ , ∵CD x轴, ∴ , ∵抛物线的表达式 的对称轴:x=1, ∴ , ∴△PCD的面积 . 【点睛】本题主要考查二次函数的图象与性质及等腰三角形的性质,关键是要会用待定系数法求抛物线的解析式. 5.(1) ; ; (2)① ;② (3)存在点P, 【分析】(1)令x=0,则y=4,令y=0,则 =0,所以x=-2或x=3,由此可得结论; (2)①由题意可知,P(1,4),所以CP=1,AB=5,由平行线分线段成比例可知, . ②过点P作PQ∥AB交BC于点Q,所以直线BC的解析式为:y=- x+4.设点P的横坐标为m,则P(m,- ),Q( ,- ).所以PQ=m-( )=- ,因为PQ∥AB,所以 = ,由二次函数的性质可得结论;(3)假设存在点P使得∠BCO+2∠BCP=90°,即0<m<3.过点C作CF x轴交抛物线于点F,由 ∠BCO+2∠PCB=90°,可知CP平分∠BCF,延长CP交x轴于点M,易证△CBM为等腰三角形,所以M(8,0),所 以直线CM的解析式为:y=- x+4,令 =- x+4,可得结论. (1) 解:令x=0,则y=4, ∴C(0,4); 令y=0,则 =0, ∴x=-2或x=3, ∴A(-2,0),B(3,0). 故答案为:(-2,0);(3,0);(0,4). (2) 解:①∵ 轴, , ∴ , , 又∵ 轴, ∴△CPD∽△BAD ∴ ; ②过P作 交 于点Q,设直线BC的解析式为 , 把B(3,0),C(0,4)代入,得 ,解得 , ∴直线 的解析式为 , 设 ,则 , ∴ , ∵ , ∴△QPD∽△BAD ∴ , ∴当 时, 取最大值 ; (3) 解:假设存在点P使得 ,即 , 过C作 轴,连接CP,延长 交x轴于点M, ∴∠FCP=∠BMC, ∵ ,∴ 平分 , ∴∠BCP=∠FCP, ∴∠BCP=∠BMC, ∴BC=BM, ∴ 为等腰三角形, ∵ , ∴ , , , 设直线CM解析式为y=kx+b, 把C(0,4), 代入,得 ,解得: , ∴直线 的解析式为 , 联立 , 解得 或 (舍), ∴存在点P满足题意,即 . 【点睛】此题是二次函数综合题,主要考查了待定系数法,平行线分线段成比例,角度的存在性等相关内容,解 本题的关键是求抛物线解析式,确定点P的坐标. 6.(1) , ; (2) , , ; (3) 【分析】(1)根据点B的坐标即可求得m的值,然后用待定系数法计算即可; (2)过点A作BC的平行线 ,联立直线 与抛物线的表达式可求出 的坐标,设出直线 与y轴的交点为G,将直线BC向下平移,平移的距离为GC的长度,可得到直线 ,联立方程组即可求出P; (3)取点 ,连接 ,过点 作 于点 ,过点 作 轴于点 ,过点 作 于点 ,得 直线 对应的表达式为 ,即可求出结果; (1)解:将 代入 ,化简得 ,则 (舍)或 ,∴ ,得: ,则 .设直线 对应的函数表达式为 ,将 、 代入可得 , 解得 ,则直线 对应的函数表达式为 . (2)解:如图,过点A作 ∥BC,设直线 与y轴的交点为G,将直线BC向下平移 GC个单位,得到直线 , 由(1)得直线BC的解析式为 , ,∴直线AG的表达式为 ,联立 ,解得: (舍),或 ,∴ ,由直线AG的表达式可得 , ∴ , ,∴直线 的表达式为 ,联立 ,解得: ,,∴ , ,∴ , , . (3)解:如图,取点 ,连接 ,过点 作 于点 ,过点 作 轴于点 ,过点 作 于点 , ∵ ,∴AD=CD,又∵ ,∴ ,∵ ,∴ ,又∵ ,∴ , 则 , .设 ,∵ , ,∴ .由 ,则 , 即 ,解之得, .所以 ,又 ,可得直线 对应的表达式为 ,设 ,代入 ,得 , , ,又 ,则 .所以 . 【点睛】本题主要考查了二次函数综合应用,结合一元二次方程求解是解题的关键. 7.(1)二次函数的表达式为 ,直线 的表达式为 ; (2)(3)存在,点 的坐标为( , )或( , )或( , )或( , ). 【分析】(1)利用待定系数法可直接求出二次函数和直线BC的解析式; (2)设动点P的坐标为(x, ),则点D的坐标为(x, ),PD= ,由二次函数的性质 可得出答案; (3)分情况讨论:①当点M在x轴上方,点N在对称轴左侧时,如图1,设对称轴与x轴交于点F,过点N作 NE⊥MF于点E,证明 MEN≌ OFM(AAS),可得OF=EM=1,设点M坐标为(1,a),可得NE=MF=a, 则N(1-a,1+a),把△点N坐标△代入二次函数解析式求出a的值,可得此时点 的坐标;②当点M在x轴上方, 点N在对称轴右侧时,③当点M在x轴下方,点N在对称轴左侧时,④当点M在x轴下方,点N在对称轴右侧时, 同理可求点 的坐标. (1) 解:把点B,点C的坐标代入解析式 中, 得: , 解得: , ∴二次函数得表达式为 ; 设BC的函数表达式为y=kx+b, 把点B,点C的坐标代入可得: , 解得: , ∴直线BC的函数表达式为: ; (2) 如图,∵ 轴,∴点P和点D的横坐标相同, 设动点P的坐标为(x, ),则点D的坐标为(x, ), PD= , 当x= 时,PD有最大值 ; (3) 分情况讨论: ①当点M在x轴上方,点N在对称轴左侧时,如图1,设对称轴与x轴交于点F,过点N作NE⊥MF于点E, ∵ 为等腰直角三角形,且 为直角, ∴NM=MO,∠NMO=90°, ∴∠NME+∠OMF=90°, ∵∠NME+∠MNE=90°, ∴∠MNE=∠OMF, 又∵∠MEN=∠OFM=90°, ∴△MEN≌△OFM(AAS), ∴OF=EM,MF=NE, ∵二次函数 的对称轴为直线 , ∴OF=EM=1, 设点M坐标为(1,a),则NE=MF=a, ∴N(1-a,1+a), ∵点N在抛物线 上, ∴ , 整理得: ,解得: , ∴N( , ), ②当点M在x轴上方,点N在对称轴右侧时,如图2, 同理可得:点N坐标为( , ); ③当点M在x轴下方,点N在对称轴左侧时,如图3, 同理可得:点N坐标为( , ); ④当点M在x轴下方,点N在对称轴右侧时,如图4, 同理可得:点N坐标为( , ); 综上,点 的坐标为( , )或( , )或( , )或( , ).【点睛】本题是二次函数与一次函数的综合题,考查了待定系数法的应用,二次函数的图象和性质,等腰直角三 角形的性质,全等三角形的判定和性质以及二次函数图象上点的坐标特征,其中第(3)问有一定难度,能够正确 分类讨论是解题的关键. 8.(1) (2)符合条件的点P的坐标是( , ),( , ),(-2,-2),( , ) 【分析】(1)先由点C得到c的值,然后代入点A和点B求得a和b的值,即可得到抛物线的解析式; (2)分情况讨论,①点P在x轴下方抛物线上时,过点P作MN∥x轴,交直线l于点M,过点A作AN⊥MN于点 N,则由 APQ是等腰直角三角形证明 ANP≌△PMQ,进而利用全等三角形的性质得到点P的坐标;②当点P在x 轴上方且△在对称轴右侧抛物线上时,过△点P作M'N'⊥x轴于点N',过点Q作QM'⊥M'N'于点M',然后证明 QM'P≌△PN'A,进而由全等三角形的性质得到点P的坐标;③当点P在x轴上方且在对称轴左侧抛物线上时,过 △点P作MN⊥l于点M,过点A作AN⊥MN于点N,然后证明 QMP≌△PNA,进而由全等三角形的性质得到点P的坐 标. △ (1)∵抛物线y=ax2+bx+c过点C(0,-2)∴当x=0, 时,c=-2.又∵抛物线y=ax2+bx+c过点A(1, 0),B(-3,0)∴ , ∴ ∴抛物线的解析式为: ; (2)设P(m, ),Q(-4,n),①当P点在x轴上方移动时,过P点作PM垂直于直线l于点M,过A点作AN垂直于MP的延长线于点N,如图1所示: ∵A(1,0),∵△PAQ是以点P为直角顶点的等腰直角三角形,∴∠APQ=90°,AP=PQ,则∠PMQ=∠ANP= 90°,∠MPQ=∠NAP,在 PQM和 APN中, ,∴△PQM≌△APN,∴PM=AN,∵PM=AN= △ △ ,根据A点坐标可得PN=1-m,且PM+PN=1-(-4)=5,∴ +1-m=5, 解得: = (舍) , = ,∴P( , ).当P点在x轴上方移动时,过P点作PM垂直 于直线l于点M,过A点作AN垂直于MP的延长线于点N,如图2所示: 同理可得 PQM≌△APN,∵PM=AN= ,根据A点坐标可得PN=m -1,∴ =5+ m △ -1, 解得: = , = (舍) ,∴P( , ).②当P点在x轴下方移动时, 如图3,过P点作PM垂直于直线l于点M,过A点作AN垂直于MP的延长线于点N, 同理可得 PQM≌△APN, △∴PM=AN,∴PM= ,AN=-( ),则4+m=-( ),解得 , .∴P(-2,-2)或( , ).综上可得,符合条件的点P的坐标是( , ),( , ),(-2,-2),( , ). 【点睛】本题考查了二次函数的解析式,二次函数图象上点的坐标特征,等腰直角三角形的性质,全等三角形的 判定与性质,解题的关键是熟知二次函数图象上点的坐标特征. 9.(1)B(2,0),a= ; (2)E( ,0); (3)E( ,0). 【分析】(1)求出抛物线对称轴为x=2,可得点B的坐标为(2,0),由题意可证明 DEF是等腰直角三角形, 可得EF的最大值为4,即MB=4,将抛物线解析式化成顶点式,进而得出2−4a=4,即△可求出a的值; (2)求出直线CD的表达式,再与抛物线解析式联立,求出交点横坐标即可得出点E的坐标; (3)设点F(x, ),则点E(x,0),证明四边形FPDE是正方形,可得点P的坐标为( , ),求出直线AM的表达式,将点P坐标代入求出x的值,即可得出点E的坐标. (1) 解:抛物线 与y轴交于点A,对称轴交x轴于点B, ∵当x=0时,y=2,∴A(0,2), ∵对称轴为x=− =2, ∴点B的坐标为(2,0), ∴OA=OB=2, ∵∠AOB=90°, ∴∠ABO=45°, ∵FC⊥AB交y轴于点C,交x轴于点D,EF⊥x轴于点E, ∴∠FDE=∠DFE=45°, ∴DF= EF, ∵FD的最大值是 , ∴EF的最大值为4, ∴MB=4, ∵ , ∴2−4a=4, ∴a= ; (2) ∵点D恰好是OB的中点, ∴D(1,0), ∵∠CDO=∠FDE=45°, ∴OC=OD=1, ∴点C的坐标为(0,−1), 设直线CD的表达式为y=kx+b(k≠0), 代入C(0,−1),D(1,0)得: , 解得: , ∴直线CD的表达式为:y=x−1, 由(1)知抛物线解析式为 ,联立 , 解得: , (不合题意,舍去), ∴点E的坐标为( ,0); (3) : 设点F(x, ),则点E(x,0), ∵EF=ED, ∴点D的横坐标为:x−( )= , 如图,点 与点 关于直线 对称,连接DP、FP、PE, ∴DF垂直平分PE, ∴FP=FE,DP=DE, ∵EF=ED, ∴FP=FE=DP=DE, ∴四边形FPDE是菱形, 又∵∠FED=90°, ∴菱形FPDE是正方形, ∴点P的坐标为( , ), ∵A(0,2),M(2,4), 设直线AM的表达式为y=mx+n, 代入A(0,2),M(2,4),得 , 解得: , ∴直线AM的表达式为y=x+2, 当点P落在线段AM上时,有 , 解得:x= 或x= (舍去),∴点E的坐标为( ,0), 故答案为:( ,0). 【点睛】本题考查了待定系数法的应用,二次函数的图象和性质,一次函数的图象和性质,等腰直角三角形的性 质,直线与抛物线的交点,轴对称的性质,正方形的判定和性质,解一元二次方程等知识,解题的关键是证出 DEF是等腰直角三角形. △ 10.(1) (2)x=1或2或 0 【分析】(1)根据对称轴和C点坐标即可确定抛物线解析式; (2)因为OC和PE都垂直于x轴,所以只要PF=OC就能确定以O,C,P,F为顶点的四边形是平行四边形,求 出此时x 的值即可. 0 (1) 解:∵抛物线y=﹣x2+bx+c的对称轴为直线x= , ∴对称轴x= = = , ∴b= , 又∵直线y= x+2与y轴交于C, ∴C(0,2), ∵C点在抛物线上, ∴c=2,即抛物线的解析式为 ; (2) 解:∵点P的横坐标为x,且在抛物线上, 0 ∴P , ∵F在直线y= x+2上, ∴F(x, x+2), 0 0 ∵PF∥CO, ∴当PF=CO时,以O,C,P,F为顶点的四边形是平行四边形, ①当0<x<3时, 0 PF= , ∵OC=2, ∴ , 解得x =1,x =2, 01 02 即当x=1或2时,以O,C,P,F为顶点的四边形是平行四边形, 0 ②当x≥3时, 0 PF= , ∵OC=2, ∴ , 解得x = ,x = (舍去), 03 04即当x= 时,以O,C,P,F为顶点的四边形是平行四边形, 0 综上当x=1或2或 时,以O,C,P,F为顶点的四边形是平行四边形. 0 【点睛】本题主要考查了二次函数、一次函数及平行四边形的性质等知识点,难点在第二小题中要分情况考虑P 点在F点上和下两种情况. 11.(1)点 的坐标是 ,抛物线的对称轴是 (2)① ,② 或 【分析】(1)根据函数与 轴相交,横坐标为 ,代入函数解析式即可求出答案;函数的坐标轴为 ,把 二次函数的二次项系数、一次项系数代入即可求出二次函数的对称轴. (2)①抛物线与直线 相交,可求出交点坐标的纵坐标是 ,从而求出交点横坐标 、 的关系,结合 ,即可求出抛物线的表达式;②根据求根公式得出 、 关于系数 的表达式, 的关系,即 可求出 的取值范围. (1) 解:根据题意得,点 的横坐标为 , ∴ , 故点 的坐标是 , 抛物线 的对称轴为:直线 . (2) ①解:根据题意得,坐标点 , , ,即 , ∴ ,即 ,∴ , ∴ , , 解方程组得, ,即 , , 将点 , 代入抛物线得, , 故抛物线得解析式是 . ②解:∵ , , ∴ , , ∴ , ∴ 或 . 故当 时, 或 . 【点睛】本题主要考查二次函数的综合运用,根据函数与坐标轴的关系找出交点的坐标,根据一元二次方程根与 系数的关系列方程组,利用求根公式即可表示出根与系数的关系,熟练掌握二次函数的性质是解题的关键. 12.(1) (2)① ;②是,定值为 ,理由见解析 【分析】(1)由当 时, ,可知 , 是 的两根,代入方程可得 从而得解; (2)①把 代入抛物线解析式可得D点坐标,再 代入抛物线解析式可得C点坐标, 从而得知线段 轴,利用配方法可知点F坐标,从而利用 求面积; ②设 ,用待定系数法求出直线 与直线 的解析式,再令 得 , ,从而 得出 , 的长,从而得到 是定值8. (1) 解:∵当 时, ,∴ , 是 的两根, , ∴ , 解得: , 抛物线的表达式为: ; (2) ①把 代入 得: , . 又当 , , , 线段 轴. , , ;②设 , 直线 , , 因此可得: 或 , 解得: 或 , 直线 , . 令 得 , , , , . 【点睛】本题考查二次函数与一次函数综合,涉及四边形的面积求法,待定系数法等知识,掌握待定系数法和面 积求法是解题的关键. 13.(1)A(-2,0),B(6,0),C(0,-6) (2)当m=3时,△PBC的面积最大,最大值为 (3)存在,(4,-6)或 或 【分析】(1)把x=0和y=0代入抛物线解析式,即可求解; (2)过点作PQ⊥AB于Q,交BC于点D,求出直线BC的解析式为y=x-6,可得D(m,m-6),从而得到,可得到△PBC的面积关于m的解析式,然后二次函数的性质,即可求解; (3)分两种情况讨论:当四边形ACFE为平行四边形时;当四边形ACEF为平行四边形时,即可求解. (1) 解:当x=0时,y=-6, ∴点C(0,-6), 当y=0时, , 解得: , ∴点A(-2,0),B(6,0); (2) 解:如图,过点作PQ⊥AB于Q,交BC于点D, 设直线BC的解析式为 , 把点B(6,0),C(0,-6)代入,得: ,解得: ∴直线BC的解析式为:y=x-6, ∵点P(m,n),即点P(m, ), ∴D(m,m-6), ∴ , ∴ , ∴当m=3时,△PBC的面积最大,最大值为 ; (3)解:存在, 如图,当四边形ACFE为平行四边形时, , ∴ 轴, ∵抛物线的对称轴为直线 ,点C(0,-6), ∴点F(4,-6); 如图,当四边形ACEF为平行四边形时,则 , 过点F作FG⊥AE于点G, ∴ , ∴FG=OC=6, 当y=6时, , 解得: , ∴点F的坐标为 或 ; 综上所述,点F的坐标为(4,-6)或 或 . 【点睛】本题考查了二次函数及其图象性质,平行四边形的分类等知识,解决问题的关键是正确分类,画出图形, 转化条件. 14.(1) (2)D(5,8)或(﹣1,8)(3)存在,(2,1) 【分析】(1)利用待定系数法解答,即可求解; (2)先求出点C(0,3),可得AC=2,根据三角形的面积可得到n=±8,再代入抛物线解析式,即可求解; (3)根据抛物线的对称性可得当点P与点B,C共线时,△PAB的周长最小,求出直线BC的解析式,即可求解. (1) 解:由题意得∶ , 解得 , ∴抛物线的解析式为 ; (2) 解:令y=0,则 , 解得: , ∴点C(0,3), ∴AC=2, 设D(m,n), ∵△ACD的面积为8, ∴ ×2×|n|=8, ∴n=±8, 当n=8时, ,解得x=5或﹣1, ∴D(5,8)或(﹣1,8), 当n=﹣8时, ,方程无解, 综上所述,D(5,8)或(﹣1,8); (3) 解:连接BC与直线x=2交于点P, ∵点A与点C关于x=2对称, ∴AP=CP, ∴△PAB的周长为PA+PB+AB=PC+PB+AB≤BC+AB,∴当点P与点B,C共线时,△PAB的周长最小,为BC+AB, 当x=0时,y=3, ∴y=x2﹣4x+3与y轴的交点为B(0,3), 设直线BC的解析式为:y=kx+b, 把点B(0,3),C(3,0)代入得: ,解得 , ∴直线BC的解析式为:y=﹣x+3, 当x=2时,y=1 ∴直线BC与x=2的交点坐标为:(2,1) ∴点P的坐标为:(2,1). 【点睛】本题主要考查了二次函数的应用、待定系数法、一元二次方程等知识,解题的关键是灵活运用所学知识 解决问题,学会用转化的思想思考问题. 15.(1) (2) (3)不存在,理由见解析 【分析】(1)由解析式求出点C坐标,再由S ABC求出AB的长,根据对称轴为直线 可得A、B的坐标, △ 进而求解即可; (2)设 与 轴交于点 ,由∠BPD=2∠BCO可得 ,即∠EBC=∠ECB,EB=EC,通过勾股定 理求出点E坐标,从而求出直线BE的解析式,联立方程可得D的横坐标,进而求解即可; (3)过点 作 轴交直线 于点 ,由S PCQ=S BCQ可得Q为BP中点,从而得到 , △ △ 设点 ,可用含t代数式表示点M,求出AC所在直线方程,将点M代入求解. (1)令y=ax2+3ax+4中x=0,得y=4, ∴ ,∴ , ∵ , ∴ ,∴ , ∵抛物线的对称轴为 , ∴由对称性知 , , 把 代入抛物线的解析式得 , ∴ , ∴该抛物线的解析式为 ; (2) 设 与 轴交于点 , ∵ 轴,∴ , ∴ ,∵ , ∴ , ∴ ,∴ . 设 ,则 , ∴在 中, ,∴ ,∴ , 设直线 的解析式为y=kx+b, 将 和 代入y=kx+b得, , ∴直线 的解析式为 , 联立 ,消 得, , ∴ ,∵ ,∴ ,即 ,∴ , , ∴ ; (3) 不存在; 理由如下:过点 作 轴交直线 于点 , ∵ , ∴ , ∴ , . 设 ,则 , 设直线 的解析式为y=ax+b, 把(-4,0)和(0,4)代入,解得 , ∴直线 的解析式为 , ∴ , ∴ ,∴ ,即 , ∵ ,∴此方程无实数根, ∴符合条件的点 不存在.【点睛】本题考查二次函数的综合应用,解题的关键是掌握二次函数的性质,二次函数与方程的关系,通过添加 辅助线求解. 16.(1) (2)点 的坐标为: , , , , , 【分析】(1)运用待定系数法即可求得抛物线解析式; (2)设 , ,则 , , ,根据以 点 , , , 为顶点的四边形是以 为边的菱形,可得: 或 ,分两种情况分别建立方程求 解即可得出答案. (1) 解: 抛物线 与 轴交于 , 两点, 设抛物线解析式为 ,将 代入得: , 解得: , , 该抛物线的解析式为 ; (2) ,抛物线对称轴为直线 , 设 , , , , , , , 以点 , , , 为顶点的四边形是以 为边的菱形, 或 , 当 时, , , 解得: , , , , , ; 当 时, , , , , ; 综上所述,点 的坐标为: , , , , , . 【点睛】本题是二次函数综合题,考查了二次函数的图象与性质、待定系数法、菱形性质等知识点,熟练掌握二 次函数图象和性质,运用分类讨论思想是解题关键.17.(1) ; (2) ; (3)存在, , ,﹣1,2 【分析】(1)根据待定系数法即可求出解析式; (2)先取 的三等分点 ,得出 ,当 , , 三点共线时即为最小值; (3)先设出点 的坐标,根据矩形的性质列出关于 点坐标的方程组,即可求出 点的坐标. (1) 把 , 代入 中, 得: , , , ; (2) 在 上取一点 ,使得 , 连接 , , ,对称轴 , , , , ,, 又 , , △ , , 当 , , 三点共线时, 最小为 , , 的最小值为 ; (3) 存在, , , 设 , 则 , , , 以点 , , , 为顶点构成的四边形是矩形, 是直角三角形, 若 是斜边,则 , 即 , 解得: , , 的横坐标为 或 , 若 是斜边,则 , 即 , 解得 (与点 重合,舍去)或 , 的横坐标是 , 若 是斜边,则 ,即 , 解得 (与点 重合,舍去)或 , 的横坐标为2, 综上 的横坐标为 , , ,2. 【点睛】本题主要考查二次函数的综合应用,求解析式常用的是待定系数法,一般都是第一问,也是后面内容的 基础,必须掌握且不能出错,否则后面的两问没法做,对于相似三角形,要牢记它的判定与性质,考试中一般都 是先判定,再用性质. 18.(1)抛物线的解析式为 ; (2)D点的坐标为 或 或 , 或 , . 【分析】(1)根据题意 ,求得 ,即可得到抛物线的解析式; △ (2)作 轴于 ,求得 、 、 、 的坐标,根据 求得 , 即可得到 ,解得 的纵坐标,代入抛物线解析式即可求得横坐标. (1) 抛物线 的顶点 在 轴上, , △ 解得 , 抛物线的解析式为 ; (2) 作 轴于 ,, , , , ,解得 , , , , , , , 设 点到 的距离为 , 解得 , 的纵坐标为4或14, 把 代入 得 或 , 把 代入 得 点的坐标为 或 或 , 或 , . 【点睛】本题考查了待定系数法求二次函数的解析式,二次函数的性质,二次函数图像上点的坐标特征,三角形 的面积,求得交点坐标是解题的关键. 19.(1) (2)(0,4) (3)(-5,1)或(1,7)或(-3,-1)【分析】(1)已知抛物线上的三点用待定系数法求解析式; (2)根据抛物线的解析式,设出点M的坐标,作一条竖线交AB于N,利用公式 求△ABM 的面积; (3)求出点E坐标,利用平行四边形的性质和平移求点F的坐标,注意分类讨论. (1) 解:将点A(2,0),B(-2,4),C(-4,0)分别代入 得: , 解得 . ∴抛物线的表达式为y= . (2) 如图,作MN y轴交直线AB于点N, 设点M(m, ). 设直线AB的方程为 ,将 代入解析式得: , 解得 ,∴直线AB的解析式为: , ∴ , , ∴ , ∵-1<0,且-2<0<2, ∴当m=0时,ΔABM的面积最大,此时 ,所以M的坐标为(0,4). (3) ∵抛物线的对称轴为直线 , 将 代入 得y=3, ∴E(-1,3), 当BC为对角线时,构成 . ∵B(-2,4),E(-1,3), ∴点E到点B向左一个单位长度,向上1个单位长度, ∴点C到点F也向左一个单位长度,向上1个单位长度, ∵C(-4,0), ∴ F(-5,1). 同理,当BE为对角线时,构成 ,可得F(1,7); 当BF为对角线时,构成 ,可得F(-3,-1). 综上所述点F得坐标为(-5,1)或(1,7)或(-3,-1) . 【点睛】本题考查了待定系数法求二次函数解析式,直角坐标系中三角形面积求法,与已知平行四边形三个顶点 求第四个点坐标的方法,记住面积公式和会分类讨论是解题的关键. 20.(1)①顶点坐标为(2,0);当x≤2时,函数值y随x的增大而减小;②t>3或t<1 (2)① 或 ,图象G上有且只有两个点到x轴的距离为2;② 或 时,满 足题意 【分析】(1)①将解析式化为顶点式y=x2−4x+4=(x−2)2,即可求解; ②由抛物线开口向上,则点离对称轴越远,所对应的函数值越大; (2)①分两种情况讨论:当m>0时,2m=2,此时G上有两个点到x轴的距离为2,当−m2+2m=−2时,,此时G上有三个点到x轴的距离为2,则 时,图象G上有且只有两个点到x轴的距离为 2;当m<0时,−m2+2m≤−2,可得 时,图象G上有且只有两个点到x轴的距离为2; ②由题意可求矩形的顶点坐标C(3,3),B(−3,−1),D(3,−1),分两种情况讨论:当m>0时,−m2+ 2m≤−1,解得 时,满足题意;当m<0时,2m≤−1解得m≤− ,当图象G经过A点时,解得m=− ,求 得 ≤m≤− 时,满足题意. (1) 解:当m=2时,y=x2−4x+4, ①∵y=x2−4x+4=(x−2)2, ∴顶点坐标为(2,0), 当x≤2时,函数值y随x的增大而减小; ②∵y=x2−4x+4=(x−2)2, ∴抛物线的对称轴为x=2, ∵y>y, 1 2 ∴|t−2|>|3−2|, ∴|t−2|>1, ∴t>3或t<1, 故答案为:t>3或t<1. (2) 解:y=x2−2mx+2m=(x−m)2−m2+2m, ∴抛物线的顶点坐标为(m,−m2+2m), 当x=2m时,y=2m, ①如图1,当m>0时,2m=2即m=1,此时G上有两个点到x轴的距离为2, 当−m2+2m=−2时, 或 (舍去), 此时G上有三个点到x轴的距离为2, ∴当 时,图象G上有且只有两个点到x轴的距离为2;如图2,当m<0时,−m2+2m≤−2, 解得 或 , ∴当 时,图象G上有且只有两个点到x轴的距离为2; 综上所述: 或 ,图象G上有且只有两个点到x轴的距离为2; ②∵矩形ABCD的对称中心为(0,1),点A的坐标为(−3,3), ∴C(3,3),B(−3,−1),D(3,−1), 当x=m时,y=−m2+2m, 当x=2m时,y=2m; 如图3,当m>0时,−m2+2m≤−1, 解得: 或 (舍去), ∴ 时,图象G与矩形ABCD交AD、BC边于两点,p=3,q=−1, ∴p−q=4,∴ 时,满足题意; 如图4,当m<0时,2m≤−1, 解得m≤ , 当图象G经过A点时,9+6m+2m=3, 解得m= , ∴ 时,图象G与矩形ABCD交AD、BC边于两点,p=3,q=−1, ∴ 时,满足题意;